346雷达有多少tr组件_揭秘华为激光雷达

来源:内容转载自公众号「佐思汽车研究」,谢谢。
华为近期展示了种类齐全的自动驾驶传感器集合,其中包含了双目摄像头系统、毫米波雷达和激光雷达。本次我们将重点解析华为的激光雷达技术,下回重点解读的是双目摄像头系统。

华为在保密方面的措施堪称行业顶尖;外界难以获取大量公开资料;突破点自然落在专利领域里;于今年7月2日;世界知识产权组织国际局(WPIO(Intl.))公布了一项涉及激光雷达的技术专利;这项发明命名为《一种新型激光雷达测量模块及完整的激光雷达装置》;这是华为在激光雷达领域覆盖范围最广的一份技术文档;长达整整52页;相比之下大多数中文发明专利仅有约二十页内容;华为提交的技术申请详细阐述了该技术的核心原理与构造细节;很有可能这项成果就是详细介绍了华为最新的激光雷达技术升级版——LaserRadar 2.0
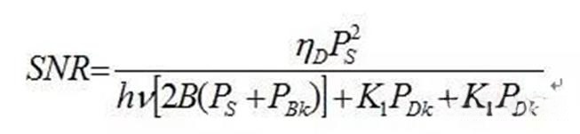
在解密华为激光雷达之前先熟悉激光雷达的信噪比概念。任何传感器系统的性能都与其信噪比直接相关。其中非相干激光雷达的信噪比SNR计算公式可以表示为:


根据上述公式可以看出,在提高接收信号光功率和量子效率的基础上实现信噪比的提升是最简单有效的办法。按照光学扫描器的类型划分,激光雷达目前主要可分为三类:第一类是旋转型机械激光雷达(包括360度旋转和反射镜往复往复的Scal),这种类型是最常见且应用最为广泛的;第二类是MEMS(微机电系统)激光雷达;第三类是Flash激光雷达(即2D/3D焦平面FPA摄像机),这类产品在手机和平板等领域的应用极为广泛,并且其功能与ToF相机完全一致。需要注意的是,在技术参数上二者存在差异:前两类设备的有效距离和分辨率优于第三类;而第三类设备的优势在于全半导体构成特点以及与传统摄像头的高度相似性。尽管如此,在实际应用中由于VCSEL芯片效率和方向性的问题限制了此类设备的有效距离及分辨率水平。此外,在输出特性方面需特别指出的是:前两类设备输出点云数据;而Flash激光雷达则输出三维图像信息;同时也可以生成点云数据格式。值得注意的是,在当前市场上高性能Flash激光雷达主要由IBEO和Ouster两家公司提供支持,并对Beam探测技术进行了优化改进工作
在当前技术发展速度下,MEMS方案是最具实际应用价值的解决方案。相较于传统机械式激光雷达系统而言,该方案具有三个显著的优势:首先,在微型振动镜的帮助下,该系统成功摒弃了传统激光雷达所依赖的大质量驱动器、多棱镜等复杂的机械组件;其次,在采用毫米级微型振动片后,在保持原有光学性能的同时大幅降低了系统的体积;最后,则通过优化设计实现了更高的工作稳定性和可靠性。

