【翻译论文】Multispectral LiDAR Data for Land Cover Classifification of Urban Areas(2017)
翻译论文
翻译论文
DOI: 10.3390/s17050958
文章目录
摘要
关键词:
-
引言
-
多光谱LiDAR系统的发展历程
-
方法
3.1 基于图像的空间分类方法
3.2 基于点的空间分类方法
3.2.1 多波段LiDAR点数据的整合
3.2.2 地面滤波处理
3.2.3 灌射指数(NDVI)计算
3.2.4 数据聚类分析- 3.3.辐射校正
第四部分 研究区域与数据集
- 6. 讨论
- 7. 结论
- 参考文献
原文PDF链接
提取码:qn22
摘要
机载光探测和测距系统通常基于单一波长工作,以评估物体反射的强度范围和绝对强度。近期,多光谱激光雷达传感器的出现带来了新的技术,能够获取不同波长的数据。这使得记录物体光谱反射特性的可能性得以实现。在本研究中,我们旨在比较两种不同技术在土地覆盖分类中的应用效果,具体是利用多光谱激光雷达数据。第一种方法基于图像分类,通过从激光雷达点生成强度和高度图像,然后应用最大似然分类器进行处理。第二种方法基于点分类,主要进行地面滤波和归一化差分植被指数(NDVIs)的计算。研究数据集来自加拿大安大略省奥沙瓦市的城市区域,分为四个类别:建筑、树木、道路和草地。图像分类和三维点分类的总体准确率分别为89.9%和92.7%。为了抵消由于系统畸变和地形高度变化导致的衰减效应,我们对强度数据应用了辐射校正模型。随后重复分类过程,结果显示总体精度未见显著提升。
关键词:
多光谱激光雷达;土地覆盖;地面滤波;NDVI;辐射校正
1.导言
随着机载激光雷达技术的快速发展,研究者们已就利用激光雷达高度和强度数据进行土地覆盖分类进行了大量探索【1–4
该分类过程包含四个层级结构,第一层级将图像对象划分为三类,即水体、低地和高架物。高架物则进一步划分为树木和建筑物。低地物则划分为其他类别,如低植被、道路和潮间带,直至图像对象被第四层级划分为十个细分类别。在10个类别和7个类别间的分类准确率分别为94%和98%。然而,本研究主要基于激光雷达数据的高度信息。此外,分类规则中所使用的阈值是应用于对象的平均值(例如,平均强度)的,这在某种程度上存在错误,尤其是在建筑物边缘和地面返回在规范化高度带中形成一个图像对象时。此外,由于激光雷达无法穿透,一些密集的针叶树表现出单一的回报。这些树木被错误地归类为建筑物,因为树木与建筑物的分离主要依赖于多重收益带。
在文献[3]中,详细说明了对三个不同地点的LiDAR衍生特征进行敏感性分析的过程。首先,基于LiDAR回报的五个生成波段进行图像对象分割,具体包括裸土、首次回报、最后回报、高度和强度五个类别。其次,计算了基于高度的六个特征,包括平均值、标准差、同质性、对比度、熵和相关性,以及平均强度和密实度。最后,通过决策树将图像对象划分为五个土地覆盖等级,总体分类精度达到90%以上。需要注意的是,分类过程主要依赖于三个关键特征,即平均高度、高度标准差和平均强度,而其他特征的引入并未显著提升分类效果。这可能与测试地点所处的地形条件有关,例如,测试区域的复杂度较低(如树木和建筑物之间存在较少干扰)。此外,在图像分割过程中,强度带被赋予了0.1的权重,而其他带则被赋予了同等的1权重。这是因为强度数据在数据采集过程中是人工调整的。因此,沿着不同的飞行线,强度数据呈现出不一致的特性,这表明强度数据在本研究中未能得到充分应用。
Antonarakis等人[4]采用了基于监督的面向对象方法,将地形划分为九个等级。该研究首先构建了八个LiDAR衍生带,包括树冠表面模型、地形模型、植被高度模型(VHM)、强度模型、强度差异模型、偏斜度模型、峰度模型以及树冠百分比模型。随后,研究者应用决策树对三个城市区域的数据集进行了分类。该方法显著提升了三个数据集的总体准确性,准确率达到93%以上。然而,该方法未能考虑到两个关键类别(道路和建筑物),尽管在研究区域的三个地点中,部分建筑物确实存在。VHM的计算是通过从冠层表面模型(第一个回报创建)中减去数字地形模型(最后一个回报创建)实现的。值得注意的是,LiDAR接收器的噪声可能导致部分回波值高于第一个脉冲回波的海拔高度,这会干扰VHM的计算。此外,LiDAR点的三角不规则网络插值也会引入误差,影响对地面与树冠顶部的区分。这些误差来源进一步限制了该方法的准确性。
其他研究深入探索了LiDAR衍生的高度面,例如NDSM与多光谱图像在土地覆盖分类中的应用。Huang等人[5]研究将LiDAR衍生的NDSM与高分辨率RGB航空图像和近红外波段图像相结合。通过基于像素的分类方法,即最大似然法,其总体准确率达到88.3%,最终得到四个类别,包括建筑物、树木、道路和草地。为了进一步提高分类精度,研究团队采用了基于知识的分类和校正系统,最终将准确率提升至93.9%。该技术基于一组应用到高度、高度差、平滑度、各向异性平滑度、强度、NDVI、转换植被指数、面积和形状的阈值,以实现对四个土地等级的检测。Chen等人[6]研究将LiDAR衍生的NDSM与Quick-Bird图像结合用于地形分类。首先,从Quick-Bird图像中提取了两个波段,即归一化差异水指数和NDVI,随后与NDSM相结合。其次,研究团队采用了面向对象的分层分类方法,其中包括图像分割步骤,随后对图像对象应用阈值处理。在分层分类过程中,其总体准确率达到89.4%。然而,该方法在区分道路与空地方面存在不足,因为这两种物体在光谱和海拔特征上具有相似性。值得注意的是,上述两项研究均未引入LiDAR强度数据。为了确保图像分辨率一致性,研究团队对光学图像进行了重新采样,这导致了混合像素的产生。这些混合像素往往同时包含多种土地覆盖类型,从而导致分类错误。
基于多光谱图像和LiDAR数据(高度和强度),研究者利用不同土地物体的光谱范围(如可见光和近红外(NIR))的反射率变化进行分析。Charaniya等人[7]从航空图像中提取了高度、强度、高度变化、多重回报和亮度波段(仅在可见光谱中测量),并提取了四个LiDAR特征。通过高斯混合模型对四类训练数据进行建模,包括道路、草地、建筑物和树木。模型参数和后验概率采用期望最大化算法进行估计。随后,这些参数用于对测试数据集进行分类,整体分类准确率达到85%。研究表明,高度变化在分类任务中扮演着关键角色,移除高度带后分类性能显著下降。此外,移除航空图像后,分类准确率也有所降低。通过分析多次回波的差异,道路和建筑物的分类性能得到了提升。然而,由于草块的误分类问题,其他地形覆盖物的分类精度受到了影响。
Hartfield等人[8]将LiDAR数据与分辨率高达1米的多光谱航空图像相结合。具体而言,两个LiDAR波段,即强度和归一化地被地物指数(NDSM),由LiDAR数据生成,而植被指数(NDVI)则由多光谱航空图像得出。分类与回归树方法对不同波段组合的性能进行了评估。通过将LiDAR的NDSM、多光谱图像与NDVI相结合,该研究实现了对8个土地覆盖等级的分类,最终达到了89.2%的总体精度。值得注意的是,航空图像中的阴影区域对分类结果具有显著影响。此外,尽管强度数据在一定程度上有助于提高分类准确性,但在裸地与草本(草)类之间仍出现了误分现象。这一问题源于强度数据需要进行校准,正如文献[8]中所指出的那样。另一方面,Singh等人[9]将Landsat Thematic Mapper ™图像与归一化LiDAR波段相结合,包括强度、冠层高度模型和NDSM。为了优化分类效果,研究者根据不同分辨率的TM图像(1米、5米、10米、15米和30米)对多个波段组合进行了测试。最终发现,使用1米分辨率的TM图像与三个LiDAR波段结合的分类方法,其总体准确率达到85%。分类结果的准确性受到了两个主要因素的制约:第一,LiDAR数据在生成二维图像过程中存在数据间隙,导致分类结果出现偏差;第二,LiDAR强度数据未被归一化至标准范围,这在一定程度上影响了分类效果。
最近,通过实证研究证实,LiDAR强度数据的辐射校正对土地覆盖分类精度具有显著影响。辐射校正的目标是将观测到的强度数据转换为土地物体的光谱反射率。基于经典的雷达传播方程,系统和环境参数包括飞行高度、射程、入射角、传感器孔径大小以及大气衰减被系统性研究,以实现LiDAR强度数据的精确校正[10,11]。应用校正后的LiDAR强度数据进行分析,城市区域的整体分类精度提升至7.4%、9.4-12.8%以及3.8-16.5%[12][13]。
2. 多光谱LiDAR系统的历史发展
近年来,人们对多光谱LiDAR系统的探索从未间断。实验室已构建多光谱LiDAR系统,用于采集不同波长的数据[14-16]。对从地面激光扫描(TLS)平台获取的多光谱LiDAR数据进行了系统分析,以提取生物物理和/或生物化学植被参数[17-21]。此前,关于多光谱机载激光雷达的探索报告已有所记载,这些报告主要采用了多种机载激光雷达系统,并结合同一研究区域的多飞行任务进行综合应用[22-24]。
基于实验室的多光谱LiDAR系统已开发,用于获取531、550、660和780纳米[14],以及556、670、700和780纳米[15]的光谱数据,以测定森林树冠的三维结构。Shi等人[16]提出了一种基于实验室的多光谱LiDAR系统的后向散射强度标定方法,该系统主要工作于556、670、700和780纳米波段。该标定方法考虑了入射角和表面粗糙度参数的影响。随后,研究者们对多种植被指数进行了定义和深入探索,以提升分类的准确性。
其他调查采用TLS平台以收集多光谱LiDAR数据。例如,[18]开发了一个双波长全波形TLS平台,其工作波长包括近红外1063纳米和中红外1545纳米。该平台用于记录森林树冠返回的全波形数据,以评估其三维结构。芬兰大地测量研究所开发了高光谱LiDAR(HSL)系统,该系统能够传输400-2500纳米范围的连续光谱[19]。为了区分人造目标与植被,研究人员在500-980纳米范围内进行了七次光谱实验[20]。Douglas等人[21]开发了一款便携式地面全波形TLS,其工作波长覆盖1064纳米至1548纳米。该系统被用于在内华达山脉国家森林地区进行数据采集。
对于多光谱机载LiDAR的探索,Briese等人[22]构建了一个实用的多波长机载LiDAR数据辐射校准流程框架。该方法基于全波形观测(包括范围、振幅和回波宽度)、飞行轨迹以及地面参考目标。本研究采用的数据集源自三个月内基于同一飞行计划的三次飞行任务。研究中所使用的RIEGL设备包括VQ-820-G(532纳米)、VQ-580(1064纳米)和LMS-Q680i(1550纳米),其中VQ-820-G主要设计用于测量海底、河流或湖泊,其扫描模式为地面圆弧形。相比之下,其他两个设备则生成了直线和平行的扫描线。在辐射测量校准过程中,参考目标的现场测量是在特定条件下(零入射角、干燥环境)通过不同设备完成的。此外,LiDAR数据与现场测量的参考目标是在不同季节(8-12月)采集的。由于每次飞行任务的地面条件存在差异,校准强度值也会受到影响,例如1064纳米波长的反射率校准值高于其他设备。
Briese等人[23]对通过上述三个RIEGL传感器获得的多波长机载LiDAR数据进行了校正。这些LiDAR数据在短时间内(即四天内)通过两次飞行任务获取,两次飞行任务均使用配备两个传感器的飞机执行,这样可以确保研究区域在所有波长下的反射特性更为稳定。在532纳米波长下收集到的校准强度数据较为暗淡,相比之下,在1064纳米波长下的数据则更为明亮。在本研究中未涉及分类过程。此外,RIEGL VQ-820-G与其他两个底面探测器由于采用了不同视角,从而生成了具有不同边界特征的LiDAR数据。通常情况下,由于表面变化、气象条件和含水量等因素的时间依赖性,各个飞行任务的表面状况存在差异[23]。
Wang等人[24]证明了双波长全波形LiDAR数据在土地覆盖分类中的潜在用途。LiDAR数据由两个激光传感器获得,Optech ALTM Pegasus HD400(Teledyne Optech, Vaughan, ON, Canada)和RIEGL LMS-Q680i(RIEGL Laser Measurment Systems, Horn, Austria)分别在1064纳米和1550纳米处运行。首先将辐射校正模型应用于从两个传感器获得的LiDAR数据。然后,LiDAR点被转换为1米分辨率的光谱图像,并结合起来进行后续处理。然后从Optech和RIEGL传感器的数据中得出三个特征,即振幅(强度)、回波宽度和表面高度。最后,采用支持向量机的监督分类算法,将地形分为六类,包括土壤、低植被、道路和砾石、高植被、建筑屋顶和水。对不同的特征组合进行了测试,总体准确率达到了84.3%-97.4%。将三维LiDAR点转换为二维光谱图像会影响光谱图像中树冠的反射率信息,树冠无法与下层植被和土壤分开。这项研究只考虑了从每个完整波形中提取的第一个回波进行处理。然而,土地覆盖物,如树木、建筑屋顶或低矮的植被,可能反映出不止一个回波。此外,当RIEGL和Optech的振幅信息被测试时,建筑屋顶与土壤或低矮植被并没有完全分开。一个可能的原因是,强度数据来自于在不同时间进行的不同任务。因此,天气和/或表面条件随时间变化,因此,同一物体表现出不同的强度值。因此,表面高度和回波宽度被认为是土地覆盖识别的主要特征,而振幅信息是补充信息[24]。
2014年,加拿大安大略省沃恩市的Teledyne Optech公司成功制造了首款具备实用价值的车载多光谱LiDAR传感器设备,命名为“Optech Titan”。该设备在日间和夜间均能执行多光谱主动数据采集任务,从而推动了LiDAR技术在多个领域的创新应用及其数据提取能力的提升。该传感器采用三波长工作模式,通过不同观察角度获取多通道点云数据:C1通道在3.5度向前方向捕捉1550纳米的红外光谱(MIR),C2通道在水平方向捕捉1064纳米的近红外光谱(NIR),C3通道则在7度向前方向捕捉绿色光谱(532纳米)。具体传感器规格和性能参数可参考表1[25]。

