论文笔记—雾计算+车联网+假名—Privacy-preserved pseudonym scheme for fog computing supported internet of vehicles
Privacy-preserving pseudonym-based scheme for fog computing platform, which supports vehicle internet of things (VIoT)
目录
-
Privacy-preserving anonymous naming scheme for fog computing environment enabled by supported internet of vehicles
-
由雾计算支持的车联网隐私保护anonymous naming scheme
- 一、摘要
- 二、索引词
-
- 1.雾计算
- 2.车联网
- 3.假名管理
- 4.博弈论
-
第三章 目录
-
第四章 各部分内容概述
-
第一节 引言
- 第二节 相关研究
- 第三层 假名管理架构
-
A节 概述
-
用户层面: 用户层面信息处理系统设计与实现...
流畅层: 流畅层面信息处理系统设计与实现...
云计算层(网络核心): 云计算层面信息处理系统设计与实现... -
B.层次结构中的安全模型
-
- 云层
-
- 雾层
- 用户层
C层次架构的优势
*不仅降低了管理开销;
*还实现了高效的假名传递过程;
*并通过语境感知实现精准的假名更新机制。
-
第IV节 隐私保护假名方案
-
第A节 P³方案概要
- 地方主体自主维护本地标识并向上级提交
-
车辆系统动态申请新的标识资源
-
第一大核心环节与第二大核心环节
-
B. 关于关键操作的详细信息
- 1)系统启动及密钥生成过程
- 2)基础操作:假名管理
- 3)本地场景中的假设名称请求
- 4)基于上下文的假名更改分组
- 5)执行本地假名变更操作
- 6)远程区域中的假设名称发起请求
- 7)远程区域下的假设名称变更流程
- 8)配置撤回相关假设名称设置
-
第V部分:基于上下文感知的假 name 改变机制
-
本节主要探讨威胁 model 的相关设定
-
其中针对车辆右侧方向的 fake name 混乱度进行了详细分析
-
提出了一种基于 P³ 方案的新方法来提升抗干扰能力
-
VI.性能评估
-
- A.安全性分析
- B.数值结果
-
VII.结论
-
雾计算支持的车联网隐私保护假名方案
一、摘要
作为物联网新兴领域的一个有潜力分支,在智能交通系统中车联网(IoV)有望发展成为重要的数据传感与处理平台。本文目标聚焦于解决车联网系统中车辆位置隐私保护的问题。在传统虚拟专用网络(VPN)系统中,默认情况下采用一种集中化的管理机制以实现虚拟化连接,在这种架构下不仅存在大规模延迟问题还伴随着较高的资源消耗成本。因此本研究提出了一种名为由雾计算支持的车联网(F-IoV)的新架构模式以充分利用网络边缘资源实现更为高效的地址管理功能。该方案通过引入一种新型地址管理机制——基于上下文信息的安全动态地址分配方案(P 3),实现了车辆位置隐私的有效保护与优化资源利用效率。具体而言该方案具有以下显著优势:首先它能够通过动态感知实时环境变化来实现信息更新;其次它能够通过快速响应机制确保及时有效的地址分配;再次它能在不增加额外通信开销的前提下显著提升资源利用率并降低整体系统能耗水平;此外本研究还针对P 3方案设计了一套层次化架构框架并在此基础上开发了一种基于上下文信息的安全动态地址更改机制以及相应的安全通信协议体系。经过安全性和性能分析实验结果表明P 3方案能够在保证车辆通信安全性的同时有效提升位置隐私保护能力并显著降低车辆间的通信开销水平

二、索引词
索引词 ——车联网,雾计算,位置隐私,假名管理,博弈论
1.雾计算
雾计算:基于本地环境的云计算
如今正受到广泛的关注,“云计算”作为一种新兴技术,在全球范围内掀起一股热潮。其核心理念就是将海量数据整合到云端进行高效处理,并以此克服设备存储容量不足以及运算速度较慢等技术瓶颈。

在终端与数据中心之间新增一层结构称为网络边缘层。例如,在这一层可以部署带有存储功能的小服务器或路由器。将那些不需要上传至“云”的数据集在此处进行本地处理与存储。从而缓解“云端”压力的同时提升整体系统的运行效率,并改善了数据传输的速度。同时降低了通信延迟水平。这种模式实际上就是雾计算(MTC)的核心机制。
雾计算与云计算
- 都基于虚拟化技术,在共享资源池中向多个用户提供服务等。
- 云计算侧重于关注运算方式的研究和物理位置的规划;而雾计算则更加注重其在特定网络拓扑中的位置。
- 相较于云计算而言,在靠近数据生成点这一点上来说雾计算更有优势。
- 雾 calculates 就是弥补了传统云计算在本地化的不足。
- 与传统的云计算相比,在运算压力上更低;同时它处于更加底层的位置,并且具备更高的可靠性、更低的延迟、更大的灵活性以及更高的能效。
雾算处于云计算与个人终端之间的过渡阶段,并采用部分虚拟化的架构模式。
值得注意的是,在实际应用中雾算并未展现出强大的运算能力。
它通过整合分布在不同地点的计算机资源来实现。
这种相对较低强度的能力对于中小型企业的数据中心来说完全足够。
雾算位于云计算与个人终端之间的过渡阶段,并采用部分虚拟化的架构模式。
值得注意的是,在实际应用中雾算并未展现出强大的运算能力。
它通过整合分布在不同地点的计算机资源来实现。
这种相对较低强度的能力对于中小型企业的数据中心来说完全足够。
雾计算是一个新兴的方向,在无法完全取代云计算的同时能够协同作用于其优势特性。云服务与雾服务的结合将成为下一代互联网发展所必需的基础。
现有的城市道路监控系统通常需要至少3至4个网络hop才能将数据传输至本地中心机房。当这些系统需要迅速做出实时决策时,可能会导致响应迟缓。

图中所示为一个智能交通灯系统,在其中不仅配备了作为传感器的监控探头,在执行器部分还配备了交通灯设备。雾计算技术的应用将进一步丰富这一系统的功能与可能性。例如:
在监控过程中相较于上一帧画面通常只有一部分发生变动而另一部分则较为稳定这对于数据压缩具有重要意义;对于需要人工监控的画面雾节点会直接转发对应的视频流至中心机房;而对于不需要实时处理的画面则可以在雾节点处进行适当缓存压缩后再传输至中心机房从而有效缓解从雾节点到机房之间的网络带宽压力。
在雾节点位置处可以通过图像分析技术识别监控画面中是否存在救护车头灯闪烁状态并作出实时决策后发送给相应的交通信号灯设备协助救护车顺利通行这一流程能够显著提升应急响应效率与整体运行效率。
以上案例仅是智慧城市建设众多应用场景中的一个缩影未来随着移动通信技术的进步智能电网车联网以及智慧家庭等领域都将广泛运用雾计算技术从而推动社会生产生活方式发生深远变革
2.车联网
车联网的核心内容体现在以下几个方面:无线通信技术的应用使得车上配备的各种设备能够实时获取并整合信息网络平台中的各类动态数据,在车辆运行过程中为用户提供多样化的服务。可以看出,在实际应用中车联网主要呈现出以下几个特点:
- 车联网不仅能够维持车辆之间安全的距离,并能有效降低因碰撞而引发的事故数量;
- 该系统不仅有助于车主实时获取导航信息,并通过与其他车辆及网络系统的互动来优化交通运行效率。
3.假名管理
- 为了避免恶意攻击者追踪车辆的行动时态时态时态
- 不仅增加了假名管理的复杂性,还提升了计算开销,进而引发了延迟问题
4.博弈论
博弈论专门研究各种规范化的激励关系之间的互动方式,并被视为分析具有对抗或竞争性质现象的一种数学理论体系及分析方法。该理论不仅关注参与者的预期行为与实际选择的行为之间的差异性,还致力于探索其中各方能够实现的最大利益策略。
纳什均衡
在一特定战略组合中,在这种情况下(即其他方不更改选择),每个局中人都采取当前的最佳战略(即最佳行动)。这也就意味着,在当前的情况下(即其他方不更改选择),如果某一方更改其选择(即采取不同的战略或行动),其相应的收益将会降低。
- 囚徒困境
三、目录

四、各部分简述
I.引言
云与车联网存在:
- 通信往返延迟大
- 耗能高
- 很少支持感知
为了解决上述问题 提高IOV整体性能 ↓ 采用雾计算技术 作为云计算的重要补充 将其计算与存储能力延伸至网络边缘 确保低延迟通信 实现本地决策 并支持实时数据处理 ↓ F-IOV
F-IOV具有许多优势:
- 广泛存在的通信与计算资源
- 快速运行
- 提供稳定的连接支持
- 具备良好的适应性
- 提升服务质量
- 减少能源消耗
F-IOV安全性和隐私问题:

II.相关工作
广播的安全消息:{ID,位置,速度,方向,内容,时间}
因长时间车辆使用重复使用相同的标识符而被敌人捕获追踪的问题可用以下方法应对:
1)Mix-zone混合区域
- 在多辆车流的道路节点上设置标识码
- 车辆切换其标识码并通过不同的出口脱离系统以确保标识码不可追踪
- 由于标识码变更导致的车辆数量变化受限于现有设施,在较少数量的车辆或部分路段出现拥堵时该方案可能无法达到预期效果
2)群签名
- 被车辆加入至特定团队后会分配一个唯一标识符用于签署安全信息以确保位置隐私
- 仅限于拥有小组负责权限的人能够确认车辆的真实身份并能在必要时追踪任何团队成员
- 该群签名方案的有效性会受到团队规模的影响 大型组织由于其较高的管理复杂度导致签名处理效率降低 小型组织则因缺乏足够的匿名保护措施而导致身份确认能力较弱
3)静默期
- 驶入感兴趣区域的目标车辆首先发送安全信息,在随后的时间里保持静默状态,并在从位置L1移动至L2的过程中随机选择一个时长执行身份信息更新。
- 当相邻车辆从位置L3至L4重新发布身份信息时,可能会误导敌人误将该相邻车辆视为目标。
- 敌人仍可通过推测车辆间的时空关系来追踪目标。
车辆获得新假名的两类方方案:
- 通过最大限度地增加每次请求数量来降低资源消耗和数据重复率。
- 仅限于向本地管理者提供少量假名的情况通常会导致低效性并影响整体效率。
由此可见,开发一种高效的具备语境感知能力、按需求生成并实现快速分发的假名系统对于提升语言处理效率具有重要意义。
III.假名管理的层次结构

A.概述
用户层
通过车辆间的通信网络实现相互通信,并接入雾网络系统中请求新的虚拟专用Name
雾层
- 边缘网络架构部署于网络外围,并模拟云计算功能供车辆使用。
- 其他实体可通过有线或无线方式与之联系。
- 在特定区域内通过集成形成虚拟云层。
- 每个虚拟云层负责管理周边车辆并分配独特ID号码。
云层(网络的核心)
- 通过丰富的计算和存储资源来执行长期而复杂的任务
B.层次结构中的安全模型

云层
中央机构:
- 在F-IoV系统中,“假名”的管理具有最高优先级,并且该职责由ITS所属的政府部门承担
- 系统配备了防护性硬件,并已部署于远程云平台;此外,在这种环境中能够有效抵御潜在的安全威胁
- 一个人既可靠又不会遭受侵害
- 在进行道路行驶前,车辆必须进行身份相关信息登记;这些记录能够确保每辆车与其所有者之间具有唯一标识
- 完成注册后,在线机构将生成并分发给每一辆车公钥、私钥以及相应的数字认证文件
- 系统需配置每辆车初始的安全参数及密钥设置
注册数据库:
- 注册后的注册信息被成功地保存于远程云中的专用注册数据库中
- 所有车辆的全球假名使用信息均被完整地上传至专用注册数据库中
事件数据库:
该系统负责记录F-IoV中出现的常规操作行为与异常操作行为,并用于确定责任归属。详见IV。
雾层
技术:
在F-IoV架构中,边缘处部署的网络基础设施通过物理连接形成虚拟云环境。
特定本地节点设备上运行的专用雾服务器通过固定线缆与互联网相连,并为车辆提供无线电接入。
借助网络功能虚拟化技术,在雾基础设施中实现物理资源的高度动态映射。
针对不同工作负载需求,在雾节点间动态配置计算资源时可采用灵活划分子网策略。
假名雾的组成:
假名池:
- 在本地生成并将假名存储在F-IoV中
雾设备:
- 路边单元(RSU)相互组合以提供边缘资源
地方当局:
组成:
- 发行部门:由假Name池生成的新 fakeName 被分配给请求的 vehicle.
- 服务部门:设立一个用于记录本地 vehicle 的 fakeName 使用情况,并为每个 fakeName 创建与其对应 vehicle 的关系.
- 撤销部门: 负责处理相关撤销操作.
通信
- 假名雾借助有线或无线通信线路实现连接
- 将车辆的认证信息发送至相关部门后,并通过生成有效的假名雾来确认假名的有效性
事件数据记录器:
- 追踪本地车牌号下的所有车辆和路边设施的违规行为。
- 监控相邻地区以及其它地区的执法机构的行为,以实现相互监督。
- 然后,在事件数据记录器中生成一份负面清单,并将其上传至远程云端存储的事件数据库中;该数据库将用于核实实际车主身份并审查违规车辆的原因。
用户层
车辆配备:
车载功能模块
系统角度:
全球社交热点:
- 有几辆车会在特定时间段交汇。
- 如繁忙街道上经常交汇的地方。
- 有助于人们将社交媒体上的热门话题视作一种自然的社会混合区域。
- 集体修改该点的别称从而提升个人隐私保护水平。
上下文信息(有多少其他车辆要同步参与更改假名):
- 允许在热点中参与假名更改游戏, 以便判定到达时是否需要更改其假名。
- 在决定更改假名时, 上下文信息起到核心作用, 从而提高效率。
运作:
在F-IoV架构中,地方当局感知环境并将其广播至相关社交热点中的车辆。
在实时交会过程中,在动态上下文信息的基础上决定如何更改假名的方式。
当动态上下文信息不变化时,决策结果保持稳定。
C.层次架构的优势
降低了管理开销
- 整体假名管理负载在空间分布的虚拟假名雾中实现了均衡。
- 地方当局采用了分散式假名管理方案。
- 在与周边地方当局及旁路车辆交互时,采用了'短而胖'通信机制。
- 带宽和功率下降导致了显著降低的管理开销。
及时的假名分发
在多个层级的地方当局设置下(采用边缘部署的方式),能够快速分配新的假音码。该系统采用分布式架构实现自动化的假音码生成与传播过程。当高强度并发的假音码请求出现时(通过分布式系统自动处理),网络拥塞现象得到显著缓解。系统实时监测并本地处理所有接收到的声纹特征匹配结果(响应时间及往返延迟均显著降低)。各参与方能够迅速获取最新的语音识别模型参数(即新版本的声纹特征信息)。
上下文感知假名更改
地方当局通过社交媒体热点平台向车辆提供必要的上下文信息。
根据接收到的上下文信息,车辆决定是否进行假名调整。
通过实时交互协调机制的应用,在现有框架下实现对车辆的上下文感知假名调整策略。
在地方当局的支持下实现了对更多车辆同步进行假名调整的能力提升。
增强了所获取位置数据的安全性和隐私性。
IV.隐私保护假名方案
P 3( PRIVACY-PRESERVATION PSEUDONYM)方案
A.P3方案的概述
地方当局本地管理自己的假名并上传

由于以下优点,每个地方当局都管理其本地生成的假名:
- 每个私家车的信息仅存于对应的地方性机构中,而非分布在多个机构之间,从而降低隐私泄露的风险
- 当车辆遭受损害时,拥有完整车辆数据的地方机构能够迅速撤销相应的代号号码,避免不必要的搜索行动
- 我们观察到大部分私家车通常在一个区域内行驶,各个地区性机构都通过固定通信线路相连,从而提升数据传输效率
因此,在预算范围内实施分散化管理策略能够有效地协调各地区间的信息共享
车辆请求新的假名
本地假名更改

车辆离开本地

两个关键机制
为了实现P³方案,设计了以下两个关键机制:
假名机制
请求的假名个数受车辆驾驶计划影响。
合理设计的假名安排可防止车辆连续被追踪。
车辆将依据实时上下文信息重新规划识别标记号。
在两个主要社交热点间,车辆可在行驶途中每隔一定距离进行调整。
加密和认证
- 为了确保无线通信的安全性和有效性,并有效识别并阻止非法车辆的接入
- 使用三组密钥和证书来代替车辆的真实身份标识
| 密钥,证书 | 功能 |
|---|---|
| 车辆 i 的公钥和私钥,证书 | 用于车辆到基础设施的通信 |
| 车辆 i 的第k个假名,第k个假名的私钥,第k个假名的证书 | 在车辆广播安全消息时保护真实身份 |
| 想要更改假名的第c个车辆组,第c个车辆组的私钥,第c个车辆组的证书 | 在更改假名之前发送请求和响应 |
B.有关关键操作的详细信息
1)系统初始化和密钥生成

2)假名管理的基本操作
- 车辆 vi采用了新的标识符来避免潜在威胁者在驾驶过程中持续监控的情况。
- 为保障消息来源的责任性和接收方的安全性起见,
- vi通过附带时间戳生成的安全信息作为验证依据,
- 并附带一个标识符用于验证信息发送方的身份。
协议一
vi:获取来自邻居节点以及邻近位置路侧单元RSUm的时间戳信息。
vi:检查路侧单元RSUm及其邻居节点的时间戳签名。
如果(节点vi即将耗尽由LCi分发的全部假名)
3.1 如果(节点vi处于LCi覆盖范围内)
3.11 vi:采用本地名称请求协议
否则
3.12 vi:采用跨区域名称请求协议
否则
3.2 如果(节点vi发生LCi第n个虚拟名称更改)
3.21 如果(第n个虚拟名称已由LCi分配)
vi:执行本地虚拟名称更改操作
否则
vi:执行跨区域虚拟名称更改操作
否则
3)本地假名请求
- 在用完所有假名之前,vi必须请求新的假名以保护隐私
- 在加密后 ↓
协议二
vi将请求发送至RSUm
- 地方当局LA j:若(i为第n个虚拟身份者且其认证过的公开密钥满足验证条件) 以及(v_i存在于RSUm系统中),
则:
2.1 LAj通过RSUm平台向vi发送消息;
2.2 回复即由i使用其第n个虚拟身份者的公开密钥对信息进行加密处理,并包含以下内容:
- i请求的所有虚拟身份者及其相应的私有密钥
- 所有虚拟身份者的认证证书
- 相关的时间戳信息
2.3 系统将生成一个记录项:
记录即由i生成并存储以下数据: - 当局者的公开密钥
- 包含以下内容的小包数据:
- 当局者的虚拟身份者及其对应的私有密钥
- 该虚拟身份者的认证证书
- 相关的时间戳信息
然后将此记录项发送至中央机构CA。
随后:
系统会将此记录项存入v_i的身份追踪表中,并更新相关信息。
反之,
若上述条件不满足,
则当 局机构不再执行后续操作,
当 局机构不再执行后续操作,
当 局机构不再执行后续操作,
当 局机构不再执行后续操作,
当 局机构不再执行后续操作,
则局机构停止响应。
4)上下文感知假名更改分组
- 在车辆管理中, 假名更改取决于所有被更改的假名车辆的数量。
- 第V-C节具体说明了各组大小的相关细节信息。
- LAj负责各组的管理职责。
协议三
基于假名更改建立一组,并向所有位于LAj覆盖范围内的车辆发出邀请
响应方通过使用 LAj 的公钥来加密信息(其中包含的组、i 的公钥以及i 的证书结合时间戳)。
(以下以vi为例)
-
当在线节点接收虚拟节点从其发来的有效响应后,在线节点将密文分组信息发送给虚拟节点 vi:该分组信息经 i 公钥加密包括以下内容——第 i 个分组中希望修改车号的所有车辆数据及其对应的公钥、认证证书以及当前时间戳。
-
当虚拟节点 vi 决定修改车号时,则会向在线节点 LAj 发送相应的更新请求:此请求包含三个要素——一个标识位以及所有相关联的数据包中的认证和时间戳;该标识位取值为 0 或者 1,“1”表示参与同步变更,“0”则表示无需同步变更。
-
一定时间后,LAj会计算决定加入的车辆的总数量,并将此上下文信息发送给所有车辆:信息 = 使用车辆 i 的公钥加密的信息(总数量 与 LAj的证书 与 时间戳)
-
vi根据上下文信息动态决定是否在特定时间窗口更改其假名
-
LAj收集他们的响应,更新上下文信息并再次广播它们,直到上下文信息不变为止。然后,最终确定加入同步更改假名的车辆会适当共同更改他们的假名:确认 = (标识 与 第 i 组想要更改假名的车辆 与 第 i 组想要更改假名的车辆的证书 与 时间戳)
5)更改本地假名
当vi希望通过采用i假名来进行假名变更时,则在加密处理之后, 该vi将向LAj传递协议4中所指明的信息
协议四
vi通过发送给LAj的一条消息来传递信息
请核实来自vi的信息,并将该信息更新至LCj中的服务列表
- LAj向vi传递:响应 = 经过i公钥加密处理的信息(已更新的内容,并包含LAj的证书以及时间戳)。
- LAj向CA传递:服务数据 = 经过CA公钥进行加密处理的信息(包含LAj认证的时间段,并结合{具体的服务列表}以及时间戳)。
6)跨区域假名请求
- 当vi采用由LAm管理区域中的某一分发点时(具体来说是使用该分发点所对应的LAj分发的最后一版假名),系统将自动向其发起一次:假名请求(该请求采用加密形式传送至LAm端)。此加密信息包括但不限于以下内容:来自LAm端的公钥、i端设备持有者认证的相关证书、i端设备当前所使用的最后一版LAj分发版本以及该版本对应的CA证书,并附加当前时间戳。
- 基于旧假名证书及其签名进行验证后即可确认用户身份。
- 认证完成后将立即触发LAm和LAj之间的通信过程。
- LAj将在此次事件后暂时停止对相关用户的记录维护工作。
- 系统将在此次事件结束后立即为该用户分配一组新的本地化虚拟机名称并完成相关配置操作。
7)跨区域假名更改
- 当vi在其覆盖区域内使用由LAj发行的第k个假名时, vi希望修改假名为i并发送一个跨区域的消息.这一操作与本地假名变更操作中的流程一致.
- 该系统接收并验证了来自vi的一份请求,通过认证流程确定了车辆的所有权.
- 在应用LAj公钥进行加密处理后,系统将相关记录更新通知发送回至LAj.
- 随后对该通知进行了验证,确认无误后更新了服务信息.
8)假名撤销
在P³方案实施过程中,所有违反规定的行为将由旁边的其他车辆以及配备有监控系统的雾基础设施来监控并追查责任
例如
如果vi能够识别出使用k个音节标记违规车辆vk,则vi会记录该车辆的相关违规信息并通知邻近地区的当局机构LAj进行处理。具体而言,在通知过程中会采用以下方式:通过LAj公钥加密的形式发送包含以下信息的内容:违规行为类型、k个音节标记对应的证书信息、以及由i个音节标记创建并经i个音节标记私钥加封的时间戳信息,并同时包含时间戳数据作为附加标识
- 当vk成为Gk组的成员时, 它会整合属于该组想要更改假名的车辆及其相关证书到报告中。
- 接收到报告后, LAj将会核实该报及其相关用户的合法性, 并将其记录至事件数据记录器中, 最后转发此数据至CA。
- CA将会核查该报的真实性, 并通过其内部追踪系统确定参与此次操作的用户真实身份。
- 经过核查发现存在违规行为后, CA将会将其移出黑名单, 并将其相关信息传播至与之通信的周边RSU节点。
V.上下文感知假名更改游戏
A.威胁模型
- 在F-IoV网络中布置了一些安装了窃听设备的基础设施,在这种情况下能够持续地通过定期发送安全消息来进行持续监控。
- 基于视频分析的技术借助于交通监控摄像头能够在视觉上识别出目标车辆 → 该方法的成本较高。
在本文中,我们致力于采用基于无线电窃听技术的敌方目标方案,并且该方案具有较低的系统代价。
B.车侧假名熵
敌人窃听安全消息广播,以跟踪目标车辆
为了降低长期可链接性,车辆使用多个假名并更改假名以广播安全消息
在这里,位置隐私级别的强度采用名为假名熵的技术作为量化指标 ,这种度量方法从威胁者或敌人的视角衡量在不同虚拟身份分配情况下识别真实车辆身份时的难度。
以十字路口及停车场等为例分析其社交热点现象时,则可观察到一组由V={v₁, v₂, …, v_K}表示的车辆集合将在后续讨论中进行假名更改的实验研究。研究者建议采用以下指标体系:首先定义p_i为在假名更改后被成功跟踪的概率值,并基于此建立相应的统计模型框架以辅助分析
当V组中的所有车辆的跟踪概率遵循均匀概率分布时(若在一个定义域内的每一个子区间上所对应的随机变量取值的概率密度相等,则称该随机变量服从均匀分布),此时V组将具有最大熵值。

我们使用上限作为近似值,依据熵来评估车辆的位置隐私
获得的熵取决于同时更改假名的车辆数量
在社交热点,想要更改其假名的车辆使用IV-B节中的协议3发起更改假名
这些车辆从协议3中的组管理者处接收到邀请后,并进入了一个指定的时间窗口,在此时间段内各辆车依据上下文信息来判断是否进行假名变更。当该时间窗口结束时,在此期间愿意同步更新假名的所有车辆将同时完成这一操作。
提出了一种车辆侧熵度量,每个车辆随时间本地估计其位置隐私级别
不断观察敌人会导致车辆的熵损失。当熵减小到0时,车辆可能会被追踪
旨在维护位置隐私的前提下,在每辆车中主动计算其潜在熵值。当车辆抵达热点区域时会自主判断是否需更改代号
假名更改后,车辆可以在每个时隙中估计其假名熵值。
在本文中,vi的车侧熵表示为

第二个带H的式子表示从上次假名更改获得的熵
△t是从上次假名更改到当前时间的时间间隔
θ帽代表了熵损失的一个估计值,在以vi为视角评估敌人的跟踪能力时起关键作用。当θ帽提升时,车辆系统会更倾向于频繁更换假名。
在远程云中进行长期且复杂的参数估计(例θ帽)计算
最后,系统获取关于θ帽相应的平均值和标准差,分别表示为μ和σ
C.P³方案的熵增强的假名更改
part 1
在本文中,在F-IoV中开发了一个基于上下文的假名更改游戏。
当多个车辆同时运行时,在这些热点位置隐私级别上进行假名更改是有益的。
然而,在先前已经实现了较高位置隐私的热点上通常无需进行进一步的假名更改。
我们定义一个游戏G,来制定根据上下文信息更改假名的步骤:

part 2
对于车辆,在与地方当局的实时互动中建立了假名更改游戏。
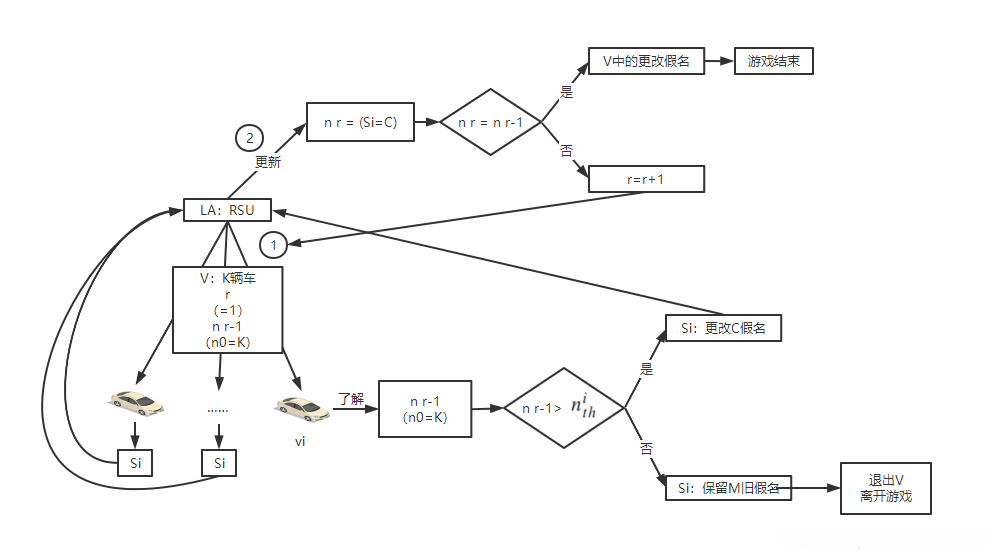
第一步:局域网节点 LA 组织在特定时间段到达的车辆参与假名更改游戏流程。RSU 创建一个玩家集 V ,其中包括 K 辆车。
第二步:设定初始值 r 为 1 。局域网节点 LA 使用 RSU 将被初始化的上下文信息 nr-1 等于 K 广播至所有玩家。
第三步:在第 r 轮中,在玩家集合 V 中的参与者 vi 如果也参与了此次假名更改,则会得知有 nr-1 个跟随者数量。如果 nr-1 大于 nthi,则 vi 决定更改假名;否则保留原有假名,并将这一决定 Si 返回给 RSU。
第四步:局域网节点 LA 收集所有回复,并根据本回合中选择更改假名车辆的数量更新相关上下文信息。
第五步:当 nr 等于 nr-1 时,在线玩家将收到通知并准备在同一回合同时更改假名标识符;随后游戏结束。若 nr 不等于 nr-1,则递增 r 至 r+1 并重新开始流程。

定理一:对于游戏的任何一轮,总是存在nr-1 ≥ nr
定理二:纳什均衡被游戏所涵盖和实现
在玩家集合 V 保持恒定的情况下,在有限回合后, 游戏运行结果将趋于稳定. 通过处于 game 的稳定状态时的游戏运行结果来实现. 组趋于稳定, 并且其中所有车辆均能达到更高隐私等级的位置隐私.
VI.性能评估
A.安全性分析
1)车辆的匿名性
-
通过将假名为真实身份进行映射所带来的不确定性的大小来衡量位置隐私保护的效果(其本质上即是所指的假名熵)。需要注意的是,在实际应用中, 计算这一指标通常涉及对用户行为模式的分析以及对通信网络中潜在威胁的评估。
- 不仅能够窃听车辆的安全消息, 并且能够细致观察其行驶时间和所在位置的信息; 通过这些数据处理结果, 从而得到目标车辆可能被赋予的真实标识。
-
如果标识码更改的地点中存在数量有限的交通工具,则敌方可能对目标交通工具进行追踪。
-
在资源较为稀缺的场景下,交通工具将有规律地更换其标识码以防止身份暴露。
-
在关键位置上 ,估算了自身车辆的侧向假名熵值 ,并依据当前环境数据确定了修改时间点及适用范围
-
当这种情况出现时 ,为了使自身侧向假名熵最大化 ,该车类更倾向于选择具备充足数量的热点区域进行标识更改
-
当目标与其他大量相邻变量处于混合状态时 ,整体被动防御体系难以持续锁定特定目标
-
若在同一热点区域内的多辆车同时更改其假名称码 ,那么从结果来看 ,所有参与变化的车次都将呈现出与背景车次相似的状态特征
-
由此可知,在这一策略下 ,全局被动防御者将丧失对目标车次的追踪能力
与集中假名管理相比而言,在本方案中所涉及的通信消耗主要集中在假名领域内的适度程度的通信负担上。
2)基本安全要求
P³方案利用现有的密码学机制(涵盖基于传统与现代加密技术),能够有效抵御多种常见的安全威胁。
基于加密技术和身份认证机制的安全措施得以实施后,在线 adversary 将受限于暴力破解密码学分析手段而无法解除加密信息;基于时间戳机制的数据传输特性确保了重放攻击行为难以成功实施;敌方不具备生成或模仿 RSU 及其相关消息的能力;为抵御此类社交工程性质的网络攻击,在此方案中我们提出了一种策略:即通过减少冗余数据来增强系统的抗容错能力;该策略旨在通过减少冗余数据来增强系统的抗容错能力;当车辆更新其虚拟身份时,默认旧虚拟身份会被自动失效并被移除
3)数据完整性和身份验证
通过数字签名机制的所有实体都会在通信过程中进行数字认证
缺乏用于生成他人数字认证的私钥 则任何实体都无法伪造他人的
只有由特定人生成的数据才具备用于身份核实的能力
由此 敌人无法轻易模仿合法车辆 如果消息被篡改 接收方将在认证环节发现异常 从而保证数据完整性和真实性
B.数值结果
场景
我们考察一个车辆雾场景,在城市核心区域的20平方公里范围内设置了10×10的均匀街道网格。这些街道均为双向两车道通行的道路。 在这些道路交叉口附近均部署了已运行的RSU设备。 每个热点节点处的无线覆盖半径设定为350米。 车辆流量遵循泊松过程分布,在高峰时段平均每分钟到达数量在30至120辆之间波动。 每个交叉路口的红绿灯周期设定为60秒红灯持续时间。 熵损失率θ帽(单位:熵/分钟)服从均值为0.1和方差σ²的正态分布特性:θ帽〜N(μ= ̄ )。 改动成本c取值于[0.3, ̄ , ̄ ]区间内的不同数值集合。 观察时间段设定为120分钟长度。 同时,在加密操作与传输延迟方面采用了与文献[18]中相同的参数设置(具体见下文)。
加密操作时间
非对称加密算法实现了约1.86毫秒的运行时间,在解码过程中仅需0.94毫秒;生成签名所需时间为0.93毫秒,并完成验证操作需时1.11毫秒;整个证书验证过程耗时5.42毫秒。在时间延迟方面,车载单元与路侧单元之间的通信延迟为20毫秒,在与地方政府之间则仅需5毫秒,在与中央机构之间则为10毫秒。
实验与结果分析
图3(a)呈现了我们的P³方案与[18]中传统的假名管理方案间的假名请求延迟对比
- 通过进行本地化优化来提升假名请求的响应速度和来回时间
- 在我们的方案中,在车辆假名请求延迟的情况上取得了更好的结果
- 随着地方当局数量的增加,在确保各地方当局工作负载均衡的前提下

- 假设所有抵达车辆均发起新假名请求。
- 当到达率λ提升时,在延迟方面我们的方法表现更优。
- 通过本地化处理图3(b)中的假名请求,在减少延迟的同时降低了整体通信开销。
- 在边缘部署下采用“短而胖”型通信模式与车辆交互,在性能上优于传统“长又瘦”型通信方案。
- 减少不必要的传输负担对提升系统效率至关重要。
- 在到达率上升时累计传输开销得以显著降低。

part 2
图4详细呈现了针对多种交通状况以及通过λ和c计算得出的假名改变成本,并对采用P³方法与传统假名管理方法所获得的假名熵进行了对比分析。
- 较高的流量密度及其较低的成本变动对改善获得熵具有积极的影响。
- 在十字路口红灯期间,在上述情况下(即较少的假名请求延迟),地方当局能够安排更多车辆参与假名更改。
因此,在十字路口红灯期间,在上述情况下(即较少的假名请求延迟),地方当局能够安排更多车辆参与假名更改游戏,并促使更多的车辆选择集体更改其假名以改善假名熵。
从而实现更好的隐私保护效果。 - 随着参数c的增长,在社交热点上愿意更改假名的车辆数量逐渐减少。

part 3
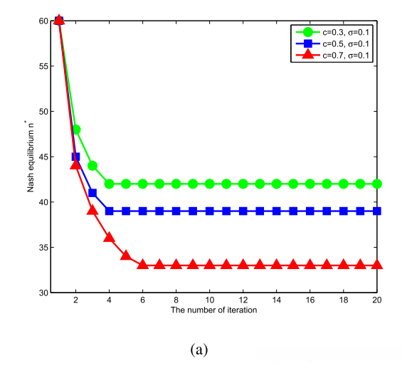
图5(a)与图5(b)对比了基于不同假名变更成本与熵损失估计参数下的假名变更博弈模型的纳什均衡结果,在此情境下,单位时间内到达的道路车辆数量λ设定为60辆/分钟。
- 我们注意到,在指定的社交热点上进行游戏运行时会迅速收敛,并在经历多次调整后达到纳什均衡状态。
- 当假名更改成本上升时, 除非在该社交热点位置隐私得到显著提升, 否则部分车辆不愿意进行名称更改。
- 较高的名称更改代价导致较少车辆选择在此社交热点位置进行名称调整(如图5(a)所示)。

图5(b)展示了关于熵损失估算值的标准差(即σ)对纳什均衡性能的影响。
随着σ减小,游戏最终大小n*呈现上升趋势。
当σ增大时,则会降低参与方对其敌方的认知水平。
车辆偏好调整假名为其隐私提供更多保障。
该研究结果表明,在这种情况下,
研究者不仅鼓励改变假名wc,
同时抑制保留旧假名wm的行为倾向。

假名更改的成本参数c和熵损失估计量的标准差σ对其造成负面的影响
总结
P³方案在F-IoV中以较低的通信开销有效地保护了位置隐私
VII.结论
总结
- 开发了一种多层次架构的隐私保护机制方案。
- 地理分布机构部署于...中生成假名,并及时将生成的假名发送至各辆。
- 旨在通过F-IoV平台设计一种保障隐私的安全通信协议。
- 构建了一个基于上下文感知的功能模块。
- 经安全评估结果表明我们的方案实现了对车辆的安全通信与隐私保护。
- 数值结果显示该方案显著提升了位置隐私保护水平同时降低了通信消耗。
展望
- 该方案无法有效应对稀疏车辆问题
- 未来的工作中 我们计划不仅考虑上述情况 并且在F-IoV框架内开发更为完善的假名管理策略
- 此外 在研究社交网络时 我们也希望能够探索其与假名管理之间的潜在联系
注:以上仅代表个人理解
