金融数据分析 实验四 金融风险价值计算
VaR(Value at Risk)是一种衡量投资组合潜在损失风险的指标,计算基于市场因子映射、市场因子波动性模型和估值模型。实验中使用Excel分别采用参数法(直接法、移动平均、指数移动平均)、历史模拟法和蒙特卡罗模拟法计算VaR。参数法假设总体服从正态分布,历史模拟法利用历史数据进行重新抽样,蒙特卡罗模拟法基于概率分布模拟未来变化。实验结果表明,三种方法计算出的VaR值均小于99%的置信水平标准,且回顾测试显示,VaR模型在绿灯区范围内,具有较高的适用性。通过不同方法的比较,实验验证了VaR在风险评估中的有效性。
实验原理
VaR的定义:在正常的市场条件下,给定置信水平和持有期,某种投资组合可能发生的最大损失值。
VaR模型不仅描述了损失的大小,还描述了发生损失的概率。
VaR的数学定义:给定置信水平 1 - α 和时间间隔 t ,如果一家实体机构在时间间隔 t 内预计损失额超过M的概率小于α,则称这家实体机构在时间间隔 t 内的VaR为M。
即 P {损失额 > M} < α
VaR的计算是以概率论与数理统计为基础,类似于区间估计
VaR模型可解决的问题:确定内部核心风险资本需求;设定风险限额(建立防洪堤);在风险调整的基础上更合理地分析业绩;应用于金融监管
对历史数据用不同方法计算样本统计量,计算VaR的方法就不同。主要有三类方法:
一、参数法
1、直接法; 2、移动平均; 3、指数移动平均
二、历史模拟法
1、一般法; 2、拔靴法; 3、改进拔靴法
三、蒙特卡罗模拟法
1、GARCH模型(正态分布、T分布)
2、GJR模型(正态分布、T分布)
3、EGARCH模型(正态分布、T分布)
实验内容
数据:数据集从2011/01/04至2012/08/27,共包含400个样本,其中选取最后50个样本作为回顾测试和验证数据,用于模型的评估与比较。在工作表练习题中,单元格C1被命名为"收益率",在单元格C3中输入公式:=(B3-B2)/B2,并将此公式自动填充至C401行。

一、 用直接法计算Value at Risk(VaR),详细列出所使用的函数、输入参数及结果,并绘制图形。将练习题复制到新建sheet进行直接操作。

用于E2单元格录入置信度指标及相关α分位数信息,在H2单元格中填写收益率均值,在J2单元格中录入收益率的标准差。

在H3中输入=AVERAGE(C3:C351)求收益率均值,J3中输入=STDEV(C3:C351)求收益率标准差


将E2:I5复制,在E345处选择按值粘贴。

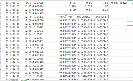
在E350、F350、G350单元格依次设置95%、97.5%和99%的VaR参数,在E351单元格设置公式:H346减去G346乘以I346,在G351单元格设置公式:H346减去G347乘以I346,在F351单元格设置公式:H346减去G348乘以I346。

选中E351复制,在E351按值粘贴。对F351,:G351进行相同的操作。
并将E351:G351拖拽至E351:G401.


选择A351与A401对应,C351与C401对应,E351与G401对应,并进行折线图绘制。观察到收益率曲线小于99%的VaR仅有两次。按照巴塞尔委员会的规定,该收益率曲线处于惩罚区间规则下的绿灯区。

采用移动平均法计算VaR指标,详细列出所需函数、输入数据及计算结果,并绘制相应的图表。将工作簿中的sheet练习题复制到新建的工作表中,以便进行后续操作。设置移动平均数m为50,其中单元格E350用于输入收益率的平均值,单元格F350则用于输入收益率的标准偏差。在单元格E351中计算平均值,使用公式=AVERAGE(C302:C351);在单元格F351中计算标准偏差,使用公式=STDEV(C302:C351)。

将置信区间和α分位数表格复制到E354单元格。在G350单元格中输入95%的VaR,在H350单元格中输入97.5%的VaR,在I350单元格中输入99%的VaR。在G351单元格中输入=E351-G346F351,在H351单元格中输入=E351-F351G347,在I351单元格中输入=E351-F351*G348。将G351单元格的公式拖拽至G401单元格,将H351单元格的公式拖拽至H401单元格,将I351单元格的公式拖拽至I401单元格。

将A351单元格的值复制至A401单元格,同时将C351单元格的值复制至C401单元格,以及将G351单元格的值复制至I35单元格。随后生成折线图,并对图表图例和标题进行调整。观察到,小于99%的VaR对应的收益率曲线仅出现两次。按照巴塞尔委员会的惩罚区间规则,该情况属于合格区间(Greenlight Region)。

