Harris角点检测、SIFT特征匹配、地理特征匹配
目录
1、Harris角点检测
1.1 角点
1.2 Harris角点检测的基本思想
1.3 Harris角点检测算法的数学表达
1.4 Harris角点计算流程
1.5代码
2、SIFT(尺度不变特征变换)
2.1 SIFT算法实现步骤
2.2 代码实现
3、地理特征匹配
1、Harris角点检测
1.1 角点
局部窗口向任意方向的移动都导致图像灰度的明显变化。
图像局部曲率突变的点。
1.2 Harris角点检测的基本思想

1.3 Harris角点检测算法的数学表达
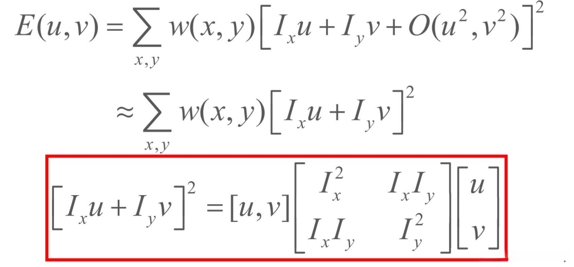
将图像窗口平移 [ u,v ] 产生灰度变化 E ( u,v ):

w(x,y)是窗口函数,I(x,y)是图像灰度,I(x+u,y+u)是平移后的图像灰度。

将 I ( x + u , y + v ) 函数在( x , y )处泰勒展开,得:


于是对于局部微小的移动量 [ u,v ] ,可以近似得到下面的表达

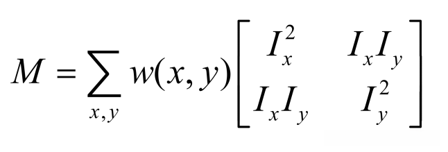
其中 M 是

矩阵,可由图像的导数求得:


特征都比较小,窗口处于平坦区域。

特征值都比较大,窗口中含有角点

特征值一个大,一个小,窗口中含有边缘

** 角点响应函数 R:**

1.4 Harris角点计算流程
对角点响应函数 R 进行阈值处理: R > threshold
提取 R 的局部极大值
1.5代码
(1)Harris角点检测代码:
from pylab import *
from PIL import Image
from PCV.localdescriptors import harris
# 读入图像
im = array(Image.open(r'E:\Python Project\JSJSJ\photo\2.jpg').convert('L'))
# 检测harris角点
harrisim = harris.compute_harris_response(im)
# Harris响应函数
harrisim1 = 255 - harrisim
figure()
gray()
# 画出Harris响应图
subplot(141)
imshow(harrisim1)
axis('off')
axis('equal')
# 阈值
threshold = [0.01, 0.05, 0.1]
for i, thres in enumerate(threshold):
filtered_coords = harris.get_harris_points(harrisim, 6, thres)
subplot(1, 4, i + 2)
imshow(im)
print(im.shape)
plot([p[1] for p in filtered_coords], [p[0] for p in filtered_coords], '*')
axis('off')
show()
原图:

Harris角点检测图:

选择像素值高于阈值的所有图像点,会产生很好的角点检测结果。
(2)Harris匹配
from pylab import *
from PIL import Image
from PCV.localdescriptors import harris
from PCV.tools.imtools import imresize
im1 = array(Image.open( r'E:\Python Project\JSJSJ\photo\3.jpg').convert("L"))
im2 = array(Image.open( r'E:\Python Project\JSJSJ\photo\4.jpg').convert("L"))
im1 = imresize(im1, (int(im1.shape[1]/2), int(im1.shape[0]/2)))
im2 = imresize(im2, (int(im2.shape[1]/2), int(im2.shape[0]/2)))
wid = 5
harrisim = harris.compute_harris_response(im1, 5)
filtered_coords1 = harris.get_harris_points(harrisim, wid+1)
d1 = harris.get_descriptors(im1, filtered_coords1, wid)
harrisim = harris.compute_harris_response(im2, 5)
filtered_coords2 = harris.get_harris_points(harrisim, wid+1)
d2 = harris.get_descriptors(im2, filtered_coords2, wid)
print ('starting matching')
matches = harris.match_twosided(d1, d2)
figure()
gray()
harris.plot_matches(im1, im2, filtered_coords1, filtered_coords2, matches)
show()

Harris匹配存在不准确的匹配原因在于其互相关矩阵在描述能力上较为有限。这些描述符还存在不足之处并缺乏尺度变换和旋转不变特性;其中像素块尺寸的影响也会对最终配准效果造成一定影响
2、SIFT(尺度不变特征变换)
2.1 SIFT算法实现步骤
实质可以归为在不同尺度空间上查找特征点(关键点)的问题。

