多目标优化问题概述(遗传算法)
遗传算法是一种基于生物进化原理的优化算法,在多目标优化问题中表现出色。它通过维护种群的多样性,在搜索Pareto最优解时具有显著优势。该方法结合全局搜索与局部搜索的特点,能够有效避免陷入局部最优,并通过适应度评估、选择、杂交和变异等操作逐步优化解的质量。
具体而言:
初始种群生成:根据问题特性设计初始种群分布,通常采用均匀分布以提高搜索效率。
个体编码:将实际问题变量转化为计算空间变量,并通过实数编码确保基因型与表现型的一致性。
评估函数设计:根据优化目标设计适应度函数,需满足非负、连续、满射等特性。
繁殖机制:
- 选择:采用轮盘赌或其他概率化方法选择优良个体。
- 杂交:基于算术平均或凸集理论进行父代个体组合以产生子代。
- 变异:通过随机扰动增加种群多样性。
遗传算法的优势在于其通用性和适应性,在单目标优化中表现良好,并在改进后广泛应用于复杂问题求解中。
遗传算法
该算法在处理多目标优化问题方面具有广泛的应用。其核心特征在于维持由潜在解构成的群体以实现多样性和全局搜索能力。借助群体中的遗传进化机制推动潜在解逐步趋近于最优解。该方法特别适用于Pareto最优解的寻找过程。
遗传算法能够应对所有形式的目标函数与约束条件,并无需考虑这些条件的具体数学特性,在无需深入了解其内部工作原理的情况下仍能有效寻找解。因此,在解决复杂问题方面的能力与应用范围相比传统优化方法更为广泛且全面。作为启发式方法之一,遗传算法在单目标优化中表现优异,并逐渐应用于多目标优化领域。随着研究的深入发展,基于改进型遗传算法的研究成果不断涌现。掌握遗传算法的基础知识对技术发展具有重要意义。
算法介绍
1. 算法结构
算法过程如下:

算法整体结构:

2. 结构分析
①初始种群的生成
遗传算法通过作用于种群来实现目标;其中一种重要的考虑因素就是初始群体的设计对算法性能有着重要影响;由于在处理实际问题时,在解空间中寻找最优解的具体分布情况是未知的;因此,在设计初始群体时应使其尽可能在解空间中呈现均匀分布特性。(思考:是否可以从这一规律出发来设计初始群体?)此外;确定一个合适的群体规模对于提高遗传算法的效果至关重要;通常情况下;根据问题本身的复杂程度;目标函数维数越高则需要设定较大的群体规模以保证搜索的有效性和完整性;常规的做法包括采用随机初始化方法或者基于某种特定模式生成的方式以保证群体多样性和覆盖性。
有先验知识:基于先验知识在搜索空间中进行等比例分布的初始群体生成;无先验知识:首先通过随机方式生成一定数量的初始群体;随后按照优秀个体、劣质个体及中等水平个体的比例进行筛选;不断重复此过程直至群体规模满足需求
②个体编码
编码是指将实际问题中的变量经过计算处理后转化为决策空间中的变量的过程;反之,将决策空间中的解转换为问题空间中的解的过程被称为解码过程。其主要特点包括以下三点:其一,编码过程需要遵循明确的标准;其二,必须保证可逆性;其三,确保高效性。其中编码和解码都是通过建立数学模型来实现的。
(1)完备性:所有问题子群中的任一元素均被单射至决策子群中。
(2)健全性:任何决策子群中的元素均可被嵌入回至原问题子群中。
(3)非冗余性:两个子群间的元素双映照。
在密码学领域中存在多种编码方案,其中实数编码因其独特的优势而最为常见且成效显著.这种情况下,它们在基因型空间和表现型空间中均呈现出一致的拓扑特征,这使得借鉴传统优化技术成为可能.基于实数编码体系下构建的种群P(t)可被系统性地定义为:
设t时刻的目标函数值集合为:
P(t) = \{ x_{{\rm t}, 1}, x_{{\rm t}, 2}, \dots, x_{{\rm t}}, {\rm pop} \}
其中,
{\bf x}_{{\rm t}}, j = \{ ( {\bf x}_{{\rm t}}, j_1), ( {\bf x}_{{\rm t}}, j_2), \dots, ( {\bf x}_{{\rm t}}, j_n) ) | \\ {\bf x}_{{\rm t}}, j_k ∈ [ {\min}(0.5), 0.5 + ({\max}(0.5) - 0.5) × {\rm rand}(1) ] , k = 1, 2,\dots,n \}
这里j = 1,\dots,{\rm pop}。
该指标代表种群数量的大小,在群体中每个成员x_{t,j}均通过n个不同的指标进行评估,并且这些指标值均被限定在特定范围内。该函数 rand(1) 表示生成一个0至1之间的均匀分布随机数。
③评估函数设计
评估函数用于计算每个体的适配度值,并以此判断哪些体将参与杂交与繁殖等操作。在进化论领域中这一概念被用来衡量该体在特定环境中的生存能力,在优化算法中则表示了该体对应解的质量与性能对比情况。当某一个体的适配度值越大,则表明其在其所处环境中具有越强的竞争优势因而其相应的存活概率更高从而更容易参与到繁衍后代的过程中去。这种适配度评价机制通常来源于所针对的具体优化问题并结合了算法求解时所需满足的关键约束条件与性能指标要求
属性包括非负性、连续性和局部极值等。
该算法的目标是最优化算法中计算复杂度最低的一种。
该评估函数的设计基于特定问题需求,并且具有良好的通用性和扩展能力。
该方法能够有效地区分种群中各个体的优劣。
评估实际上就是个体对特定特征或属性的具体体现,在算法中为后续优化过程提供重要参考依据。通过数学模型计算得到的适应度是可以调节的;例如共享机制,则用于平衡种群多样性和收敛性之间存在的矛盾。
④繁殖机制
整个繁殖机制包括选择 ,杂交 和变异 三部分。
选择:通过预先设定的策略从当前种群中筛选出一定数量的个体执行后续操作。如前所述,在种群进化过程中基于适应度进行的选择主要采用诸如轮盘赌、(\mu +\lambda)选择等方法来生成待繁殖群体。这种选择机制具有随机性和确定性两个显著特征:前者意味着所有个体无论其适应度高低均有机会被选中;例如,在轮盘赌机制中, 每个体被选中的概率与其适应度成正比. 后者则强调仅具备较好适应度的个体才能获得入选机会;因此, 在标准(\mu +\lambda)模式下, 低效个体将被系统排除在外. 实际应用中, 大多数情况则是随机性和确定性特性共同作用的结果, 典型例子即为锦标赛式选择机制, 其通过在随机选出的一组候选体中优先选取表现优异者来实现优化效果.
在繁殖机制的核心位置上,选择过程预示着种群未来的进化方向。即该过程直接影响着算法解的收敛性和分布性。各种选择策略均遵循"精英保留"原则;这种做法是保证算法收敛性的关键操作。然而,在实际应用中这种做法也存在一定的局限性:可能会导致有限解过早地聚集到同一个最优解(尤其在单目标优化问题中表现为陷入局部最优)。此时共享策略则是针对这种情况,在算法的选择阶段进行改进的方法。通过引入合适的共享函数,在集中在适应度区域的个体中降低其适应度值的同时,则能够有效提高其他个体被选中的概率。理想的选择结果应当体现出以下三个特点:所选个体群体既具有较高的适应度水平又保持较好的多样性,并且能够在全局范围内尽可能多地覆盖各个区域。
交配:在当前种群中选择父代个体以生成子代种群。
借鉴生物界有性生殖的特点,在此框架下探讨无性繁殖的可能性。
其特性体现在:当进行基因运算时,在算法层面上表现为计算后的点会趋近于理论最优值。
这种现象也有可能发生:计算结果可能会偏离理论值但不会出现显著偏差。
同时这种偏差也可能导致另一个Pareto最优解的存在。
对于不同编码方式下的杂交算子设计存在差异:
其中针对实数编码的情形主要采用算术平均的方式进行操作,
这被称为算术杂交。
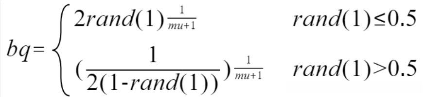
基于凸集理论可知, 若可行域具有凸性, 则其中任意两点间的连线段上所有点均位于该可行域之内. 对于任取该可行域中的两点x₁和x₂, 则连接这两点的线段上任意一点x都属于该可行域. 其加权平均值为λ₁x₁+λ₂x₂, 并满足约束条件∑λ_i=1. 算术混合定义的两个向量组合是:
x_1^{'}=\lambda_1x_1+\lambda_2x_2
x_2^{'}=\lambda_1x_2+\lambda_2x_1
其中\lambda_1,\lambda_2的设计为
\lambda_1=0.5(1+bq)
\lambda_2=0.5(1-bq)

mu=20是杂交分布指数。
变异:子代个体的随机变化。经过杂交操作后的子代有可能会陷入同一最优解、过早收敛或不成熟收敛的情况,而引入变异算子则能够有效解决这些问题。例如,在NSGA-Ⅱ算法中采用特定的变异策略时,在向量x上实施变异操作的方式如下:
x' = x + N(0, \sigma^2)
x^{'}=x+\delta
\delta=|2rand(1)^{\frac{1}{mum+1}}-1|
mum=20是变异分布指数。
整个繁殖机制作为算法的关键模块,在其运行过程中始终发挥着核心作用。从机制的设计角度来看,在所有环节都体现了算法的收敛性与多样性特征。这也正是整个算法的核心理念所在,在改进遗传算法的过程中,则多是从这两个关键属性出发进行优化探索。就整体层面而言,在解空间中完成信息探索与优化的过程;其基本设计原则旨在尽可能快速、高效且广泛地寻找最优解。基因重组操作在编码空间内展开全方位探索,在最短时间内实现对PF面各点(单目标时为全局最优)的有效定位;而基因突变作用则有助于维持种群多样性和加速各子目标区域收敛进程,并通过巧妙平衡多样性和收敛性来显著提升局部搜索效率
3.总结
在问题求解过程中存在两种行为模式。其中一种是全面探索:深入分析整个解空间,并最终抵达全局最优解决方案。另一种则是详细考察:针对特定区域进行深入研究,并最终找到局部最优路径。显然遗传算法是一种融合这两种策略的综合性方法,在处理多目标优化问题时表现出色。
Tips:
通过类比,更好理解多目标优化与单目标优化的联系和区别:
| 单目标优化 | 多目标优化 |
|---|---|
| 局部最优 | 有限解集收敛到同一最优解 |
| 全局最优 | 有限解集分散构成PF面 |
