Cross-Domain Gradient Discrepancy Minimization for Unsupervised Domain Adaptation——CVPR2021
无监督域适应的跨域梯度差异最小化
- 摘要
-
引言
-
相关工作
-
本研究引入了一种创新的方法
- 通过减少跨域特征之间的差异
- 通过自监督学习优化目标域样本的质量
- 整体目标是优化模型参数以提升性能
-
实验结果表明该方法在多个方面均表现出色。
-
实验结果
-
摘要
论文和代码链接
以前的对抗性学习方法仅重点关注两个不同分类器的输出之间的相似性。然而,输出的相似性不能保证目标样本的分类的准确性,即使两个分类器之间的差异很小,目标样本也可能与错误类别匹配。在本文中,我们提出了一种跨域梯度差异最小化(CGDM)方法,该方法明确地最小化了源样本和目标样本产生的梯度的差异。为了计算目标样本的梯度信息,我们通过基于聚类的自我监督学习进一步获得目标伪标签。
引言
现有的对抗域适应方法可以以两种方式实现。
- 引入辅助域鉴别器以辨别样本来源属于源域还是目标域,并通过分析输入样本提取难以被识别的特征来误导领域鉴别器。
- 采用基于分类器与生成器之间最大最小化优化策略,在交叉分类器输出结果间建立显著差异。这种设计能够有效识别出与源领域相异的目标样本,并实现各领域特征的有效对齐的同时保持判别能力。
CGDM通过比较源泉与目标样本之间的梯度差异来施加额外的监督。此外,在获取目标样本所需更可靠标注时, 我们采用了基于聚类的方法, 从而弥补了源代码器生成伪标签准确性不足的问题。通过对比梯度向量, 在类别层次上实现了两种领域分布的有效对齐。
主要贡献总结如下:
- 该方法旨在显著降低源与目标样本之间的梯度差异。值得注意的是,我们将所提出的梯度差异最小化作为广义学习损失,这一定义便于应用于其他UDA范例。
- 为了计算目标样本的梯度,我们将采用聚类策略获取更为可靠的伪标签.随后,基于这些可靠伪标签展开自我监督学习,并利用源数据与目标数据对模型进行微调训练,从而有效降低模糊或不确定的目标样本数量。
相关工作
MMD是一种广泛应用的标准,用于评估不同领域之间的差异程度。深度适配网络[DAN][24]通过优化两个领域间的多核MMD以及源样本上的分类精度,实现了域间的精确对齐。联合自适应网络[JAN][27]则通过引入联合最大平均差异(JMMD)来扩展*[DAN]的能力,以实现多个领域特异性层的联合分布对齐。此外,[MMD*的一些变体也被用于建立更合适的发散标准][26,21,13]。值得注意的是,中心差异(CMD)[42]与最大密度差异(MDD)[16]则聚焦于通过特征学习器来优化隐藏层中特征分布的距离。
在对抗性学习框架下,早期的研究[9,37]提出了一种方法:通过引入专门的域鉴别器来区分领域特定的特征表示,然后利用特征学习器逐步优化不可区分的特征表示以欺骗判别器模型。随后,[25][32][44][15]等研究者建议从特征空间的角度出发,关注条件分布的对齐问题,从而实现了类别级别的特征对齐。
基于伪标签的方法
一些最近的UDA方法基于伪标记技术利用了目标样本语义信息的本质特征。张等人在文献[43]中首次提出直接将伪标签作为正则化手段应用于模型训练过程。谢等人则在[39]中采用伪标签来估计目标域中的类别中心,并将其与源域实例进行匹配学习以提高模型性能。朗等人在[25]研究中创新性地将模型预测结果作为伪标签引入条件分布对齐任务中进行优化处理。邹等人进一步提出了一个自我训练框架,在交替优化伪标签质量的同时实现了模型性能的有效提升。此外,在现有研究基础上,[2,22,13]提出了基于聚类策略生成高质量伪标签的方法,该方法不仅验证了其优越性,还成功应用于多种领域适应任务当中,其中[13]通过特征空间中的K-Means聚类实现了对目标域伪标签的有效识别与对比学习过程
本文提出的方法

UDA与双分类器对抗性学习
最小化跨域梯度差异
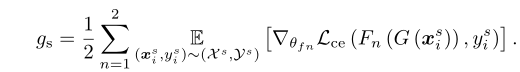
我们为跨域场景提出了一种基于梯度相似性的量化指标,在此过程中我们首先定义gs和gt分别代表源域样本与目标域样本在输入空间中的预期梯度向量。其中gs代表源样本群体在输入空间中的期望值计算结果,在这一过程中我们需要对模型参数进行适当初始化以确保后续训练的有效性与稳定性;对于源样本群体而言,我们采用以下策略来优化其梯度特征以提高模型泛化能力:

为了通过目标样本生成渐变的趋势, 我们需要依赖标签信息, 但这正是我们在解决UDA问题时所期望的结果。针对这一困境, 我们将对这些含有伪标签的目标样本分配特定权重;尽管这些伪标签可能存在不准确性, 但它们可以帮助我们减轻那些因含有不准确伪标签而带来的干扰, 因此, 我们采用基于每个目标样本计算其预测熵的方法来优化加权分类损失函数。


当我们采用梯度差异损耗LGD方法在步骤3中对生成器模型进行优化时,在此过程中我们旨在最小化两个梯度向量之间的差异程度,并选择余弦相似度作为衡量这种差异的标准。

通过该源域和目标域的分布在考虑样本的语义信息时对齐。
目标样本的自监督学习
在本文中,我们采用了加权聚类方法以获取更为可靠的一致标签。在此基础上,在两个分类器分别提取其神经网络输出层Softmax结果的基础上计算样本权重系数,并基于最近邻质心法确定各样本对应的类别归属

这里D可以是任何特定的距离度量功能,我们在本文中使用余弦距离。
通过诱导模型来实现鉴别的原始目标分布的学习,并促进每一个样本都围绕在合理的分界线周围。被用来进行自我监督学习的加权分类方法。

基于自监督机制,在后续阶段我们利用源域数据与目标域数据进行模型微调以优化步骤1时的目标分布差异;从而,在类别层级上实现对齐两个域之间的样本分布。
整体目标和优化程序
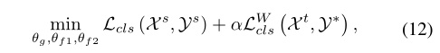
在本研究中我们的主要目的是通过引入自我监督学习的方法来克服双分类器对抗性学习中存在的潜在问题并尽量降低源域与目标域之间梯度信号的变化幅度

其中α> 0被用作调节参数,在研究过程中可以通过调整验证集来实现。经过MCD处理后,在第二阶段我们采用了1-distance方法评估了两个不同分类器之间的差异程度。经过第三阶段的处理后,在两域之间引入了梯度差异增强约束机制。从而使得最终优化目标转化为最小化这两个域间的目标函数差值

无监督域适应的跨域梯度差异最小化算法流程

实验结果


