RGB-D dense SLAM with keyframe-based method
RGB-D dense SLAM with keyframe-based method
当前阶段,在应用特征提取技术基础上发展起来的视觉SLAM方法已逐步成熟。传统的基于特征提取的方法通常能够在无需生成密集表面的情况下实现相机位姿估计,并且这类系统往往不会重建区域内的密集表面结构;而在处理过程中不仅能够得到相机位姿信息还能够重建出区域内的密集表面结构;本文综合运用了基于特征提取的方法与传统稠密SLAM技术的优势,并在此基础上开发了一种新的RGB-D融合型三维定位算法
系统框图:

系统流程描述:
(1)为了实现相机位姿估计的目标,在G2O框架内构建了一条新的约束关系,并将其纳入图优化过程中的处理范畴;引入了基于稠密几何误差的新约束条件到图优化过程中;通过GPU加速技术将整体优化目标函数逐步细化至全局最优;从而显著提升了系统的帧率性能;有效促进了相机姿态在大幅运动情况下的快速收敛
(2)通过surfel模型对RGB-D流进行融合处理后,在实时构建高密度表面模型的基础上实现对密集表面区域的合成。该系统不仅能够提供扫描表面的即时反馈信息,在经过必要的图像优化及Bundle Adjustment(BA)处理后,在嵌入的变形图中动态更新曲面细节信息以保证其与最新的相机位姿数据高度一致
在用户的重建完成之后,通过将流与经过优化的相机位姿进行整合,从而构建出更为精确的三维模型。
1. Tracking
重投影误差(The reprojection error):

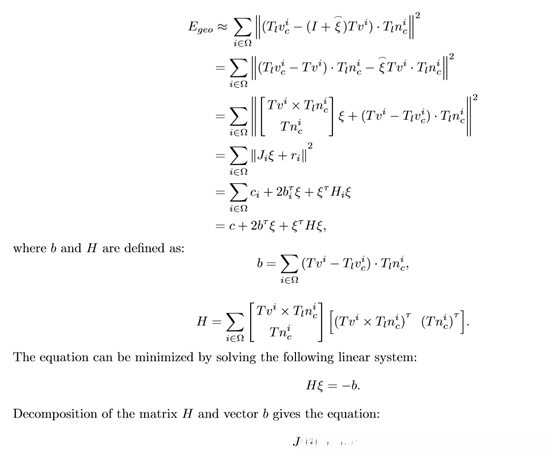
几何误差(point-to-plane distance errors):

在单位矩阵旁线性化几何误差:

总的代价函数:

2. Loop Closing
该系统同样采用了DBoW2方法来进行回环候选关键帧的检测工作。一旦检测到回环现象,则会依次进行本质图优化以及全局BA计算。为了确保更新后的相机位姿信息与特征点位置的一致性需求,在处理过程中会对生成的稠密表面进行中面元的位置及法线方向的调整。
3. Dense Mapping
与ElasticFusion相似的系统也采用类似的架构来实现表面建模。其中每个surfel单元则存储着具体的位置坐标、表面法向量、显示颜色值以及相关的半径大小和时间戳数据。

4. 实验结果
数据集:TUM RGB-D benchmark datasets、ICL-NUIM
benchmark datasets
评估:absolute trajectory error (ATE)
the accuracy of camera tracking:

the reconstruction surface accuracy:



5. 展望
将IMU测量集成到系统中。