与单色波长的LiDAR数据相比,通过结合三种不同波长的多光谱LiDAR数据,可以获得更高的可靠性和准确性。已有研究表明,使用Optech Titan收集的多光谱LiDAR数据进行土地覆盖分类具有一定的可行性。Wichmann等人[26]深入探讨了不同类别的光谱模式,并指出强度值在土地覆盖分类中具有重要应用价值。通过从LiDAR强度和高度数据生成栅格图像,并结合图像分类技术[27],可以实现对地面场景的精确解析。
在作者之前进行的一项工作中,研究者应用了最大似然分类器,将其应用于单强度图像、组合三强度图像以及带有数字高程模型(DSM)的组合三强度图像[28]。研究发现,在使用组合三强度图像时,将地形划分为六类的总体分类准确率为65.5%,而使用单强度图像时,分类准确率提高了17%。此外,当研究者结合了DSM的三强度图像时,总体分类准确率提升至72.5%。进一步分析表明,我们从三个通道记录的强度值中提取了三个光谱指数。这些光谱指数在一个城市地区进行了验证,结果显示,在区分低植被、高植被和建筑区时,分类准确率达到96%[29]。
与仅依赖单光谱图像或LiDAR高分辨率数据(DSM)相比,将LiDAR高度和强度数据结合起来使用显著提升了研究结果[30]。尽管LiDAR系统能够生成三维密集且精确的点云数据,但以往的研究大多将三维点云转换为二维强度和/或高度图像,以便应用图像分类技术。然而,这种转换过程导致了数据维度的丢失(即Z分量),从而使得分类结果可能出现不完整或不准确的情况。本研究旨在探讨利用多光谱机载LiDAR数据进行土地覆盖分类的可能性。具体而言,本研究的目标包括:(1) 探讨现有图像分类技术在多光谱LiDAR数据分类中的适用性;(2) 设计一种多波长LiDAR数据融合方法;(3) 开发一种基于三维多光谱LiDAR点云的自动生成土地覆盖分类方法;以及(4) 分析多光谱LiDAR数据辐射校正对土地覆盖分类结果的影响。本文的结构安排如下:第3节详细阐述了所采用的方法;第4节介绍了研究区域及其使用的数据集;第5节展示了土地覆盖分类的结果;第6节对研究结果进行了深入分析和讨论;最后,第7节总结了主要研究发现。
3.方法
多光谱LiDAR数据被用于土地覆盖分类,划分为四个等级类别:建筑物、树木、道路和草地。研究者提出两种独立的分类技术,分别是基于图像的空间分析方法和基于点的三维分析方法。图1展示了分类过程的工作流程。基于图像的分类方法是通过从LiDAR数据中提取高程和强度信息来实现的。具体而言,从三个不同的波长获取的强度数据被分别生成为三个强度图像。同时,从高程数据中生成了数字高程模型(DSM)。将这三个强度图像与DSM进行融合处理。基于点的分类方法则直接应用于三维点云数据。首先,对LiDAR点进行多通道融合处理,并对每个LiDAR点分配三个强度值。接着,通过地面过滤技术将点云数据分为地物点和地面点。然后,基于这三个强度值计算光谱指数,将地物点划分为建筑物和树木,将地面点划分为道路和草地。研究者将这两种分类技术分别应用于原始LiDAR强度数据和经过辐射校正的LiDAR强度数据。为了验证分类结果的准确性,研究团队采用了与原始LiDAR数据获取系统同时获取的航空图像作为参考。在验证过程中,采用了总体准确度、生产者准确度、使用者准确度以及Kappa统计学等多指标进行评估。

