天基遥感中航天器挠性对成像区域的影响
本文研究了遥感卫星在太阳同步轨道和地球同步轨道下,由于姿态机动导致的挠性附件振动对成像区域和质量的影响。通过建立刚柔耦合动力学模型,分析了太阳同步轨道和地球同步轨道下的仿真结果。仿真显示,低轨卫星在约300秒后姿态趋于稳定,此时扰动对观测区域的影响基本消失;而高轨卫星则需要更长时间(约400秒)才能使期望观测区域与实际观测区域的位置误差小于距离阈值。研究结果表明,低轨卫星受扰动影响较小,而高轨卫星需要更长时间才能稳定,这为设计高轨遥感卫星的稳定性和可靠性提供了重要参考。
摘要
遥感卫星
天基遥感技术以其覆盖广、波段多、全天时全天候的观测能力,展现出显著的全球监测优势,因此在灾害监测、评估与预警等领域受到广泛关注与深入研究[1-4]。随着光学遥感相机分辨率的持续提升,成像条带宽度逐渐缩小,遥感应用模式正在由被动推扫向主动机动成像方向转变[5]。这种机动成像模式充分运用了敏捷卫星的高姿态机动特性,通过快速对准多个重点成像区域,实现了观测的高效与精细化[6-8]。为了实现高效的机动成像,通常需要敏捷卫星以大角度和高角速度进行姿态调整,这不仅会引起挠性附件的强烈动态反应[9],还可能对成像区域和成像质量产生显著影响,其中对高轨敏捷卫星的影响尤为突出。因此,深入研究大角度和高角速度机动对卫星挠性附件的影响,对于提升成像质量和应用效果具有重要的理论价值与实践意义。
目前,国内外学者在挠性航天器研究领域主要聚焦于其姿态控制相关附件的力学参数辨识问题。文献[10-11]分别对姿态控制与挠性附件的力学参数辨识进行了系统性综述,但相关研究的深度和广度仍显不足,仅有少量文献深入探讨了航天器姿态对成像区域和质量的影响。贾桂敏[12]提出了三轴姿态变化时三线阵CCD相机成像像移数学模型,深入分析了姿态变化对成像像移的影响。周伟敏[13]构建了完整的像移模型,并提出了一种有效的路径规划方法,以有效抑制挠性附件振动对像移的影响。尉文龙[14]研究了卫星势能与地球引力共同作用下产生的摆动现象对CCD相机成像效果的具体影响。吴亮等[15]从不同视角出发,深入探讨了偏航、俯仰、横滚三个方向的姿态误差对SAR成像质量的影响。张普中[16]则系统研究了带挠性附件卫星平台振动对成像性能的影响。
该研究未对敏捷卫星机动模式下挠性附件对成像区域和质量的作用进行深入探讨,而这种模式在工程实践中具有重要价值。
针对上述问题和工程发展需求,本文以敏捷卫星为研究对象,分别构建了挠性附件的有限元模型和带挠性附件的卫星刚柔耦合动力学模型,分析了机动后挠性附件对成像区域和质量的影响。
1. 挠性附件有限元模型
在本节中,我们采用模态叠加法,结合有限元方法,建立挠性附件的动力学方程模型。由于航天器的挠性附件大多具有薄板结构特征,例如大型太阳能帆板。基于上述分析,本文假设挠性附件可视为薄板结构,并采用四节点四边形单元进行离散化处理。每个节点具有三个自由度,具体包括径向位移Ω、绕x轴的转角θx和绕y轴的转角θy。单元节点位移状态可表示为
| ue=[w1θx1θy1⋯w4θx4θy4]Tue=[w1θx1θy1⋯w4θx4θy4]T |
|---|
式中 ueue 为单元节点位移向量。
基于形函数的插值方法,单元内部任意一点的位移可以表示为
| w=Nuew=Nue |
|---|
在式中,形函数矩阵N由[NiNjNlNm]组成,其中,NiNi、NjNj、NlNl和NmNm的详细表达式为。
| Ni=X1Y116[X1Y1−X2Y2+2X1X2+2Y1Y22bY1Y2−2aX1X2]Nj=X2Y16[X2Y1−X1Y2+2X1X2+2Y1Y22bY1Y22aX1X2]Nl=X2Y216[X2Y2−X1Y1+2X1X2+2Y1Y2−2bY1Y22aX1X2]Nm=116X1Y2[X1Y2−X2Y1+2X1X2+2Y1Y2−2bY1Y2−2aX1X2]Ni=X1Y116[X1Y1−X2Y2+2X1X2+2Y1Y22bY1Y2−2aX1X2]Nj=X2Y16[X2Y1−X1Y2+2X1X2+2Y1Y22bY1Y22aX1X2]Nl=X2Y216[X2Y2−X1Y1+2X1X2+2Y1Y2−2bY1Y22aX1X2]Nm=116X1Y2[X1Y2−X2Y1+2X1X2+2Y1Y2−2bY1Y2−2aX1X2] |
|---|
其中 X1X1 、 X2X2 、 Y1Y1 和 Y2Y2 为中间标量,其具体表达式为
| X1=1−τaX2=1+τaY1=1−υbY2=1+υbX1=1−τaX2=1+τaY1=1−υbY2=1+υb |
|---|
其中 ττ 和 υυ 分别表示单元坐标系。
利用一般有限元法可得挠性附件单元的动力学平衡方程为
| Meu¨e(t)+Keue(t)=fe(t)Meu¨e(t)+Keue(t)=fe(t) |
|---|
在式中,u_e(t)和f_e(t)分别表示单元节点的位移向量和外载荷向量;其中,M_e和K_e分别代表挠性附件单元的质量矩阵和刚度矩阵,其具体表达式如下所示:
| Me=∫VeρNTNdVKe=∫VeBTDBdVMe=∫VeρNTNdVKe=∫VeBTDBdV |
|---|
式中: ρρ 为密度; DD 为弹性矩阵; BB 为形函数矩阵的导数阵。
经过分析所有单元矩阵并消除固定自由度,从而得到挠性附件的动力学平衡方程为[17]
| Mu¨(t)+Ku(t)=f(t)Mu¨(t)+Ku(t)=f(t) | (1) |
|---|
在公式中, M 和 K 分别表示质量矩阵和刚度矩阵; u (t)(t) 和 f (t)(t) 分别被定义为节点位移向量和载荷向量。
对式(1)求解其广义特征值问题,得到特征值Ωi和特征向量Φi,并引入系统阻尼矩阵,将其转化为模态坐标描述下的振动平衡方程,如[13]所示。
| η¨(t)+Cηη˙(t)+Ωη(t)=Qη¨(t)+Cηη˙(t)+Ωη(t)=Q | (2) |
|---|
在式中,模态坐标向量η(t)表示为η(t)=[η1(t)η2(t)⋯ηn(t)]T,而模态矩阵Φ则定义为Φ=[Φ1Φ2⋯Φn]。对角矩阵Ω由元素Ω21、Ω22至Ω2n构成,即Ω=diag[Ω21Ω22⋯Ω2n]。广义力向量Q可表示为Q=ΦTf(t),其中ΦT为模态矩阵的转置。此外,阻尼矩阵Cη被定义为Cη=diag[2Ω1ξ12Ω2ξ2⋯2Ωnξn],其中ξi为结构阻尼比,n表示模态阶数。
式(2)为非耦合的二阶微分方程组,对它进行求解,通过模态叠加法,可以得到每个节点的位移响应。
| u(t)=∑i=1nηi(t)Φiu(t)=∑i=1nηi(t)Φi |
|---|
2. 带挠性附件卫星刚柔耦合动力学模型
本节将综合考虑带挠性附件卫星的平动和转动,以建立其刚柔耦合的动力学模型。首先,我们设定建模过程中的坐标系,并采用四元数法来描述卫星的姿态[18]。接着,推导出系统的动能和势能;最后,利用拉格朗日法建立其动力学模型[19]。
2.1 坐标系定义
卫星可简化为由中心刚体和挠性附件构成的系统,如图1所示。定义地心惯性坐标系为 oex, eye, ze。附件坐标系由 ofxfyfzfofxfyfzf 定义,其中坐标原点 ofof 位于连接中心刚体与挠性附件的节点位置,xfxf 轴和 yfyf 轴平行于挠性附件平面,yfyf 轴沿挠性附件轴向方向,zfzf 轴依据右手定则确定。卫星体坐标系由 obxbybzb 定义,其中坐标原点 obob 位于卫星质心,xbxb 轴、ybyb 轴分别与附件坐标系的 x, y 轴方向一致,ze 轴方向保持不变。
[

](http://html.rhhz.net/tis/html/PIC/znxtxb-2023-3-489-1.jpg)
图 1 带挠性附件卫星简化模型
2.2 带挠性附件卫星的动力学建模
本节通过推导刚体运动和挠性附件运动的动能与势能,运用拉格朗日方法构建带挠性附件卫星的刚柔耦合动力学模型。
如图1所示,定义为卫星本体上任意选取的质量单元 ΔmbΔmb,其在卫星本体坐标系下的位置由向量 ubub 表示。卫星本体质量单元在惯性坐标系中的位置变化由向量 RbemRemb 描述。RebReb 表示惯性坐标系中从惯性坐标系原点指向卫星本体坐标系原点的向量。同样地,定义为挠性附件上任意选取的质量单元 ΔmrΔmr,其位移由向量 urur 表示。在挠性附件坐标系中,原点指向质量单元的向量为 rrmrrm,卫星本体坐标系原点指向挠性附件坐标系原点的向量为 rbrrbr。RremRemr 表示挠性附件上质量单元在惯性坐标系中的位置变化。其中,urur、rrmrrm 和 rbrrbr 均基于挠性附件坐标系进行描述。
参考图1所展示的说明,在惯性坐标系中,卫星本体的质量单元和挠性附件的质量单元的位移向量可表示为[20]。
| Rbem=Reb+A(q)ubRemb=Reb+A(q)ub |
|---|
| Rrem=Reb+A(q)(rbr+rrm+ur)Remr=Reb+A(q)(rbr+rrm+ur) | (3) |
|---|
在式中,A(q)A(q) 表示为卫星本体坐标系和挠性附件坐标系至惯性坐标系的旋转矩阵,其具体表达式即为[21]。
| A(q)=⎡⎣⎢⎢q20+q21−q22−q232(q1q2+q0q3)2(q1q3−q0q2)2(q1q2−q0q3)q20−q21+q22−q232(q2q3+q0q1)2(q1q3+q0q2)2(q2q3−q0q1)q20−q21−q22+q23⎤⎦⎥⎥A(q)=[q02+q12−q22−q322(q1q2−q0q3)2(q1q3+q0q2)2(q1q2+q0q3)q02−q12+q22−q322(q2q3−q0q1)2(q1q3−q0q2)2(q2q3+q0q1)q02−q12−q22+q32] |
|---|
其中 q=[q0q1q2q3]Tq=[q0q1q2q3]T 为单位四元数。
令 rd=rbr+rrm+urrd=rbr+rrm+ur ,式(3)可重写为
| Rrem=Reb+A(q)rdRemr=Reb+A(q)rd |
|---|
卫星本体和挠性附件质量单元速度向量可分别表示为
| R˙bem=R˙eb+A(q)ΩubR˙emb=R˙eb+A(q)Ωub | (4) |
|---|
| R˙rem=R˙eb+A(q)Ωrd+A(q)r˙dR˙emr=R˙eb+A(q)Ωrd+A(q)r˙d | (5) |
|---|
式中: ΩΩ 为角速度反对称矩阵,其表达式为
| Ω=⎡⎣⎢0Ω3−Ω2−Ω30Ω1Ω2−Ω10⎤⎦⎥Ω=[0−Ω3Ω2Ω30−Ω1−Ω2Ω10] |
|---|
根据反对称阵乘法性质,并令 Ω=2L(q)q˙Ω=2L(q)q˙ ,式(4)和式(5)可分别表示为[22]
| R˙bem=R˙eb−2A(q)ubL(q)q˙R˙emb=R˙eb−2A(q)ubL(q)q˙ | (6) |
|---|
| R˙rem=R˙eb−2A(q)rdL(q)q˙+A(q)eNPiSΦη˙R˙emr=R˙eb−2A(q)rdL(q)q˙+A(q)eNPiSΦη˙ | (7) |
|---|
在式中,ubub 和 rdrd 分别代表向量 ubub 和 rdrd 的反对称矩阵,而 Ω=[Ω1Ω2Ω3]^T 作为角速度向量,SS 为扩维矩阵,PiPi 则表示第 i 个单元的单元联系矩阵。e=[0 0 1]^T;L(q)的具体表达式为
| L(q)=⎡⎣⎢−q1−q2−q3q0−q3q2q3q0−q1−q2q1q0⎤⎦⎥L(q)=[−q1q0q3−q2−q2−q3q0q1−q3q2−q1q0] |
|---|
将式(6)和式(7)写成矩阵形式为
| R˙bem=[I3×3−2A(q)ubL(q)0]a˙R˙emb=[I3×3−2A(q)ubL(q)0]a˙ | (8) |
|---|
| R˙rem=[I3×3−2A(q)ubL(q)A(q)eNPiSΦ]a˙R˙emr=[I3×3−2A(q)ubL(q)A(q)eNPiSΦ]a˙ |
|---|
在式(1)中,I_{3\times3}表示3维空间中的单位矩阵;在式(8)中,卫星本体作为刚体,其角速度向量\dot{\eta}为零向量。
基于假设,卫星本体基于其本体坐标系原点对称,卫星本体和挠性附件的动能可以表示为
| Tb=∫b(R˙bem)TR˙bemdmb=12R˙TemMbR˙em+2q˙TLT(q)JbL(q)q˙Tb=∫b(R˙emb)TR˙embdmb=12R˙emTMbR˙em+2q˙TLT(q)JbL(q)q˙ |
|---|
| Tr=∑Ter=∫b(R˙rem)TR˙remdmr=12R˙TemMrR˙em+2q˙TLT(q)JrL(q)q˙+12η˙TMηη˙−2R˙TemAH1L(q)q˙+R˙TemAH2η˙+2q˙TLT(q)H3η˙Tr=∑Tre=∫b(R˙emr)TR˙emrdmr=12R˙emTMrR˙em+2q˙TLT(q)JrL(q)q˙+12η˙TMηη˙−2R˙emTAH1L(q)q˙+R˙emTAH2η˙+2q˙TLT(q)H3η˙ |
|---|
式中,M_b=\text{diag}[\mathbf{m}_b\mathbf{m}_b\mathbf{m}_b]表示卫星本体的质量对角矩阵;M_r=\text{diag}[\mathbf{m}_r\mathbf{m}_r\mathbf{m}_r]表示挠性附件的质量对角矩阵;\mathbf{m}_b和\mathbf{m}_r分别为卫星本体和挠性附件的质量;J_b和J_r分别为卫星本体和挠性附件的转动惯量矩阵;H_1为各卫星本体和挠性附件的质量流量积分,计算公式为H_1=\sum\int_{\mathbf{e}_r}^{\mathbf{d}_m}\mathbf{H}d\mathbf{m};H_2为各挠性附件的质量流量与系统惯性矩的乘积积分,计算公式为H_2=\sum\left(\int_{\mathbf{e}_N}^{\mathbf{d}_m}\mathbf{P}_i\mathbf{S}\Phi d\mathbf{m}\right);H_3为各卫星本体和挠性附件的质量流量与系统惯性矩的乘积积分,计算公式为H_3=\sum\left(\int_{\mathbf{e}_r}^{\mathbf{d}_T}\mathbf{m}_i\mathbf{P}_i\mathbf{S}\Phi d\mathbf{m}\right);M_\eta=I_{n\times n}表示系统总惯性矩阵。
卫星整体系统的动能可表示为卫星本体和挠性附件的动能之和:
| T=Tb+TrT=Tb+Tr | (9) |
|---|
系统势能为挠性附件的弹性势能,其表达式为
| U=12ηTΩηU=12ηTΩη | (10) |
|---|
将动能表达式(9)和势能表达式(10)代入第一类拉格朗日方程后,从而得到带挠性附件卫星的动力学方程为[23]。
| Mta¨+Va˙+∂U∂a+(∂ψ∂a)Tλ=Qψ=0Mta¨+Va˙+∂U∂a+(∂ψ∂a)Tλ=Qψ=0 | (11) |
|---|
式中: V=∂(Mta˙)∂a−12(∂(Mta˙)∂a)T+CηV=∂(Mta˙)∂a−12(∂(Mta˙)∂a)T+Cη ; ψ=qTq−1ψ=qTq−1 ; λλ 为拉格朗日乘子; M t 的表达式为
| Mt=⎡⎣⎢⎢(mb+mr)I3×3−2LT(q)HT1ATHT2AT−2AH1L(q)4LT(q)(Jb+Jr)L(q)2HT3LT(q)AH22LT(q)H3In×n⎤⎦⎥⎥。Mt=[(mb+mr)I3×3−2AH1L(q)AH2−2LT(q)H1TAT4LT(q)(Jb+Jr)L(q)2LT(q)H3H2TAT2H3TLT(q)In×n]。 |
|---|
对于式(11)的微分方程可采用广义 αα 法进行求解[24-25]。
3. 成像区域计算
假设采用遥感卫星搭载光学遥感相机,其成像区域呈现矩形形状。遥感卫星的运行高度设定为hh,星下点的地理经纬度参数分别为_l_lon和_l_lat。遥感卫星在该时刻的仰角和横滚角参数分别为αα和ββ,水平和垂直视场角参数分别为φφ和γγ。具体计算方法如下:
以 l lon 为基准经度,将卫星星下点的经纬度坐标 (l lon, l lat) 转换为高斯平面坐标 (x sat, y sat)。
- 设中心点高斯坐标为(x img, y img),通过式(27)计算卫星成像中心点在地面位置。
| ximg=xsat−htanαyimg=ysat+htanβximg=xsat−htanαyimg=ysat+htanβ |
|---|
计算得到矩形影像区域中心点至视场边缘的距离及其视场顶点坐标,其计算公式为...
| ⎧⎩⎨⎪⎪dl=h⋅tan(α+γ)−h⋅tanαdr=h⋅tanα−h⋅tan(α−γ),α⩾γdr=h⋅tanα+h⋅tan(γ−α),α<γ{dl=h⋅tan(α+γ)−h⋅tanαdr=h⋅tanα−h⋅tan(α−γ),α⩾γdr=h⋅tanα+h⋅tan(γ−α),α<γ |
|---|
| ⎧⎩⎨⎪⎪du=h⋅tan(β+φ)−h⋅tanβdd=h⋅tanβ−h⋅tan(β−φ),β⩾φdd=h⋅tanβ+h⋅tan(φ−β),β<φ{du=h⋅tan(β+φ)−h⋅tanβdd=h⋅tanβ−h⋅tan(β−φ),β⩾φdd=h⋅tanβ+h⋅tan(φ−β),β<φ |
|---|
在式中,_d_l、_d_r、_d_u和_d_d分别定义为成像区域中心点至左、右、前、后视场边缘的距离。
根据中心点高斯坐标以及中心点与视场边界的距离,视场顶点坐标为
| prf=(ximg−dr,yimg+du)plf=(ximg+dl,yimg+du)prr=(ximg−dr,yimg−dd)plr=(ximg+dl,yimg−dd)prf=(ximg−dr,yimg+du)plf=(ximg+dl,yimg+du)prr=(ximg−dr,yimg−dd)plr=(ximg+dl,yimg−dd) |
|---|
其中,右前顶点的高斯坐标 prfprf、左前顶点的高斯坐标 plfplf、右后顶点的高斯坐标 prrprr 和左后顶点的高斯坐标 plrplr 分别表示为视场右前顶点、左前顶点、右后顶点和左后顶点的高斯坐标。
- 将视场顶点高斯坐标重新转换为经纬度。
4. 数值仿真
基于某型号敏捷卫星的仿真实验,研究挠性附件对成像区域和质量的影响。实验中,卫星的主要挠性附件为两个对称布置的太阳能帆板,其长度为4米,宽度1米,厚度0.02米。在本体结构简化分析中,卫星本体被建模为一个边长为1米的正方体,其质量参数为500公斤。通过桁架结构,帆板与卫星本体实现了固定连接,且帆板边缘至本体中心的距离设定为0.75米。表1列示了太阳能帆板的主要力学参数。
[

](http://html.rhhz.net/tis/html/PIC/znxtxb-2023-3-489-2.jpg)
图 2 卫星简化模型
表 1 太阳能帆板力学参数
Table 1 Parameters of solar panel
| 参数 | 数值 |
|---|---|
| 弹性模量/Pa | 1×1081×108 |
| 泊松比 | 0.3 |
| 密度/(kg·m−3) | 150 |
| 阻尼系数 | 0.05 |
在数值仿真过程中,分别选取了太阳同步轨道和地球同步轨道,以研究帆板残余振动对成像区域的影响。表2和表3分别列出了太阳同步轨道和地球同步轨道的参数信息。对于太阳同步轨道,相机的水平半张角和垂直半张角分别为1°及2°。对于地球同步轨道,相机的水平半张角和垂直半张角分别为0.1°及0.2°。为了模拟敏捷卫星的机动成像模式,设计了相应的仿真工况。
表 2 太阳同步轨道参数
Table 2 Sun-synchronous orbital parameters
| 参数 | 数值 |
|---|---|
| 历元时间(UTC) | 2022/01/26 15:03:16 |
| 半长轴/km | 7178.14 |
| 偏心率 | 0 |
| 轨道倾角/ (°) | 98.608 |
| 升交点赤经/ (°) | 305.432 |
| 近地点幅角/ (°) | 0 |
| 平近点角/ (°) | 0 |
表 3 地球同步轨道参数
Table 3 Geostationary orbital parameters
| 参数 | 数值 |
|---|---|
| 历元时间(UTC) | 2022/03/01 15:03:12 |
| 半长轴/km | 42166.3 |
| 偏心率 | 0 |
| 轨道倾角/ (°) | 0 |
| 升交点赤经/ (°) | 351.758 |
| 近地点幅角/ (°) | 0 |
| 平近点角/ (°) | 0 |
-
卫星本体 xbxb 和 ybyb 方向各施加10 N/m的力矩,持续时间1 s,卫星开始机动;
-
卫星姿态机动过程,持续时间1 s,无力矩;
-
卫星本体 xbxb 和 ybyb 方向各施加−10 N/m的力矩,持续时间1 s,机动结束。
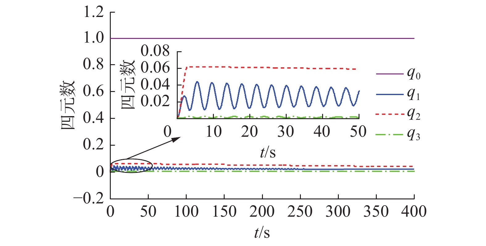
图3展示了太阳帆板尖端挠度振动曲线的演变情况。观察图3可知,太阳帆板尖端的最大挠度达到了0.3米以上,这一现象出现在卫星机动启动的初期。图4呈现了四元数变化的动态过程。通过图4的分析可见,当卫星机动完成后的太阳帆板残余振动对卫星的姿态稳定性产生了显著影响。
[

](http://html.rhhz.net/tis/html/PIC/znxtxb-2023-3-489-3.jpg)
图 3 太阳帆板尖端挠度振动
[

](http://html.rhhz.net/tis/html/PIC/znxtxb-2023-3-489-4.jpg)
图 4 四元数变化曲线
图5展示了太阳同步轨道成像的条带分布,其中绿色区域代表卫星在无干扰状态下的成像带,而红色区域则显示在施加扰动后的成像情况。研究表明,卫星姿态的机动导致太阳帆板的振动对成像区域产生了显著的影响。当机动操作完成并立即进行地面观测时,成像区域在横向和纵向方向上的偏差均较为显著。具体而言,红色成像区域在横向与纵向上产生大面积错位,并呈现出反复震荡的特征。随着时间的推移,帆板振动逐渐趋于稳定,红色成像区域逐渐向绿色区域靠拢直至完全重合。图6展示了太阳同步轨道卫星成像中心点随时间的变化曲线,其中最大偏移量为24.4公里,经过289秒的姿态稳定后,中心点的偏移量降至小于1公里。
[

](http://html.rhhz.net/tis/html/PIC/znxtxb-2023-3-489-5.jpg)
图 5 太阳同步轨道卫星成像条带偏移情况
[

](http://html.rhhz.net/tis/html/PIC/znxtxb-2023-3-489-6.jpg)
图 6 太阳同步轨道卫星成像中心点偏移距离曲线
图7展示了地球同步轨道成像条带,其中绿色部分表示无扰动时卫星的成像范围,而红色部分则显示了在施加扰动情况下的成像范围。从图中可以看出,卫星姿态的机动导致太阳帆板的振动对成像区域产生了显著的影响,尤其是初始阶段,这种影响更为显著。通过比较图5和图6,可以发现,随着卫星轨道高度的增加,扰动对卫星成像区域的影响程度也逐渐增强。图8则展示了地球同步轨道下,卫星成像中心点偏移距离随时间变化的曲线,其中最大偏差高达1967.5033 km。经过400秒的姿态稳定后,偏差仍超过15 km。显然,卫星轨道高度越高,扰动对卫星成像区域的影响越大,需要更多时间来稳定自身姿态。
[

](http://html.rhhz.net/tis/html/PIC/znxtxb-2023-3-489-7.jpg)
图 7 地球同步轨道卫星成像条带偏移情况
[

](http://html.rhhz.net/tis/html/PIC/znxtxb-2023-3-489-8.jpg)
图 8 地球同步轨道卫星成像中心点偏移距离曲线
基于仿真结果,在这两种情况下,卫星在约300秒的稳定运行后,其姿态达到了稳定状态。此时,低轨卫星的观测区域基本不受扰动影响,而相比之下,高轨卫星需要更长的时间,以确保期望观测区域与实际观测区域的位置误差小于设定的距离阈值。
5. 结束语
本文构建了具有挠性附件的刚柔耦合卫星动力学模型,并深入探讨了遥感敏捷卫星机动模式下挠性附件振动对成像区域的影响。研究选取了太阳同步轨道和地球同步轨道作为实验基准,并以两个对称配置的太阳能帆板作为挠性附件进行数值模拟。研究结果表明,卫星姿态机动结束后,成像区域在横滚方向和俯仰方向均出现显著偏差,导致成像区域出现位置错位现象。然而,在这两种工况下,卫星经过约300秒的稳定运行后,姿态趋于稳定状态。此时,对于低轨卫星,扰动引起的观测区域位置误差基本在可接受范围内;但对于高轨卫星,需要更长的稳定时间才能使期望的观测区域与实际观测区域的位置误差小于设定的距离阈值。
