【目标跟踪】C-COT:Beyond Correlation Filters: Learning Continuous Convolution Operators for VisualTracking
本文参考文献资料Beyond Correlation Filters: Learning Continuous Convolution Operators for Visual Tracking
基于近期备受关注的ECO作品(即其前作),发现博主在网上的相关解读文章却不多见。因此下了一番功夫将我对C-COT算法的理解整理后发布了出来。但仍有诸多不足之处希望能与各位读者分享心得并得到宝贵意见
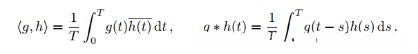
符号标注

定义了傅里叶系数
任何g\in L^2(T)可以表示为傅里叶级数形式:

L^2(T)表示勒贝格可积空间
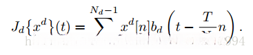
x_j 表示训练样本
x^1_j...x^D_j 表示来源于样本 的D个特征
N_d 表示特征x^d_j 的空间样本数量,即x^d_j\in R^{N_d}
中的第n个参数由x^d_j[n]表示
所以,样本空间可表示为:
建立方程
为了简化起见,在后续章节中我们将逐步向更高维的空间进行扩展

具体而言,在特征通道d中第n维的位置参数x^d[n]可看作对应位移操作下的权重。
注
如同前所述,则旨在学习一种线性卷积操作(即映射关系)S_f:\chi \rightarrow L^2(T)该操作能够将样本空间中的输入x映射至目标置信函数s(t)=S_f(x)(t)其中s(t)表示目标在位置t处的置信度得分因此,在所有位置中置信度最大的位置t即为目标所处的位置
在文中,算子S_f被定义为一组卷积滤波器f=(f^1,...,f^D) \in L^2(T)^D的参数化形式。其中f^d表示作用于特征通道d上的连续滤波器,并因此可以构造出相应的卷积操作。

在公式中,在每个特征通道d上先通过插值操作获得相应的空间分布信息随后通过卷积操作对该空间分布信息进行处理以实现特征提取的过程这一过程基于连续域的计算从而能够获得比离散像素点更为准确的结果
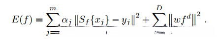
假设有m组训练样本(x_j, y_j)_{j=1}^m属于空间\chi \times L^2(T)中,则每个y_j都代表了对x_j施加运算符后的预期输出结果。因此,在这种情况下,卷积滤波器可以通过最小化以下目标函数来实现:

其中\alpha_j表示训练样本j对整体的影响程度。
注:
该节主要讨论的是连续滤波器f求解方法的相关推导过程。其核心思路在于将时域中的运算转换至复频域进行处理, 这一转换有助于降低计算复杂度, 从而实现对系统行为特性的深入分析。尽管这一推导过程较为复杂, 但通过深入理解其背后的数学原理, 我们可以更好地掌握相关理论知识, 并将其应用于实际工程问题中
**期望输出和插值函数的选取
遵循高斯分布,并在目标点周围集中

拓展到高维
在分析二维图像时,在数学空间中基于两个变量g(t_1,t_2)构建了一个平方可积且具有周期性的函数集合L^2(T_1,T_2)。
**
