【Vehicle Platooning文献阅读01】Markov Analysis of C-V2X Resource Reservation for Vehicle Platooning
Markov modeling for C-V2X resource reservation in vehicle platooning systems
作者:Xin Gu, Jun Peng, Lin Cai, Xiaoyong Zhang, Zhiwu Huang
在该系统中的V2X通信网络规划中重点针对其Vehicle Platooning中的资源分配问题进行Markovian分析
目录
1. 建模分析
1.1 马尔科夫链概览
1.2 Collision State Transition
1.2 Transmission State Transition
1.3 可靠性分析
2. 理论分析
2.1 仿真环境
2.2 未完待续(复现)
1. 建模分析
1.1 马尔科夫链概览


表示的是冲突状态;

体现为传输过程的状态能够直观地反映系统的运行特征,在上图中通过相关曲线则能清晰地表明各状态下变量间的转换关系。下面将逐一探讨这些状态转移所依据的理论基础
1.2 Collision State Transition
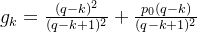
在本研究中,在针对SPS的相关参数重选计数器RC的具体设计中,在设定其最小值为p,并将其最大值设定为q的情况下,在此区间内完成参数配置。
在一个半持续调度周期内,连续冲突会在至多p次结束**(为什么?)**

C_k至C_{k+1}之间的转移几率为1,在RC尚未归零时会持续地发生资源预留冲突。

C_k的状态转移状态有四种:

:表示车辆

,

继续使用同一个冲突资源;

: 当状态

处车辆

该系统的RC指标降至0,并且即使在选择新资源时不采用冲突资源的情况下也会转移至此处。

: 当进行初始化RC并进行重选选择到非冲突资源;

: 车辆

继续使用之前的资源而

选择一个新的资源。
a.

左侧代表了两辆车辆各自的RC值均高于零的概率,在经过第k次传输后其上限值为

,那么每辆车的RC的计数器的值选项有

,因为包括了触发重选时的RC=0,所以每个UE在第k次传输后不为0的概率为

;加号右边表示的是

在重选过程中依旧选择之前的资源进行接下来的传输,

进行重选并且维持之前的选择概率为

。
b.

其中w_k表示的是v_i的RC值减为0并且

继续使用原来的资源并且

也是一样的

另外一项表示的v_i选择了新资源并且又面临着资源预留冲突

,其中

表示

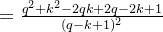
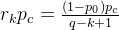
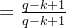
, p_c表示资源预留冲突时的概率。
c.

左侧通过描述v_i继续使用之前的资源以及v_t选择新资源的方式来体现这一概念;右侧则通过描述v_i选择无冲突的新资源来体现该概念。
d.

这个表示的是当

时,

的RC减到0的概率并且选择新资源,此外此时

的RC值大于0的情况。
注: 这里检验一下这四种情况的四种状态转移概率是否和为1:





1.2 Transmission State Transition


的转移概率为1因为成功的资源预留;


的转移状态有三种
1.

: 表示下一次预留依旧成功,此时只要

的RC计数器不要到达0就可以:

2.

: 表示

的RC值变为0并保持原来使用并不冲突的资源,和

选择新的资源且并没有冲突:

3.

: 表示

在RC为0的情况下发生冲突的概率

注: 这里检验一下这四种情况的三种状态转移概率是否和为1:




1.3 可靠性分析

,它的状态转移概率可以总结为:

设置

表示的是上述的转移矩阵,而
表示的状态的分布情况, 其中

表示的是错误状态的概率分布,而

表示的是传输状态的概率分布。
由于马尔科夫链是不可分解且具有非周期性的特性,在计算对应于矩阵P特征值1的特征向量后即可得到S
设置U为排通信的成功概率,它可以将传输状态的所有概率相加而得:

