带有执行器故障汽车驾驶机器人反步自适应容错控制
摘要 : 针对机械腿执行器可能发生的不确定故障,提出了一种自适应容错控制方法。首先基于反步设计基本非线性控制器;然后设计自适应控制器对机械腿控制系统进行故障补偿和扰动抑制,使机械腿在发生故障的情况下仍能旋转到期望位置,进而实现对车速的跟踪控制。最后通过搭建Simulink仿真模型,证明所提的故障补偿控制算法能实现期望的控制目标提高汽车行驶过程中的安全性和可靠性。
关键词 : 反步 车速控制 汽车驾驶机器人 自适应控制
0****引言
机器人集成了机械、电子、自动化及传感器等多学科为一体的复杂装置,具有应用范围广、适应性强和精度高等优点[1-2]。机器人长时间工作在恶劣的环境中,其传感器或执行器会发生不确定的故障,从而导致整个闭环系统不稳定,甚至会无法完成工作,因此要对机器人的传感器或执行器进行容错控制。目前,国内外学者对于执行器或传感器故障补偿进行研究,并取得一定的成果[3-4]。文[5-6]针对执行器的卡死、失效等故障提出了自适应卡尔曼滤波、观测器等控制方法,并获得理想的控制效果。文[7]提出基于线性二次型反馈容错控制方法以解决单轮机器人的故障问题,但此方法只适用于线性系统。文[8]采用了模型切换控制解决二连杆移动机器人的执行器故障问题。文[9]针对含有两个子系统机器人执行器故障问题采用自适应观测器的控制方法,当一个子系统发生故障时,利用故障信息和控制目标对无故障的子系统进行重构,从而实现整个系统的协同容错控制,此方法应用范围具有局限性。
汽车驾驶机器人是一种可以代替人类进行汽车实验的机器人。可伸缩汽车驾驶机器人的机械结构如图 1所示。它无需对汽车进行任何改装,经过车辆性能自学习后可以适用于各种车型。汽车驾驶机器人通过机械腿控制车辆油门/制动踏板的开度实现车速的跟踪控制,因此汽车驾驶机器人控制问题受到广泛的关注[10-11]。文[12-13]设计了伺服电机驱动、气缸驱动等各种驱动方式的汽车驾驶机器人,文[14-16]对于汽车驾驶机器人采用神经网络、模糊神经网络、模糊自适应PID等多种控制方法实现车速跟踪。文[17]针对汽车驾驶机器人机械腿提出模糊监督控制方法,保证机械腿运动的精确性。与其它类型机器人一样,汽车驾驶机器人也会发生执行器的故障,当执行器发生故障时会导致机械腿无法旋转到期望位置,从而会影响到汽车运行的稳定性和安全性,因此需要在现有的汽车驾驶机器人控制设计的基础上进一步考虑容错控制问题以保障汽车行驶过程的安全性。
![]() |
|---|
| 图 1 可伸缩汽车驾驶机器人Fig.1 Retractable vehicle driving robot |
| 图选项 |
本文针对一种可伸缩的汽车驾驶机器人研究其执行器故障和干扰情况下的控制问题。建立带有执行器故障的汽车驾驶机器人动力学模型、车辆动力学模型,运用反步方法对汽车驾驶机器人系统进行基本的控制。设计故障参数自适应律对执行器发生的未知故障和干扰进行在线估计。根据油门、制动的切换规则,实现对车速的切换控制。对汽车驾驶机器人系统的稳定性进行分析,仿真结果证明此控制方法的有效性。本文所设计的容错控制方法与现有的机器人容错控制方法相比具有以下特点:1) 与现有的汽车驾驶机器人研究的控制问题相比[14-16],本文深入考虑机械腿执行器发生的故障,并采用自适应控制器进行故障补偿,从而保证车辆运行的稳定性和安全性。2) 与文[8]模型切换控制相比,避免切换过程中产生的抖振现象。3) 与文[5-6]只研究执行器的卡死和失效故障相比,本文还研究了时变故障,解决的问题更具有一般性。
1****系统描述
机械腿执行器电机在工作时会出现卡死、失效、偏差等故障,这些故障会导致对应汽车执行机构油门/制动踏板开度无法达到期望效果,导致车辆稳定性下降,通过设计机械腿容错控制器对执行器发生的未知故障进行补偿,可以保证车速跟踪到期望指令。汽车驾驶机器人控制系统如图 2所示。其中, vx 为车辆实际速度, v d为车辆期望速度, u 1为期望驱动力, u 2为期望制动力, α dt为油门踏板期望开度, F din为制动踏板期望开度, q d为机械腿期望转角, q 为机械腿输出转角, αt 为油门踏板输出开度, F in为制动踏板输出开度, F d x b为理想地面制动力。
![]() |
|---|
| 图 2 汽车驾驶机器人控制系统Fig.2 Vehicle control system of vehicle driving robot |
| 图选项 |
1.1****车辆的动力学模型
假设车辆在平直路面行驶,车辆纵向动力学方程[18]
![]() |
(1) |
|---|
其中, m 为车辆质量; vx 为实际速度; F t为驱动力; Fx b为制动力; F w=Cxvx 2, F w、 Cx 分别为空气阻力和阻力系数; F f=mgf , F f、 f 、 g 分别为滚动阻力、阻力系数和重力加速度。
驱动力 F t、制动力 Fx b分别与油门、制动开度的关系为
![]() |
(2) |
|---|
![]() |
(3) |
|---|
其中, T a为驱动系数, k a驱动比例系数, α t为油门开度, τ 0为时间常数, T b为制动系数, k b均为比例系数, F in为制动开度。
1.2****机械腿系统的动力学模型
动力学模型机械腿的动力学方程:
![]() |
(4) |
|---|
其中,** q** =[q 1, q 2]T表示关节的位置,
表示关节的速度,
表示关节的加速度;** M** (q)∈R2×2为惯性矩阵,** C** (q ,
)∈ R 2×2为哥氏力和离心力;** G** (q)∈ R 2×1为重力项;** τ** ∈ R 2×1为系统输入;** d** ∈ R 2×1为未知的输入干扰信号且有界;** f** a∈ R 2×1为未知故障信号且有界。
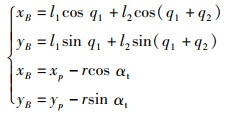
运动学模型 如图 3所示,机械腿在运动的过程中末端 B 点的轨迹是以 P 点为圆心的圆弧运动,其运动方程为
![]() |
(5) |
|---|
![]() |
|---|
| 图 3 机械腿运动简图Fig.3 Schematic diagram of mechanical leg movement |
| 图选项 |
其中, l 1为 O 点到 A 的长度, q 1为杆1的转角, l 2为 A 点到 B 点长度, q 2为杆2的转角, xB 为 B 点的横坐标, yB 为 B 点的纵坐标, xp 为 P 点的横坐标, yp 为 P 点的纵坐标, r 为 B 点到 P 点的距离, α t为杆 BP 与水平方向的夹角。
1.3****问题描述
本文中汽车驾驶机器人通过旋转电机带动机械腿转动,电机在运作的过程中可能发生卡死、失效、偏差等故障,3种故障模型表示为[19]
![]() |
(6) |
|---|
其中, k 1, k 2, k 3=0或1,** u** s为常值, ρ ∈(0,1)为失效因子,** v** 为控制输出信号,** Δ** 为偏差故障。定义** F** a= ** d** + ** f** a为等效的执行器故障,式(4)可以写成:
![]() |
(7) |
|---|
机械腿系统的动力学与车辆动力学之间的关系如图 4所示,其中, q 为机械腿输出转角, α t为油门踏板输出开度, F in为制动踏板输出开度, F t为驱动力, Fx b为制动力。
![]() |
|---|
| 图 4 机械腿动力学与车辆动力学之间的关系Fig.4 Relationship between mechanical leg dynamics and vehicle dynamics |
| 图选项 |
2控制器的设计2.1****油门反步控制器
当采取油门控制时,制动力 Fx b=0,式(1)得到的车辆纵向动力学模型为
![]() |
(8) |
|---|
将式(8)改写成:
![]() |
(9) |
|---|
式中, x =vx ;
; u 1=F dt,为理想驱动力;
。
定义第1子系统误差 z 1=vx -v d,求导得:
![]() |
(10) |
|---|
式中, z 1为车速误差, vx 为汽车的实际速度, v d为汽车期望速度。
由式(10)可得,发动机制动力等效控制律:
![]() |
(11) |
|---|
式中, k 1>0。由此可得发动机理想驱动力为 F dt=u 1。
定义第2子系统误差 z 2=F t-F dt,求导得
![]() |
(12) |
|---|
油门开度 α t控制规律为
![]() |
(13) |
|---|
式中, k 2>0。选取李雅普诺夫函数为
![]() |
(14) |
|---|
对 V 01进行求导,将式(11)和式(13)代入得
< 0。因此油门控制可以保证系统稳定和车速跟踪到期望指令。
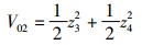
2.2****制动反步控制器
制动控制器与油门控制器的设计相似,当采用制动控制时,发动机驱动力 F t为0,则由式(1)得到车辆纵向动力学方程为
![]() |
(15) |
|---|
式中, x =vx ,
; u 2=F d x b,为理想地面制动;
。
定义第3个子系统误差 z 3=vx -v d,取发动机制动力等效控制律:
![]() |
(16) |
|---|
式中, k 3>0。由此发动机理想制动力为 F d x b=u 2。
定义第4子系统误差 z 4=Fx b-F d x b,取制动开度 F in控制规律为
![]() |
(17) |
|---|
式中, k 4>0。选取李雅普诺夫函数为
![]() |
(18) |
|---|
对 V 02进行求导,将式(16)和式(17)代入得
< 0。因此制动控制可以保证系统稳定和车速跟踪到期望指令。
2.3****机械腿驱动器的自适应故障补偿设计
为了实现机械腿执行器容错控制,当机械腿执行器发生故障时,对故障进行重构[20]。将式(7) 化成:
![]() |
(19) |
|---|
式中,** q** =[q 1, q 2]T,** g** (x)= ** M** -1(q),** u** = ** τ** ,** f** (x)= ** M** -1(q)(C (q ,
)
+ ** G** (q))。将式(19)改写成状态空间方程得:
![]() |
(20) |
|---|
式中,** x** 1= ** q** ,** x** 2=
。
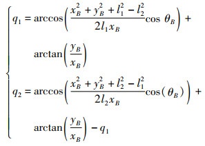
机械腿逆向运动学 由式(5)可得:
![]() |
(21) |
|---|
式中, xB =x p-r cos a t, yB =y p-r sin a t,
=tan θB 。由式(13)、式(21)可以得到理想的转角 q d。
定义** e** 1= ** q** - ** q** d,** e** 2= ** x** 2- ** α** 1,其中** q** d为期望值,** α** 1为待设计函数。
选取李雅普诺夫函数为
并求导得
![]() |
(22) |
|---|
函数** α** 1选取为
![]() |
(23) |
|---|
其中, c 1>0。将式(23)代入式(22)得
= ** e** 1T ** e** 2-c 1 ** e** 1T ** e** 1。如果** e** 2=0,则
≤0。取控制律为
![]() |
(24) |
|---|
故障补偿自适应律:
![]() |
(25) |
|---|
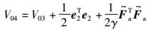
式中, c 2>0, γ >0。取李雅普诺夫函数为
![]() |
(26) |
|---|
对 V 04进行求导,将式(22)~式(25)代入式(26)得
≤0。结合投影算子,可以得到** e** 1(t)∈ L 2和** e** 2(t)∈ L 2,根据式(23)可以得到
。根据** e** 1(t)∈ L ∞∩ L 2和
根据Barbalat定理可以得到
。因此保证汽车驾驶机器人系统稳定和驱使机械腿跟踪期望的指令。
2.4****切换控制器
一般情况下,油门和制动不同时作用,设计切换形式:
![]() |
(27) |
|---|
式中, α t(t)为目标车速的导数,
; α 0为油门全闭时,汽车在平路上有滚动阻力、空气阻力产生的车辆减速度,取为-0. 02 m/s2; h 为控制缓冲层厚度,取为0. 005 m/s2。
3****仿真结果与分析
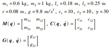
选取机械腿容错控制器的仿真参数:
![]() |
|---|
其中,
![]() |
|---|
车辆纵向动力学仿真参数设置为
![]() |
|---|
在0≤ t < 150 s时,机械腿的旋转电机1由于轴承卡住发生卡死故障,旋转电机2无故障** F** a= [10, 0]T,如图 5~图 7所示经过自适应控制器补偿后车速、关节1和关节2可以跟踪到期望的指令;从图 8、图 9显示当故障发生时,加入自适应控制器后可以快速估计出故障值进行补偿。在150 s≤ t < 300 s时,机械腿旋转电机1由于三相电源电压不平衡发生时变故障,旋转电机2由于轴承损坏发生卡死故障** F** a=[1.8sin t ,25]T,通过自适应控制器对故障值进行估计补偿后,机械腿关节1和关节2都能跟踪到期望位置。虽然图 6~图 9在车速各个工况的切换处会出现较大的瞬态误差,但随着时间的增加误差会逐渐减小。从图 5也可以看出经过故障补偿后车速在无故障、卡死故障、时变故障下都可以跟踪到期望值。图 10显示在加速和匀速工况下,驱动力工作,在减速工况下制动力工作。仿真结果验证了反步自适应故障补偿器的有效性。
![]() |
|---|
| 图 5 车速跟踪图Fig.5 Speed tracking chart |
| 图选项 |
![]() |
| 图 6 机械腿关节1位置跟踪图Fig.6 Position tracking diagram of mechanical leg joint 1 |
| 图选项 |
![]() |
|---|
| 图 7 机械腿关节2位置跟踪图Fig.7 Position tracking diagram of mechanical leg joint 2 |
| 图选项 |
![]() |
| 图 8 机械腿执行器1故障图Fig.8 Mechanical leg actuator 1 fault diagram |
| 图选项 |
![]() |
|---|
| 图 9 机械腿执行器2故障估计图Fig.9 Mechanical leg actuator 2 fault diagram |
| 图选项 |
![]() |
| 图 10 驱动力与制动力切换图Fig.10 Switching diagram of driving force and braking force |
| 图选项 |
4****结论
针对汽车驾驶机器人执行器发生的不确定故障和受到未知干扰,提出了一种反步自适应容错控制方法。反步对于机械腿系统进行基本的控制,自适应控制器对执行器发生不确定故障和未知扰动进行补偿,保证机械腿执行器在发生不确定故障时,车速仍能跟踪到期望目标,仿真结果验证此控制方法的有效性。








