3.1. 基于图像的分类技术
基于LiDAR点云数据生成光栅图像的工作流程如下。首先,从不同波长的强度记录值中分别生成三个强度图像。其次,利用点的高程信息创建高度图像(即数字高程模型,DSM)。选取的像素单元尺寸设定为两倍的平均点间距,即1米,以确保每个单元内有足够的点数。通过计算每个像素内所有点的平均强度值或海拔高度,并将其赋值给对应的像素。随后,采用3x3的移动平均窗口填补生成图像中的像素空隙[31]。接着,将两个波段的强度图像进行叠加处理,包括结合三个波长的强度图像(组合强度波段)和带有DSM的强度图像(组合强度波段与DSM)。在研究区范围内,根据航空图像划分四个等级的训练区域,并为每个等级生成相应的光谱特征。值得注意的是,某些类别由不同光谱特性的样本组成,以反映光谱属性的多样性。例如,建筑类由不同屋顶颜色的样本组成,包括白顶、灰顶和红顶。此外,树木类还包括具有不同绿度值的树种。最后,通过最大似然分类器进行监督分类。该分类器考虑了每个像素/点属于特定类别的概率,以实现分类目标。
3.2. 基于点的分类技术
点分类技术分为四个阶段,其在三维点云处理中得到直接应用。首先,不同通道的点云数据被整合,每个点的强度参数被精确估计。其次,通过地面过滤技术,依据海拔信息将点云分为地面点和非地面点。第三,基于各通道记录的强度参数,计算出非地面点和地面点的NDVI值。最后,采用 Jenks 自然断裂优化方法确定阈值,随后将 LiDAR 点进行分类处理。关于该方法的详细说明,将在后续章节中进行介绍。
3.2.1. 多波段LiDAR点的合并
在相同的覆盖范围内,不同波长的强度值具有关联性。然而,通过整合这些点云并预测每个单点在所有波长下的强度值,可以显著提升现有数据的密度和可靠性。尽管Optech Titan在同一时间处理三个波长,但其三个通道以不同角度采集LiDAR数据。因此,在同一物体的不同通道中采集的点可能不会完全重合于同一位置。三维空间连接技术为整合所有通道的点提供了一个潜在的解决方案,其中将一个通道的点强度值分配给另一个通道的最近点[26]。然而,这种技术可能导致点之间的不正确匹配,如图2所示。案例(1)展示了通道C2和C3之间的完美匹配。案例(2)中,通道C2的一个点可能与通道C3的两个不同点匹配两次,因为这个点是这两个点的最近邻居。案例(3)显示了两个可能的来自C2的邻接点,它们与来自C3的一个点有相同的距离。情况(4)表明,在预定半径的球体内,没有来自C2的邻接点与来自C3的一个点。因此,每个点的强度值不能与邻近点的强度值相同。第三步,根据各通道记录的强度值计算出非地面和地面点的NDVI值。第四步,使用Jenks自然断裂优化方法来定义阈值,随后将LiDAR点聚类为不同的类别。该技术的更多细节将在以下几个小节中解释。