该算法通过三阶段流程实现特征匹配。首先提取关键点。接着为每个关键点附加详细信息(局部特性和方向),这些信息统称为描述符。最后通过逐一比对所有特征点及其对应的向量信息来确定多组相互匹配的特征对,并由此建立景物间的对应关系。
为了发现SIFT要查找的特征点,这些是高度显著的关键点,在光照变化、尺度缩放以及旋转等变换下依然保持稳定。
例如,在图像处理中存在丢失某些关键信息的情况,如角点、边缘点、暗区域中的亮点以及亮区域中的暗点等现象。假定两幅图像中具有相同的物体,则各自提取出具有特征性的关键点,这些关键点之间存在一一对应的匹配关系。
尺度空间的核心思想是通过原始图像进行尺度变换以获得多尺度的空间表示。
这种方法能够实现边缘、角点检测以及不同分辨率上的特征提取,并满足特征点的尺度不变性。
在比例尺空间中各尺度下的图像具有逐步增强的模糊度,并可用来模拟观察者离目标的距离从近到远变化时目标在视网膜上的成像过程。随着尺度的增大,图像的清晰度逐渐降低

2.2 代码实现
from PIL import Image
from pylab import *
import sys
from PCV.localdescriptors import sift
if len(sys.argv) >= 3:
im1f, im2f = sys.argv[1], sys.argv[2]
else:
im1f = r'E:\Python Project\JSJSJ\photo\3.jpg'
im2f = r'E:\Python Project\JSJSJ\photo\4.jpg'
im1 = array(Image.open(im1f))
im2 = array(Image.open(im2f))
sift.process_image(im1f, 'out_sift_1.txt')
l1, d1 = sift.read_features_from_file('out_sift_1.txt')
figure()
gray()
subplot(121)
sift.plot_features(im1, l1, circle=False)
sift.process_image(im2f, 'out_sift_2.txt')
l2, d2 = sift.read_features_from_file('out_sift_2.txt')
subplot(122)
sift.plot_features(im2, l2, circle=False)
matches = sift.match_twosided(d1, d2)
print('{} matches'.format(len(matches.nonzero()[0])))
figure()
gray()
sift.plot_matches(im1, im2, l1, l2, matches, show_below=True)
show()
两幅不同角度图像的角点检测:

SIFT匹配结果:

3、地理特征匹配
• 输入同一场景的序列图像
• 通过SIFT算法对地理标记图像进行两两匹配,构造连接矩阵
• 可视化图像连接关系
from numpy import zeros
from pylab import *
from PIL import Image
from PCV.localdescriptors import sift
from PCV.tools import imtools
import pydot
import os
os.environ["PATH"] += os.pathsep + r'D:\software\Anaconda3\Graphviz\bin'
download_path = r"E:\lab\photo"
path = r"E:\lab\photo"
# list of downloaded filenames
imlist = imtools.get_imlist(download_path)
nbr_images = len(imlist)
featlist = [imname[:-3] + 'sift' for imname in imlist]
for i, imname in enumerate(imlist):
sift.process_image(imname, featlist[i])
matchscores = zeros((nbr_images, nbr_images))
for i in range(nbr_images):
for j in range(i, nbr_images): # only compute upper triangle
print('comparing ', imlist[i], imlist[j])
l1, d1 = sift.read_features_from_file(featlist[i])
l2, d2 = sift.read_features_from_file(featlist[j])
matches = sift.match_twosided(d1, d2)
nbr_matches = sum(matches > 0)
print('number of matches = ', nbr_matches)
matchscores[i, j] = nbr_matches
print("The match scores is: \n", matchscores)
for i in range(nbr_images):
for j in range(i + 1, nbr_images):
matchscores[j, i] = matchscores[i, j]
# 可视化
threshold = 2
g = pydot.Dot(graph_type='graph')
for i in range(nbr_images):
for j in range(i + 1, nbr_images):
if matchscores[i, j] > threshold:
im = Image.open(imlist[i])
im.thumbnail((100, 100))
filename = path + str(i) + '.png'
im.save(filename)
g.add_node(pydot.Node(str(i), fontcolor='transparent', shape='rectangle', image=filename))
im = Image.open(imlist[j])
im.thumbnail((100, 100))
filename = path + str(j) + '.png'
im.save(filename)
g.add_node(pydot.Node(str(j), fontcolor='transparent', shape='rectangle', image=filename))
g.add_edge(pydot.Edge(str(i), str(j)))
g.write_png('1.png')
测试图:

结果:

