基于深度学习的ECG疾病识别研究
**计算机系统的介绍
文章目录
-
- 一 概要
-
二、绪论
-
- 1.1研究背景及意义
-
三、基础理论及相关技术
-
- 3.1 ECG信号降噪处理
- 3.2 ECG信号特征提取
- 4.2心肌梗塞疾病模型建立与识别
- 4.2.1支持向量机模型
- 4.1数据收集整理分析
-
四、 结论
一 概要
人体中最重要的器官就是心脏,它为流淌在全身的血液提供动力,假如心脏出现了某些问题,即产生了心血管疾病症状,那么血液循环的动力就出现了问题,就会影响我们的身体健康,严重的甚至会引发死亡。例如心血管疾病之一的心肌梗塞,它是一种常见的病症,人们的生活在以往的水平线上又上升了一个台阶,越来越优越的生活下也隐藏着工作压力,致使很多人处于亚健康的身体状态,长此以往就极有可能会引发心绞痛——心肌梗塞的前期症状,进而可能发展成为心肌梗塞,更严重的引发死亡。因此能够及时、准确的诊断出病症,做出更加有效的病理控制,对于减少心肌梗塞的死亡率至关重要。
心血管类疾病的诊断大多数都是由临床医生根据心电图进行,但是这样进行诊断的效果还不是很理想,疾病进一步的确诊还需要由专业医师进行。所以,在人工智能、大数据时代,将计算机算法的快速反应以及通过改进的计算机算法相结合进行疾病的诊断的步伐应该加快。
本文患心肌梗塞疾病的心电数据以及健康者的心电数据都是从Physiobank数据库的PTB心电数据库中获得的,通过基于小波变化的去噪方式对提取的信号进行预处理,使用长短期记忆法(即LSTM)对预处理之后的ECG信号进行特征提取,建立心肌梗塞的支持向量机模型(SVM)以及线性回归模型,分析心肌梗塞模型特征,由此归纳总结心肌梗塞患者的ECG信号特有标志,从而为更加高效、准确的对疾病做出诊断提供可能,为患者争取更多的治疗机会。
关键词:心电信号;心肌梗塞;小波去噪;提取;识别
二、绪论
1.1研究背景及意义
城市化、老龄化在经济的发展之下进程也进一步加快,人们不健康的生活方式越来越突出,这样就使得引发心血管病的危险因素暴露的越发显著,发病人数一直呈现上升的趋势,心血管疾病在农村的死亡率一直高于城市[1]。据不完全统计,我国心血管疾病患病人数预计突破3亿,心血管病死亡率在各种原因导致的死亡率中占据榜首,平均每10秒钟就有一人死于心血管疾病[2]。更加令人需要注意的是此类数据近些年仍然处于上升状态,尤其是在成年人群,这一数据一直居高不下,中国心血管病的负担日益加重,已经成为迫在眉睫需要解决的威胁公众身体健康的问题,所以加强现代科技技术与医疗技术的结合,加快运用计算机对疾病的识别、诊断进行辅助的步伐尤为重要。
在心血管疾病中,突发性心肌梗死成为导致死亡的一大重症。在郝志国[3](主要从事法医现场勘查、法医病理学、法医临床学检验鉴定工作)对心肌梗塞死亡法医学分析3例中,3例死者都是在经历过打斗之后身体感到有不舒服的感觉,随后立即倒地,并且在短时间内死亡。经尸体检验发现,这3例死者冠动脉严重狭窄,同时研究人员还发现了不同程度的陈旧的、新鲜的心肌梗塞[3]。冠状动脉如果发生了堵塞,就会引起心肌梗塞,进而可能会产生由于供血不足心肌缺血坏死的情况,这个病症在45岁以下人群中产生的概率一直在上升,而此病及时就医是最重要、最有效的手段。
随着科技的发展和时代的需求,采用计算机相关技术对医学诊断进行分析和处理已得到越来越多的应用,尤其是对医疗中是否患有某项疾病的图像的识别诊断[4]。心电图(electrocardiogram,ECG)能够反应人体心脏健康状况,是判断是否患心血管疾病的重要依据,在临床上被广泛用于心血管疾病的筛查和诊断[5]。但是,目前仅仅是由临床医生通过心电图波形的变化来进行心血管疾病的诊断的效果还不够理想,还需要专业医师的进一步确诊;但是总是会发生存在一些心电图的特征没有明显异常特征的患者,而是只有在发病或者是病情恶化的时候才呈现明显的病症特有的波段异常特征[6],这一过程的发生,无疑使得患者确诊以及做出有效的病理措施的时间增加,众所周知在医学诊断中,时间就是生命,也许仅仅一秒之差,可能对于患者来说就是生死关头的问题,所以利用现代计算机技术与心电诊断进行结合以便及时、有效做出诊断对于医生、患者来说都至关重要。
世卫组织有统计表明,心血管疾病将成为“头号杀手”,全球每年预计超过1800万的人死于心血管疾病[12,13],而人们众所周知的死亡率较高的癌症、艾滋病等却还都不如心血管疾病所造成的死亡率。更应该让人们引起重视的是,心血管疾病的发生与年龄、性别等并没有关系,而且近些年青少年发生心血管疾病并导致死亡的案例屡见不鲜,逐渐成为威胁人类健康的重要因素。研究表明,睡眠质量不好的人患心血管疾病的概率比其他疾病高出2到3倍,而且极度容易引发心肌梗塞的发生,世界卫生组织报告,全世界三分之一左右的人口存在睡眠问题,由此可见,存在潜在型心肌梗塞患者。而心肌梗塞疾病的致死率又高于其他心血管疾病,在心肌梗塞发生时,最好的方法就是及时就医,为在早期还没有发生心肌组织改变的心肌细胞进行溶栓治疗争取时间,缩小坏死面积,恢复心肌的功能,减少死亡率。
在整个社会环境的影响下,人们的生活方式不够健康,没日没夜的加班、不分时间的吃着外卖等等,养成了不够规律、不够健康的生活习惯,使得人们的身体每况愈下,不仅仅包括中老年人,就连青少年由于心血管疾病而发生猝死的情况也更多,所以,在倡导健康生活方式的情况下,能够更加及时、准确的对类似心肌梗塞这样病情发展迅速的疾病做出诊断并给予病理治疗在现阶段以及以后的发展中尤为重要。
三、基础理论及相关技术
3.1 ECG信号降噪处理
前面第2章中已经讲到了ECG信号中存在的噪声,要想能够利用信号提取到相对准确的特征进而进行疾病的精确诊断需要对这些存在的噪声进行降除,进行完毕降噪处理之后的ECG信号才是我们进行疾病诊断的有效信号。
在第1章中讲到了关于基于小波变换的去噪方式,不仅仅能够有效的去除信号中存在的噪声,还能够最大程度的保留信号的准确性。
在由原信号得到小波变换信号时使用的是尺度为6的连续小波变换,小波基函数是墨西哥(Mexican)小波函数,它是高斯(Gauss)函数的二阶导数,因为这个函数的形状非常像墨西哥帽的截面,所以它也常被形象化的称为墨西哥帽函数。相比于其他的小波基函数,墨西哥小波函数对角度的敏感度不是很高,所以它更加适合于来进行特征的提取,同时它还拥有能够提取出相对稳定的极值点或者特征点的优势。它的表达式为:

在上面这个式子中,x代表原信号,y代表经过小波变换之后的信号。图3.1是经过墨西哥小波之后进行极值点的提取,而后就可以得到原信号在经过小波变换之后的信号,如图3.2所示。继而需要再进行信号的预处理,即去噪,使用的是MATLAB中的wavedec,在本文研究中使用的是“[C,L]=wavedec(E,3,‘coif5’)”,也即使用的coif5小波基,对原始信号E进行3层分解,其中C表示各层分量,L表示分量长度,为固定用法。经过去噪之后的信号与原信号的对比如图3.3所示。(心电数据为PTB心电数据库中心肌梗塞编号为1的患者,下文除注明外都使用该患者的心电数据进行分析)。

图3.1 算法表示
Figure 3.1 algorithm representation

图3.2小波变换前后对比图
Figure 3.2 comparison before and after wavelet transform

图3.3小波去噪前后对比
Figure 3.3 comparison before and after wavelet denoising
3.2 ECG信号特征提取
去噪完成之后为更好的进行疾病的识别需要对数据图像进行特征提取。在ECG图像波形中,各个波李QRS波群的特征最明显、而且能量最高,所以最容易被检测出来的也是它,而且在目前的对心电图波形研究中的检测手段中都是先将QRS波群检测出来,在心电信号中将其定位到,然后以此为基础再去检测P波、T波等。
对于QRS波群的识别方法有很多,目前最常用的方法有:差分阈值法[15]、滤波器法[16]、模版匹配法[17]、小波分析法[18,19]、主成份分析[20]等[6]。
在本文的研究中主要采用小波分析发进行特征的提取。首先是R波的检测,由于R波的幅度和斜率相对于其他波形来说是比较大的,所以首先对R波进行检测,检测完毕后Q波和S波也可以顺利的被检测到。
(1)R波的检测提取。
在经过小波变换后进行固定差分阈值分析的效果比较好,所以本文采用此方法进行R波的检测提取。首先对信号进行去噪处理,去噪结束之后进行小波变换,尺度为n,然后对所有的极值点进行检测,而且需要按照幅值进行排序。阈值大小的取定根据幅值大小确定,具体为极大值与极小值差的r%,阈值即为临界值,如果高于此临界值,则先预判为R波。结束后需要进行R波的错误检测的排除,这个目的的达到需要对检测RR间期,前面设定的阈值如果大于RR间期,那么就要对两个R波幅值进行比较,R波是这两个之中幅值更高的那个,剩下的那个则需要去除。当以上叙述的步骤都都结束之后还需要对R波进行局部微校正[6],以得到更加准确而且波形正确的R波。
经过上节中叙述的墨西哥小波变换之后,提取出来极值点,同时需要判定阈值,确定阈值的目的是需要看一下提取的极值点是否大于阈值,如果大于则需要进一步确定这个值是否是在其前后10个点的范围内的最大值,如果是的话计算这两个峰之间的距离,如果不是则需要取该范围内的模最大点,并且需要确定两点之间的时间是不是小于400ms,如果大于则为R波的峰点,如果小于的话,则需要再取两个R波中模较大者,然后确定为R波的峰点。205号健康者的R波提取过程如图3.4所示。

图3.4 R波提取过程
Figure 3.4 R wave extraction process
在提取R波提取的过程中,通过试验的结果以及过程的考察,将6作为小波变换的尺度 n,40%作为差分阈值的系数,最终所取得的效果会更好。后面的在对R波的错误检测进行排除时,为了达到像前面那一步一样更好的效果,需要将RR间期的阈值设置为0.4s,也就是说假如两个RR间期的时间比0.4s还要小,就会被视为错误检测到了一个R波。原因是人的心率范围为60-100次/min,最低不会低于40,最高不会高于120,也就是说RR间期最短不会低于0.5s。但是又考虑到由于病症的发生,心率有可能会有不齐的情况,在这样的情况下RR间期有可能会比发生这样的情况之前变短,所以阈值需要设置为0.4s更好。在以后的科研中,经过各个专家、学者的实验,已经证明了这个阈值的的设定符合规范,同时它的可用性和适用性也比较高,最后,为了更加准确的取定R波的位置,需要将检测到的R波前后各取10ms的数据进行大小比较排序,将其中的模极大值坐标作为最后的R波位置。
(2)Q波和S波的检测提取。
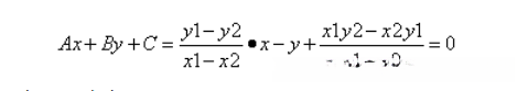
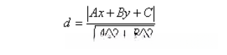
当检测完R波之后,Q波和S波都可以进行检测。首先对可能是Q波和S波的位置进行预判断,存在这样的模极大值点,这个点在R波波峰为中心的前后位置上,为保证点的确定的准确性,需要对这个点进行两次位置校正,以便得到最后的Q点或S点。这两种波的提取和校正方法是差不多的,就拿Q波来说:需要首先在预判点的位置之前,取20ms前面处的数据,设其坐标为(x1,y1),然后将该点与R波的峰点(设其坐标为(x2,y2))之间用一条直线连接,然后计算在这中间的每个点到直线的距离,求出来的距离最远的点就是第一次校正后的Q点[6]。直线的公式可表示为:

点到直线的距离d公式为:

提取出Q波和S波之后,就可以很方便的找到Q波的起点和S波的终点,方法是寻找最近的极值点,这个极值点在Q点前和S点后的100ms之间进行寻找,将其分贝作为QRS复合波的起点和终点。起点与终点之间的时间差就是QRS复合波的时限,R波峰点相对于QRS起点的幅值差是R波幅值。
图3.5为第205号健康对照者的Q波、R波、S波在原信号中的定位,图3.6为第1号心肌梗塞患者的Q波、R波、S波在去噪之后信号中的定位。

图3.5 健康对照者QRS波定位
Figure 3.5 QRS wave location in healthy controls

图3.6 心肌梗塞患者QRS波定位
Figure 3.6 QRS wave localization in patients with myocardial infarction
4.2心肌梗塞疾病模型建立与识别
4.2.1支持向量机模型
支持向量机(SVM)模型具有非常好的稳定性,因为它考虑了经验风险和结构风险最小化。在MATLAB环境下,Libsvm工具箱可以进行广泛使用,这样就方便了SVM模型的建立和使用。可以在Windows下执行的文件也不需要用户自己去进行编译,Libsvm工具箱已经将其编译好,而且更加人性化的是它也提供源代码,这样更加方便了SVM模型的建立。由于K-CV(K-fold Cross Validation)法是经常在此类研究中使用的,所以本文也采用这个方法。这个方法需要首先将所需要研究的数据均分为K(K>2)组,而且要把其中的一组拿出来作为验证集剩余的K-1组作为训练集,对模型进行训练。这样的方法可以得到K个分类器模型,为保证分类器的性能公平、可信度更高,选用这些模型分类准确率的平均值作为指标。K-CV的交叉验证和参数选择过程通过MATLAB平台实现,最终得到的0.758和4为c和g的最优值。最优参数选择过程如图4.1所示。

图4.1最优参数选取过程
Figure 4.1 optimal parameter selection process
4.1数据收集整理分析
本文中所使用的额新店数据都来自于PTB心电数据库,它是Physiobank众多数据库中的一个数据库。该数据库是由德国柏林大学本杰明·富兰克林大学心脏病学系教授从健康志愿者和患有不同心脏病的患者中收集的。包括心肌梗塞、心率衰竭、心律失常、心肌肥大、心肌炎等心血管疾病共290位受试者的549条记录。每个信号都有14个ECG信号、1个呼吸信号、1个线电压信号。本文研究对象为心肌梗塞患者和健康对照者的V5导联信号。因为V5导联位于胸部距离心脏最近的位置,对于诊断心肌梗塞ECG信号特征最为明显[6]。数据统计分析如表4.1所示。数据分析完毕后为进行模型的建立,需要用SPSS工具数据进行相关性分析,数据相关性分析结果如表4.2所示。
首先利用可视化工具Physiobank ATM将数据下载并保存为MATLAB的可读取文件,即.mat格式,随后通过前文叙述的步骤对于下载的数据进行去噪,包括基线漂移噪声、工频噪声干扰和高频肌电干扰三种噪声的去除[6];去完成之后就对数据信号进行特征提取。
表4.1数据分析

表4.2 数据相关性分析

其中,R波幅、T波幅、 P波幅、QT间期在0.01水平上显著相关,RR间期、PR间期、ST段偏移、早搏都是在0.05水平上显著相关,而剩余的P波时限、T波时限、QRS时限都没有显著相关性,所以选择具有相关性的8个数据进行模型建立的数据源。
四、 结论
心脏作为人体内最重要的器官,它的健康才能带来更好的生活,倘若出现一点问题都会对人体健康产生很大的威胁。心肌梗塞是生活中常见的心血管疾病,心肌梗塞发生时,如果血管堵塞30分钟以上就会发生心肌坏死,所以心肌梗塞疾病越早治疗越好。而心脏病目前的最佳诊断方式就是通过心电图的波形状态来进行判别,但是在目前医疗手段上,通过心电图来进行疾病的诊断需要专业医师进行,所以通过计算机进行辅助医疗诊断显得尤为重要。本文通过分析心肌梗塞患者和健康对照者的心电信号,通过模型检测提取出了判断心肌梗塞的特征,为该疾病的准确、及时诊断提供了参考。
本文主要完成了对心电信号进行提取、小波去噪以及特征提取;建立了SVM模型以及起辅助作用的线性回归模型,根据模型分析拥有心率过快、早搏、R波及P波振幅微弱、T波倒置、QT时限过长、ST段电位偏移等特征的ECG图像可能是心肌梗塞疾病发生的特征标志。本文的研究虽然有了一定的意义,但是还存在一些局限性:信号的处理方式上,对于其他类别的信号是否适用还需要进行进一步的研究确定;对于心电信号的特征提取、检测等都是在信号预处理(即去噪)之后进行,能否进行实时、动态的提取检测还需要对算法进行进一步的改进;支持向量机模型虽然比线性回归模型的准确率高,但是其在病理方面的直观描述存在局限性,所以模型的适用、实用性需要进一步进行研究。
现代社会发展进程之快、人类生活水平提高之快,都需要医疗水平相应得到更进一步的提高,计算机技术在不断的向前发展,这样的发展态势对于医疗与其的结合进行疾病的诊断提供了更好的模型,所以使用计算机辅助医疗,应用计算机进行对疾病及时、准确的诊断是时代之需、人类之需。但是心电信号的种类、数据繁多,因此计算机辅助医疗还需要与临床进行有效结合,从而能够更好的将研究应用到实际生活中,为心脏病、心肌梗塞疾病做加有效的分析、对患者提供更大的帮助。