三、 用历史模拟法中的一般法计算VaR,写出所有使用的函数、输入、结果等,并画出图。
将sheet练习题复制到新建sheet移动平均法。

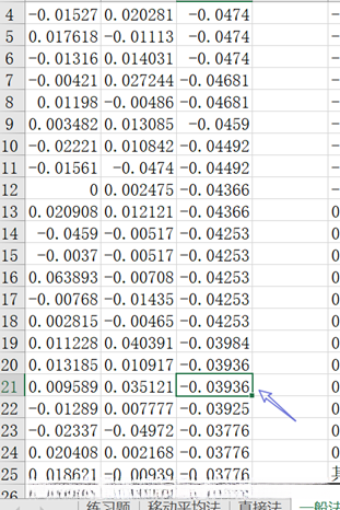
在D1区域中生成随机样本数据。单击数据选项卡,然后单击数据分析工具,选择抽样方法。指定输入区域为C3至C351,并设置抽样数量为500。输出结果将保存在D2区域。




在E1单元格区域进行样本排序操作。将D2至D501的数据范围复制到E2单元格区域。切换至数据选项卡,点击排序功能按钮,选择以当前数据区域为基准进行排序。





单击数据选项卡中的数据分析功能,选择直方图选项,设置输入区域为E2:E501,输出结果区域为G2,并勾选累积百分率和生成直方图图表。




在单元格F351中输入95%VaR,在单元格G351中输入97.5%VaR,在单元格H351中输入99%VaR。对于95%的VaR计算,α值设定为5%。根据累积列中的数据,3.60%至6.20%之间,计算公式为(6.2%-3.6%)/(13-10),即(5%-3.6%)/x,解得x=1.61。由此可得,3.6%对应的接收值为-0.03967,而实际计算结果为-0.03936。在样本排序中,向下查找1个位置,即可确定95%VaR对应的值为-0.03936。在单元格F352中输入计算结果-0.03936,然后向下拖拽至单元格F401,完成VaR值的填充。


在累积列中,97.5%的VaR对应α=2.5%。计算式为((3.6%-1.6%))/((10-7))=((2.5%-1.6%))/x,解得x=1.35。即为找到1.6%对应的接收值-0.04502(大于等于-0.04502),此处为-0.044915783,在样本排序中向下数1个即为97.5%对应的VaR-0.04491。在G352单元格中输入-0.04491,并向下拖拽至G401单元格。

在99%的置信水平下,VaR参数设定为α=1%。在累积分布列中,VaR值位于0.20%和1.60%之间。计算式为((1.6%-0.2%)/(7-1))=((1%-0.2%))/x,解得x=3.42。即此,找到1.6%对应的接收水平(>=-0.05036),其值为-0.05036。在样本排序序列中,向下查找3个位置对应的VaR值为-0.047399605。在Excel工作表中的H352单元格中输入-0.04739,并向下拖拽至H401单元格。



将A351单元格的值更改为A401,C351单元格的值更改为C401,G351单元格的值更改为I401。生成折线图后,调整图例和图表标题。观察结果显示,小于99% VaR值的曲线仅出现两次。按照巴塞尔委员会设定的惩罚区间标准,该结果处于理想状态。

实验心得
- VaR的计算可分三步进行:第一步,把资产组合中的每一种资产损益表示为市场因子的函数——市场因子映射;第二步,预测市场因子的波动性——市场因子波动性模型;第三步,根据市场因子的波动性估计资产组合的价值变化和分布——估值模型。在这三步中市场因子波动性模型和估值模型是关键,不同的市场因子波动性模型和估值模型构成计算VaR的不同方法。计算风险价值(VaR)主要有三类:参数方法、历史模拟法和蒙特卡罗模拟法。
- 参数法假设总体服从某种分布,用历史数据的统计量(如样本均值、样本标准差等)来表示市场因子来计算VaR。参数法主要有直接法、移动平均和指数移动平均三种方法。直接法假设总体服从正态分布,直接计算所有n个样本的样本均值和样本标准差,从而计算风险价值VaR。移动平均法只计算最近m(m称为移动窗口的宽度)个样本的样本均值和样本标准差。指数移动平均是用最近m个样本以指数加权平均来计算样本均值和样本标准差,距离越近的样本的权重越大。
- 历史模拟法的基本假设是过去的变化情况会在未来重现。利用过去一段时间的历史数据,进行重新抽样,模拟未来一段时间的变化情况,抽样区间和抽样方法的不同,就形成不同的历史模拟法,主要有一般法和拔靴法(Bootstrap)和改进的拔靴法。
- 蒙特卡罗模拟法假设总体服从某种概率分布,根据历史数据估计其参数,然后利用总体服从的概率分布,模拟未来一段时间的变化情况。
- 采用回顾测试法对各种模型及模型参数进行评价和比较。可以选出针对特定市场、特定产品在一定时间范围内较为适合的模型和合适的参数。
今天心情低落,接二连三的不幸接连而来,哎呀,明天和狗榕约好出去玩,希望能开心一下。有庆庆和曹安慰我,让我感到非常感动。非常期待去省博,那里应该有很多有趣的事情发生。明天一定要早起刷手机,别让自己太困哦。
