3D目标识别:Model Globally, Match Locally: Efficient and Robust 3D Object Recognition(笔记)——2010
3D目标识别:全局建模,局部匹配: 高效稳健的 3D 目标识别(笔记)
摘要
文章主要解决点云中自由形态下三维目标的识别问题,提出了基于方向点对特征和局部模型匹配的快速投票架构,建立全局模型描述的方法,在噪声、杂波和遮挡的背景下具有较高的3D目标识别效率。
1.全局法在3D目标识别速度、精度和泛化性上表现不佳,基于局部不变特征的局部法效率高,但对目标表面分辨率和模型数据质量要求高;
2.全局模型描述法为相似特征的点对实现全局分布,以稀疏方向点对的表示形式,在保证识别效率的基础上提升计算和识别速度;
3.类似于广义霍夫变换的快速投票方案,用于在局部缩减的搜索空间中优化模型姿态,该搜索空间根据模型上的点和围绕表面法线的旋转进行参数化。
相关工作
使用广义霍夫变换的变体检测对象,仅限于原始对象,因为具有6个自由度的完整3D姿势恢复计算太昂贵。
局部法 描述器:围绕特定点周围使用低维描述法,描述目标表面 局部描述难以识别具有局部相似性的圆形、圆柱、圆面等目标 在离线阶段,创建全局模型描述。在在线阶段,选择场景中的一组参考点。场景中的所有其他点都与参考点配对以创建点对特征。这些特征与全局模型描述中包含的模型特征相匹配,并且一组潜在匹配被检索。每个潜在的匹配通过使用有效的投票方案投票给对象姿势,其中姿势相对于参考点被参数化。该投票方案最终返回最佳对象姿势。
我们首先介绍点对特征,然后描述如何使用这些点对特征构建全局模型描述。然后我们详细描述投票方案。
模型描述和投票方案 (核心部分)

两个方向点的点对特征F

在模型表面计算全部点对特征F,然后将相同特征向量放入集合A;
模型描述表示为:由采样特征F索引的散列表(Hash table哈希表);
在场景中找到随机参考点sr,然后与模型匹配点及法线对齐 ;
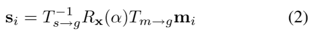
因此,可以通过模型上的点m和旋转角α来描述从模型空间到场景空间的刚性运动。(mr,α)称为模型对场景的局部坐标
局部模型坐标到场景坐标的变换;
局部坐标有三个自由度:一个用于旋转角度α,两个用于模型表面上的点;
投票架构:二维累加器阵列,列数Nm=模型采样点数|M|,行数Nangle=旋转角α的采样步数;
场景中的参考点与每一个点进行配对,然后在模型表面搜索与其有相同特征的点对(mr,mi),旋转角α由方程(2)确定,随后进行投票;
累加器阵列中的**峰值(是什么)**对应于最佳局部坐标; 
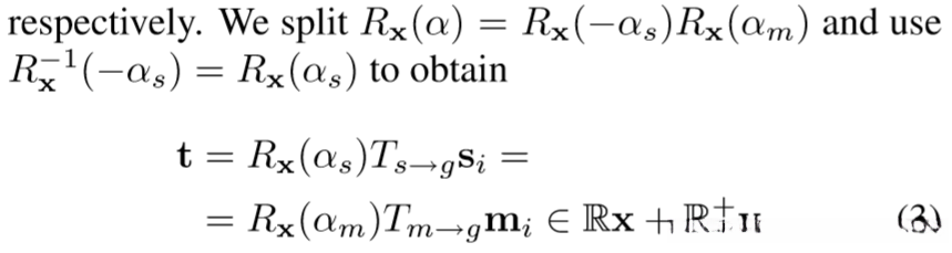
为加速计算α,将其拆为两部分,α = αm −αs,然后对Rx(α)进行拆分(不太懂数学意思)
计算出αm存贮在模型描述符中,对于每个场景点对(sr,si),αs仅需要计算一次,并且最终角度α是这两个值的简单差异。
姿态聚类:对于旋转和平移不超过一定门限的恢复姿态进行聚类,其中,所包含姿态的总分=一类姿态得分,某一姿态得分=投票架构所得票数,然后对一类姿态中的多个姿态取平均。该法通过移除孤立点,增加了算法的稳定性和姿态的准确性。