英飞凌收购的Innoluce MEMS激光雷达示意图
此外,从成本角度来看,MEMS微振镜的应用同样具有重要意义。相比于传统的机械式激光雷达系统,在减少发射/接收模块数量方面具有显著优势。传统的机械式激光雷达要实现多束激光,则需要配置多组发射和接收模块。而采用二维MEMS微振镜后,则只需配置一个激光器,并通过一块MEMS微振镜完成对光束的反射。这种设计使得两者在探测目标物体的三维信息方面实现了协同工作并最终获得所需数据。与基于多组发射/接收芯片组的传统机械式激光雷达相比,在减少设备数量的同时也能满足相同的探测需求。从价格角度来看,在N线型机械式激光雷达系统中需要配备TIA、LNA等关键芯片组以支持其运行功能。如果选用进口高质量产品(如Excelitas LD系列光源与滨松PD系列探测器),单个线型价格约为200美元左右;而国产产品(如长春光机所生产的光源)则能够提供更低的价格选择。理论上而言,MEMS技术的应用将使相关设备的成本降低到其原本水平的1/16左右
最后是分辨率方面的比较:MEMS振镜能够精确调节偏转角度的能力远超传统机械式激光雷达系统。在调整机制上具有明显差异:传统的机械式系统通常仅能通过调节马达转速来实现角度变化;相比之下,在调整机制上具有明显差异:传统的机械式系统通常仅能通过调节马达转速来实现角度变化;而MEMS振镜则提供了更为灵活和精细的角度控制能力。例如,在回波点密度方面:MEMS阵列系统能够达到每秒200万个单次回波点;而在性能上来看,则与106线传统机械激光雷达基本相当;相对而言,则仅有约240万个回波点。
那么MEMS的缺点是什么?缺点就是信噪比和有效距离及FOV太窄。因为MEMS只用一组发射激光和接收装置,那么信号光功率必定远低于机械激光雷达。同时 MEMS激光雷达接收端的收光孔径非常小,远低于机械激光雷达,而光接收峰值功率与接收器孔径面积成正比。导致功率进一步下降。这就意味着信噪比的降低,同时也意味着有效距离的缩短。扫描系统分辨率由镜面尺寸与最大偏转角度的乘积共同决定,镜面尺寸与偏转角度是矛盾的,镜面尺寸越大,偏转角度就越小。而镜面尺寸越大,分辨率就越高。最后MEMS振镜的成本和尺寸也是正比,目前MEMS振镜最大尺寸是Mirrorcle,可达7.5毫米,售价高达1199美元。速腾投资的希景科技开发的MEMS微振镜镜面直径为5mm,已经进入量产阶段;禾赛科技的PandarGT 3.0中用到的MEMS微振镜则是由自研团队提供。
主要解决策略有两种:第一种方法是采用 1550 纳米波长的高能量密度 激光系统,在此基础之上借助光纤领域的掺镱放大器进一步提高输出功率。这种 1572.4 nm 的高能量密度 激光系统具有极高的安全性,在人眼安全门限基础上可显著增加 1388 nm 光纤 激光系统的输出功率(例如 Lumentum 的 Luminar)。然而该技术存在两个显著局限性:首先属于专门化的 lasertechnology 领域;其次相较于传统 APD 收 receive array 电路相比 SPAD 或 SiPM 收 receive array 的效率提升了约一个数量级以上(例如 Toyota 中央研究机构开发的应用)。第二种方法则是通过 SPAD 或 SiPM 收 receive array 来实现更高的检测效率,在此基础之上利用先进的算法和计算资源可实现对复杂环境下的精确感知(例如 Mazda 和 Toyota 的合作项目)。然而目前 SPAD 技术尚处于相对成熟阶段并伴随较高的研发成本
华为为了迅速拓展激光雷达市场,并非没有考虑技术可行性问题。基于此,在 MEMS 激光雷达领域表现突出后, 华为开始探索其应用潜力, 并在此过程中对传统 MEMS 激光雷达进行优化设计, 以提升能量效率和性能指标, 即遵循其专利方案, 实现了多线程微振镜激光测量模组的技术突破。

华采采取先进机械激光雷达系统,相较于传统的单个发射接收组件设计,得益于华为在光电产业的巨大规模效益,采购成本相比传统水平显著降低。这种更加经济高效的设计不仅能够减少成本开支,而且能够提高生产效率和制造效果

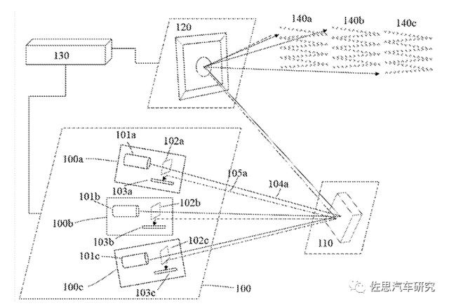
华为激光雷达光路图
图中展示了三个测距模组:分别是编号为168-977-689的A型模块、编号为987-654-322的B型模块以及编号为765-432-987的C型模块;每个模块均包含以下主要组件:位于顶端位置的是激光发射器(型号:Laser_Emitter_XX),置于中间位置的是分光镜(型号:Splitter_Mirror_XX),而接收端则安装了相应的接收器(型号:Receiver_XX)。其中XX代表具体型号编码;位于右侧上方的是发射光束路径(Path_XXXX);下方放置的是反射面(Reflective_Surface);左侧上方则是反射回来的回波光束(Reflected_Beam);安装在下方位置的是微振镜(Micro_Oscillator_Mirror),其通过二维扫描动作对入射光线进行方向调节以实现对目标点的精确照射;位于右侧下方部分是用于信号处理的一体化电路单元(Processing_Circuit)。值得注意的是:A型、B型和C型模块在结构设计上具有高度的一致性,并采用分时工作模式对激光信号进行发射操作;值得注意的是:虽然华为公司提供的类似产品线标称包含"一百零八条"功能序列码……但这一数值并非直接对应于拥有'一百零八'个独立测距模块的情况……因为这种配置虽然能够满足基本需求……但会带来显著的成本提升压力……同时由于微振镜设备在垂直方向上的扫描密度具有较高的控制精度优势……因此建议采用上述方案作为优化选择

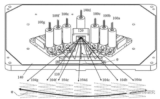
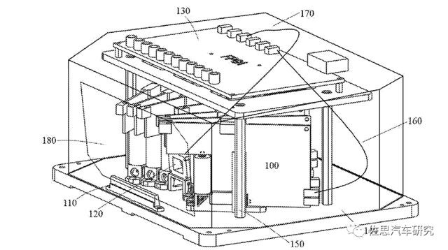
华为激光雷达立体结构图1

华为激光雷达立体结构2

华为激光雷达立体结构3
华为激光雷达得益于110反射镜的出现而变得更加紧凑与便捷,在线路板布线方面也得到了优化。以120MEMS振镜为核心布局两侧对称安置测距模块整体设计更为简洁明了。其中连接线缆分别位于编号为160和170的位置透光外壳窗口则固定在编号为180的位置上。
华为的这种设计相较于传统MEMS激光雷达在成本和体积上明显有所提升,并未见显著下降。然而,在性能方面却实现了质的飞跃,在有效距离和场角(FOV)等方面均有显著提升。值得注意的是,在激光雷达的技术参数说明中,默认通常会将反射率设定为90%,这种设定虽然简化了数据表述但可能降低了其直观吸引力;而华为则特别指出其产品在10%反射率的情况下仍能实现80米的有效距离(这一数值远高于常规计算标准),这使得产品的实际应用范围得到了显著扩展;同时通过功率增大的方式实现了微型振镜尺寸的缩减从而进一步提升了场角容量;相比之下传统的MEMS振镜设计由于物理尺寸限制只能提供较小的场角容量(通常约为40度)。此外模块化布局不仅降低了制造成本也为快速生产不同功能激光雷达提供了技术保障使其能够满足多场景应用需求
目前看来最有前景的Flash激光雷达技术相信华为也在积极布局这一技术领域
免责声明:这篇由作者首发的文章内容反映了作者的看法。文章内容致力于分享不同角度来看待问题的方法,并非 necessarily代表半导体行业的立场或意见。如您有任何意见或建议,请随时与我们联系。
今天是《半导体行业观察》为您分享的第2461期内容,欢迎关注。
晶圆|IP|SiC|并购|射频|台积电|Nvidia|苹果