在文献[29]中,作者提出了一种新的方法来整合来自三个通道的LiDAR数据。具体而言,每个通道的LiDAR数据被划分为单元格大小为1米的网格。在每个单元格内,所有点的平均强度值被计算并分配到单元格中心位置。接着,利用网格单元的平均强度值计算出三个光谱指数的网格数据。随后,通过基于点位置的光谱指数网格进行双线性插值,将三个光谱指数的值内插至每个LiDAR点,其中相邻单元中心用于计算插值系数。最后,整合包含三个光谱指数的LiDAR点进行土地/水识别和土地覆盖分类,这一研究过程在图3中进行了详细展示。

在进行土地/水域区分时,这种方法在实际应用中是可接受的,但在对地形进行分类时,若将其划分为不同的土地覆盖类型,则会引入分类错误。这种现象主要由两个方面引起。首先,基于网格单元内各点的平均强度值。这些点可能同时属于或不属于同一类土地覆盖,因此,一个单元格可能代表多个不同的土地覆盖类型。其次,通过双线性插值方法获取3D点的光谱值。然而,由于多个返回点的光谱值被错误地归为同一类别,例如来自树冠和树下裸土的点被错误地分配了相同的光谱特征值。因此,在精确预测一个点的强度值时,需要从相邻通道的点中计算出一个代表值。本研究中,点合并的具体方法如下。

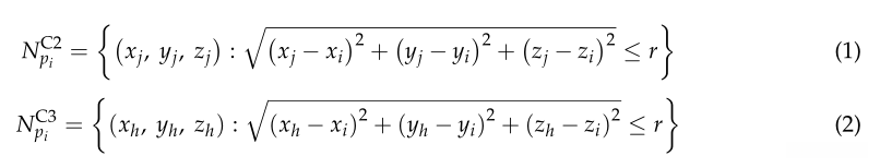
设pi、pj、ph分别代表C1、C2、C3中的点;其中i=1,2,3,…,nC1;j=1,2,3,…,nC2;h=1,2,3,…,nC3。nC1、nC2和nC3分别是在C1、C2和C3中采集的LiDAR点的总数。每个通道中的LiDAR点首先通过K-d树数据结构进行组织,以便实现高效的多维范围搜索。分别来自C2和C3中的pi的相邻点NC2pi和NC3pi,通过预设的搜索半径范围®在预定义的搜索区域内进行获取,如下所述:


r值达到1m,符合两个条件:一是拥有足够的点,二是不包含来自不同特征的点。强度值C2和C3分别计算自C2和C3的pi值,重新计算一次。


中值强度值被用来消除任何强度数据噪声。当无法找到相邻点时,强度值将被赋值为零值。等式 (1)-(4) 被应用于 C2 中的任意点 pj,从而获得相邻点 NC1pj 和 NC3pj,以及分别来自 C1 和 C3 的强度值 IC1pj 和 IC3pj。同样的方法适用于 C3 中的任意点 ph,其相邻点 NC1ph 和 NC2ph 以及强度值 IC1ph 和 IC2ph 分别来自 C1 和 C2。LiDAR 点被组合,重复的点 (nd) 被 MATLAB 函数“unique”去除,而唯一的 xyz LiDAR 点被识别并用于分类过程;这样总点数(N)=nC1+nC2+nC3-nd,每个 LiDAR 点具有六个属性:x、y、z、IC1、IC2 和 IC3。
3.2.2.地面滤波
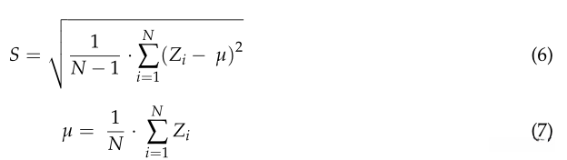
地面过滤的目的是通过图 4 中展示的决策规则将非地面点与地面点区分开来。在进行这一过程时,将基于偏度平衡的统计分析算法应用于点的高程。自然测量的数据通常遵循正态分布[32]。基于这一假设,可以推断在LiDAR数据中收集的地面点遵循正态分布,而其他非地面点(如物体)可能会干扰这一分布[33,34]。通过从LiDAR数据中去除这些非地面点,即可得到地面点。高阶矩,如偏度,可以用来表征LiDAR点的分布。偏度(Sk)的定义为:

其中,N代表LiDAR点的总数。Zi表示高程,其中i取值为1到N。S和µ分别代表标准差与高程的算术平均值,分别由公式(6)和(7)定义。

将点云的高程值按升序排列,随后通过公式(5)计算所有点的偏度值。当计算出的偏度值大于零时,将具有最高高程值的点移除并归类为非地面点。继续计算剩余点的偏度值,并重复上述步骤,直至点云的偏度平衡度(Sk)达到零。处理完毕后,剩余的点被归类为潜在的地面点,并假设这些点的高程变化在可接受的范围内。输出分离的标准是基于LiDAR点与其相邻点之间斜率变化的测量结果,用于进一步细化地面点的分类。通过设定斜率阈值(S_thrd),斜率超过该阈值的点被标记为非地面点。对筛选出的地面点进行网格划分,以去除局部高程异常点。在每个网格区域内,计算所有点的最小高程值(Z_min),并应用高程筛选阈值(E_thrd)。

3.2.3. NDVI 计算
NDVI 值的计算方法与 [35] 中定义的强度数据类似,如下所示:

其中,MIR、NIR和G分别代表MIR、NIR和绿色波段处的强度值。NDVI值落在-1到1之间。然而,当一个点在两个通道中的强度值均为零时,NDVI将无法计算,因此该点将被标记为未分类点。
3.2.4.数据聚类
Jenks自然间断优化算法被用于确定阈值(NDVI_thrd),以便通过基于NDVI值的LiDAR点聚类实现对不同地物类型的区分[36]。该方法的核心目标在于通过最大化类间方差与类内方差的差异,实现对地面点和非地面点的精准分类。具体而言,设定NDVI值的范围为[a, ..., b],其中-1 ≤ a < b ≤ 1,且阈值(NDVI_thrd)也被限定在此范围内。通过该优化算法,能够识别出能够使类间平方和最大化对应的阈值(NDVI_thrd),从而将非地面点聚类为建筑物和树木,将地面点聚类为道路和草地。

其中,M 被定义为 NDVI 值的平均数。M1 和 M2 分别代表第一类和第二类的平均值。随后,计算 M 的值。接下来,将数据点划分为两个区间:一个区间为 [a, ..., NDVI_thrd],另一个区间为 [NDVI_thrd, ..., b]。分别计算这两个区间的平均值 M1 和 M2。最后,通过式(11)的计算,确定最优阈值 NDVI_thrd。
3.3.辐射校正
辐射校正的主要目标是减少由于系统和环境因素导致的图像质量下降,从而保护激光雷达的有效检测能力。雷达方程 [37] 建立了接收到的激光功率 (Pr) 与系统参数、环境参数之间的数学关系。

其中,Pt代表激光脉冲的能量,Dr表示光斑直径,R是覆盖范围,βt是激光束的宽度,ηsys是系统效率因子,ηatm是大气衰减系数。激光横截面σ由投影目标区域A、激光扫描角θ和被照射表面的光谱反射率ρ共同构成。在本研究中,基于雷达距离方程的辐射校正模型被采用,通过保持R、A和θ不变,将Pr值转换为ρ值,从而消除系统相关失真。入射角θ被定义为激光束与物体表面法线之间的角度[11],或者由表面斜率和扫描角共同决定的入射角[11]。关于辐射校正模型的详细信息,可参考文献[11,13]。
4.研究区域和数据集
位于加拿大安大略省奥沙瓦市的研究区,于2014年9月3日进行的飞行任务中,通过Optech Titan多光谱LiDAR传感器捕获单个条带的LiDAR点。该系统在1075米高度、±20°的扫描角度以及200千赫/通道的脉冲重复频率下运行了三个通道,从而捕获了LiDAR点频率和40赫兹的扫描频率。每个通道的平均点密度为3.6/m²,点间距约为0.5米。所获取的数据包括轨迹位置数据,以及每个通道的LAS文件格式(LAS)中带有多个返回(最多4个返回)的带时间标记的三维点云。这些LAS数据文件包含每个LiDAR点的xyz坐标、原始强度值、扫描角度和GPS时间信息。
LiDAR 条带中的一个子区域被裁剪为550米乘以380米的区域,用于测试目的。研究区域涵盖了地面上多种类型的地物特征,包括建筑设施、道路、停车场、灌木丛、树木以及草地覆盖的空地。在测试过程中,来自C1、C2和C3三个通道的点数分别为712,171、763,507和595,387个。不同通道记录的点数变化反映了不同波长下陆地物体相互作用的特性,例如植被的绿色度。同时获取的航拍图像与LiDAR数据实现了地理对齐,用于验证土地覆盖分类的准确性,如图5所示。

因为3D参考点无法获取,我们采用了多边形来提取每个类别(如建筑、树木、道路和草地)的参考点。在类别图上绘制的多边形内部的所有点,包括道路、草地或建筑,都被归类为同一类别,而树顶部分则被用作参考点。各类的总得分为45618分,具体分布情况可见表2。

5. 土地覆盖分类结果
研究区域划分为四种土地覆盖类型:建筑物、树木(包含树木和灌木)以及道路系统(包括沥青面、停车场和裸土)和草地类型(包括绿草和干草以及湿地)。通过预设的多边形内部设置多个参考点来进行精度评估。首先,围绕研究对象的中心进行数字化处理,以避免混淆。在采用图像分类技术时,可能会因混合像素而导致。随后,多边形内部的所有点均通过地理参考航拍图像进行标注。最后,构建混淆矩阵并计算包括总体准确度、生产者准确度和用户准确度在内的准确性指标,同时计算Kappa统计量。
5.1.基于图像的分类结果
LiDAR 点云数据基于强度值(分别来自三个通道的 C1、C2 和 C3)生成三个光栅图像,同时结合高程数据(即 DSM)生成高程光栅图像,其空间分辨率设定为1 m,如图 6 所示。将三个强度光栅图像叠加,生成组合强度带 (CIB) 和 DSM 光栅图像 (CIBs_DSM)。图 7a 展示了 CIB 的假彩色合成效果,呈现为红色的 C1、绿色的 C2 和蓝色的 C3;图 7b 则展示了 CIBs_DSM 的假彩色合成效果,呈现为红色的 DSM、绿色的 C3 和蓝色的 C2。识别不同类别训练特征后,将最大似然分类器应用于这两个波段组合。图 7c、d 展示了未/含 DSM 的组合强度带的分类结果。表 3 和表 4 呈现了两种情况下的混淆矩阵、总体准确度和总体 kappa 统计量。其中,CIBs 的总体准确度和 kappa 值分别为 77.3% 和 0.675,CIBs_DSM 的总体准确度和 kappa 值分别为 89.9% 和 0.855。




5.2.基于点的分类结果

该技术涵盖地面滤波和NDVI计算方法,分别应用于高程和强度属性。随后,这些点被分组归类到不同的类别中。地面滤波从倾斜平衡机制开始,旨在将地面点与非地面点区分开来。接着,基于坡度变化的机制对地面点进行细化处理。研究发现,每个点相对于周围点的斜率值具有显著差异性;因此,当斜率超过阈值S_thrd=10°时,该点被归类为非地面点。值得注意的是,部分海拔较高的点未能满足这一条件。因此,输出结果被划分为单元格大小为25 m的网格。对于每个网格单元,若高程高于最小高程值3 m(E_thrd=3 m),则该点被归类为非地面点。地面点主要包括道路和草类,而非地面点则包括建筑物和树木类。随后,通过等式(8)-(10)计算NDVI值。表5展示了通过 Jenks break 方法优化后,分别对建筑物与树木和道路与草进行区分时所获得的阈值。植被特征(即树木或草)在NIR、MIR和绿色波长处表现出较强的反射特性。因此,植被点的NDVI计算值显著高于建成区(即建筑物或道路)。对于特定点,若满足NDVINIR-MIR、NDVINIR-G或NDVIMIR-G均小于NDVI_thrd,则该点的覆盖类型归类为建筑物或道路类;否则,归类为树木或草类。图8展示了基于三个NDVI指标的三维分类点云图。表6-8提供了三种情况下的混淆矩阵、总体准确度和Kappa统计量。





在两个主要来源的错误影响下,该算法的分类精度得到了显著提升。在强度预测期间,对于任何给定的点,若其搜索半径内未找到相邻点,则该点的强度值将被设定为零。该点的NDVI值将不再是一个有效的数字,而是标记为未分类点。表6-8中,错误分类情况以灰色背景高亮显示,其中,地面点(如道路或草地)被错误分类为非地面点(如建筑物或树木),反之亦然。
5.3.辐射校正对分类精度的影响
LiDAR强度数据经过系统衰减(涉及范围和扫描角度)的校正。通过公式(12)和(13)计算每个LiDAR点的ρ值。随后,基于三个通道生成校正后的强度图像,并采用图像分类方法重复分类流程。采用LiDAR强度数据进行辐射校正,整体精度提升约1.7%;而引入DSM(数字表面模型)时,精度提升幅度降至0.6%。与基于点的分类技术相比,辐射校正的LiDAR点采用了相同流程,但整体准确率未见显著提升。这可能源于LiDAR数据仅在狭窄的扫描角度下获取。
6. 讨论
从整体来看,分类结果证实了利用多光谱激光雷达数据将地形划分为四类的能力,具体包括建筑、树木、道路和草地。基于图像和基于点的分类技术分别达到了89.9%和92.7%的总体分类准确率。先前的研究在相同的四个土地覆盖类别中获得了85%至89.5%的总体分类准确率。他们结合了多光谱航空/卫星图像和来自LiDAR数据[5,6],或者来自LiDAR高度和强度数据[7-9]生成的nDSM进行分类。而本研究仅使用LiDAR数据开展工作。多光谱LiDAR数据的可用性使得对多光谱航空/卫星图像进行分类的必要性得以消除。图9总结了两种分类技术所获得的总体准确率。

特别值得注意的是,实证分析表明,将LiDAR强度与高程数据相结合具有重要意义。通过将DSM与强度图像融合,整体分类精度显著提升,较DSM单独使用时提升了12%以上。具体可见图7c,其中用红色矩形标注的研究区域部分像素被错误分类为高植被。此外,在DSM融合后,如图7d所示,许多原本被误判为建筑物的路面像素得到了纠正,这些区域被正确归类为低植被或道路。引入DSM后,生产者与用户的分类准确率均得到显著提升。具体而言,生产者对建筑、树冠和道路类别的分类准确率分别提高了29.7%、9.1%和13.3%。同时,用户对树冠和道路分类的准确率分别提升了15.4%和28.8%。
基于点的分类技术在土地覆盖分类中产生了多种整体精度。采用 NDVINIR-MIR、NDVINIR-G 和 NDVIMIR-G 算法时,其总体准确度分别为 77.8%、92.7% 和 88.0%。如前所述,未分类点和地面过滤是导致分类错误的两大因素。未分类点的误差范围为 0.0至2.3%,而地面过滤的误差范围则为 0.0至4.4%。
在对单一类别进行关注时,约35.6%的树点未被捕获(生产者准确率为64.4%),当采用NDVINIR-MIR时,这些点被错误分类为建筑物。这种遗漏导致建筑物类别的错误分类率约为37%(用户准确率为63%)。这主要与植被的水分含量有关,其中,干燥植被在C1 [38]中显示出较高的强度值。因此,NDVINIR-MIR生成的值较低,导致树点被错误分类为建筑物。类似地,约19.7%的草地点未被捕获(生产者准确率为80.3%),主要归类为道路区域。此外,当分别采用NDVINIR-MIR和NDVIMIR-G时,约31.1%和14.5%的道路点被错误分类为草地区域。
此外,采用 NDVIMIR-G 方法时,约 20.7% 的建筑物点被误判为树木,其中生产者准确度达到 79.3%。这一现象主要由某些屋顶材料在 C1 指标中显示出显著的强度值所引起,导致 NDVIMIR-G 的应用范围扩大,从而引发分类错误。通过这种误判,树类分类的错误率约为 14.4%,用户准确度维持在 85.6%。
然而,尽管先前的研究表明辐射校正和归一化处理可能改善强度均匀性[11-13],但在本研究中并未观察到这一现象。这主要归因于本研究中使用的多光谱 LiDAR 数据是通过窄角扫描获取的,而上述研究中的 LiDAR 数据采用的是宽角扫描。这种数据采集方式导致了显著的能量损失,尤其是在接近扫描线边缘的区域。此外,目标相关参数,包括目标到传感器的距离、目标尺寸、激光入射角以及目标表面的照度,对 LiDAR 强度数据的影响与先前研究的情况不同。另一个主要原因是与数据采集相关的环境参数,如气溶胶、瑞利散射、气溶胶吸收以及大气衰减,在研究区域内保持不变,因此它们对 LiDAR 强度数据的影响与以前的研究情况基本一致。Optech Titan 传感器的三个通道特性由其内部传递函数的特性使得,其中记录的信号强度是线性且稳定的。因此,得益于信号传输特性,未出现明显的能量损耗。因此,在类似条件下可能无需进行辐射校正处理。
7. 结论
本研究探讨了多光谱LiDAR数据在城市地区土地覆盖分类中的应用。多光谱数据由Optech Titan传感器收集,该传感器在1550 nm、1064 nm和532 nm三个波长范围内运行。通过两种分类方法将多光谱LiDAR数据划分为建筑、树木、道路和草地四种类别。第一种方法是基于图像的分类,其中将LiDAR强度和高度数据转换为图像数据。叠加了两个波段组合,包括三个强度图像的组合以及与数字高程模型(DSM)的结合。然后应用最大似然分类器对两个波段组合进行分类。该方法仅依赖LiDAR强度数据,实现了约77.32%的总体分类准确率。当结合DSM和LiDAR强度数据时,分类准确率提升至89.89%。
第二种技术基于点分类方法,通过将三个通道中的3D LiDAR点进行组合,并将每个LiDAR点的三个强度值作为预处理阶段进行处理。随后,采用倾斜平衡和基于斜率变化的地面滤波方法,将LiDAR数据划分为地面点和非地面点。接着,计算NDVI,并使用 Jenks分类法优化阈值,将地面点聚类为道路和草地,将非地面点聚类为建筑物和树木。在使用NDVINIR-MIR、NDVINIR-G和NDVIMIR-G时,该方法分别达到了77.83%、92.70%和88.02%的总体准确度。基于雷达距离方程的物理模型用于强度数据的辐射校正,修正过程考虑了系统参数和地形因素的影响。值得注意的是,经过辐射校正后,对土地覆盖分类结果的影响不显著。该研究展示了多维LiDAR数据(强度和高度)在分类性能上的优势,相较于单维LiDAR数据(强度或高度)。
[1]Morsy, Salem, Ahmed, et al. Sensors, Vol. 17, Pages 958: Multispectral LiDAR Data for Land Cover Classification of Urban Areas. 2017.
参考文献
基于机载激光雷达数据,研究者们致力于城市土地覆盖分类方法的开发。
