深度之眼--图像分割第三周SegNet
对称编码解码器网络SegNet
-
-
-
- 1.编码器解码器和反池化
-
- 2.SegNet论文中的figure2
- 3.CamVid数据集测试结果
-
1.编码器解码器和反池化
encoder编码:采用下采样的方式,逐步提取浅层到深层特征信息,其中浅层特征图更著更分割局部边缘信息,深层特征图具有更大的感受野,有利于获取全局信息,获取详细的语义信息。
decoder解码:采用上采样的方式,把encoder阶段获取到的特征图重新恢复到高分辨率,目的是从全局获取一些更精准的信息。解码器网络的作用是将低分辨率编码器特征映射映射到全输入分辨率特征映射,并用于逐像素分类,恢复浅层网络层的分割精度。
所谓编码,就是将输入序列转化成一个固定长度的向量;解码就是将之前生成的固定向量转化成输出序列,通过逐步恢复空间信息来捕获更清晰的对象边界。
上采样(Upsampling)
上采样指的是任何可以让你的图像变成更高分辨率的技术,反卷积和反池化都是上采样的一种。几乎都是采用内插值方法,即在原有图像像素的基础上在像素点之间采用合适的插值算法插入新的元素。最简单的方式是重采样和插值:将输入图片进行放大到一个想要的尺寸,而且计算每个点的像素点,使用双线性插值等插值方法对其余点进行插值来完成上采样过程。

反池化(Unpooling)
Unpooling是在CNN中常用的来表示max pooling的逆操作,是论文《Visualizing and Understanding Convolutional Networks》中产生的思想,下图示意:
对比上面两个示意图,可以发现两者的区别在于:
1.UnSampling阶段没有使用MaxPooling时的位置信息,而是直接将内容复制来扩充Feature Map。
2.UnPooling的过程,特点是在Maxpooling的时候保留最大值的位置信息,之后在unPooling阶段使用该信息扩充Feature Map,除最大值位置以外,其余补0。
2.SegNet论文中的figure2
SegNet基于FCN,修改VGG-16网络得到的语义分割网络,使用encoder-decoder模型:
Seg Net体系结构的说明:是一个由预训练的VGG16网络特征提取层作为编码器和对应的解码器形成的对称全卷积网络,由中间绿色pooling层与红色upsampling层作为分割,左边是same卷积提取高维特征,并通过pooling使图片变小,右边是upsampling与卷积,通过upsampling(反池化)使图像变大,反卷积使得图像分类后特征得以重现(使池化后稀疏的特征变密集),最后通过Softmax,输出不同分类的最大值。
优点:仅在训练好的模型上进行前向计算便可得到平滑的像素级预测;解码器使用了在相应编码器的最大池化步骤中计算的池化索引来执行非线性上采样。这种方法消除了学习上采样的需要。经上采样后的特征图是稀疏的,因此随后使用可训练的卷积核进行卷积操作,生成密集的特征图。SegNet的效率更高,因为它只存储特征映射的最大池化索引,并在其解码器网络中使用它们以获得良好的性能。
3.CamVid数据集测试结果
使用vgg_bn预训练网络的代码如下:
vgg16_pretrained = models.vgg16_bn(pretrained=True)
def decoder(input_channel, output_channel, num=3):
if num == 3:
decoder_body = nn.Sequential(
nn.Conv2d(input_channel, output_channel, 3, padding=1),
nn.BatchNorm2d(output_channel),
nn.ReLU(inplace=True),
nn.Conv2d(output_channel, output_channel, 3, padding=1),
nn.BatchNorm2d(output_channel),
nn.ReLU(inplace=True),
nn.Conv2d(output_channel, output_channel, 3, padding=1),
nn.BatchNorm2d(output_channel),
nn.ReLU(inplace=True)
)
elif num == 2:
decoder_body = nn.Sequential(
nn.Conv2d(input_channel, output_channel, 3, padding=1),
nn.BatchNorm2d(output_channel),
nn.ReLU(inplace=True),
nn.Conv2d(output_channel, output_channel, 3, padding=1),
nn.BatchNorm2d(output_channel),
nn.ReLU(inplace=True)
)
return decoder_body
class VGG16_deconv(torch.nn.Module):
def __init__(self):
super(VGG16_deconv, self).__init__()
pool_list = [6, 13, 23, 33, 43]
for index in pool_list:
vgg16_pretrained.features[index].return_indices = True # pooling层可以返回索引值
self.encoder1 = vgg16_pretrained.features[:6]
self.pool1 = vgg16_pretrained.features[6]
self.encoder2 = vgg16_pretrained.features[7:13]
self.pool2 = vgg16_pretrained.features[13]
self.encoder3 = vgg16_pretrained.features[14:23]
self.pool3 = vgg16_pretrained.features[23]
self.encoder4 = vgg16_pretrained.features[24:33]
self.pool4 = vgg16_pretrained.features[33]
self.encoder5 = vgg16_pretrained.features[34:43]
self.pool5 = vgg16_pretrained.features[43]
self.decoder5 = decoder(512, 512)
self.unpool5 = nn.MaxUnpool2d(2, 2)
self.decoder4 = decoder(512, 256)
self.unpool4 = nn.MaxUnpool2d(2, 2)
self.decoder3 = decoder(256, 128)
self.unpool3 = nn.MaxUnpool2d(2, 2)
self.decoder2 = decoder(128, 64, 2)
self.unpool2 = nn.MaxUnpool2d(2, 2)
self.decoder1 = decoder(64, 64, 3)
self.unpool1 = nn.MaxUnpool2d(2, 2)
self.decoder0 = nn.Conv2d(64,12, 1)
def forward(self, x): # 3, 352, 480
encoder1 = self.encoder1(x) # 64, 352, 480
output_size1 = encoder1.size() # 64, 352, 480
pool1, indices1 = self.pool1(encoder1) # 64, 176, 240 池化层返回值为pool输出特征图和索引
encoder2 = self.encoder2(pool1) # 128, 176, 240
output_size2 = encoder2.size() # 128, 176, 240
pool2, indices2 = self.pool2(encoder2) # 128, 88, 120
encoder3 = self.encoder3(pool2) # 256, 88, 120
output_size3 = encoder3.size() # 256, 88, 120
pool3, indices3 = self.pool3(encoder3) # 256, 44, 60
encoder4 = self.encoder4(pool3) # 512, 44, 60
output_size4 = encoder4.size() # 512, 44, 60
pool4, indices4 = self.pool4(encoder4) # 512, 22, 30
encoder5 = self.encoder5(pool4) # 512, 22, 30
output_size5 = encoder5.size() # 512, 22, 30
pool5, indices5 = self.pool5(encoder5) # 512, 11, 15
unpool5 = self.unpool5(input=pool5, indices=indices5, output_size=output_size5) # 512, 22, 30 反池化传入参数(特征图,索引,输出大小)
decoder5 = self.decoder5(unpool5) # 512, 22, 30
unpool4 = self.unpool4(input=decoder5, indices=indices4, output_size=output_size4) # 512, 44, 60
decoder4 = self.decoder4(unpool4) # 256, 44, 60
unpool3 = self.unpool3(input=decoder4, indices=indices3, output_size=output_size3) # 256, 88, 120
decoder3 = self.decoder3(unpool3) # 128, 88, 120
unpool2 = self.unpool2(input=decoder3, indices=indices2, output_size=output_size2) # 128, 176, 240
decoder2 = self.decoder2(unpool2) # 64, 176, 240
unpool1 = self.unpool1(input=decoder2, indices=indices1, output_size=output_size1) # 64, 352, 480
decoder1 = self.decoder1(unpool1) # 64, 352, 480
x = self.decoder0(decoder1)
return x

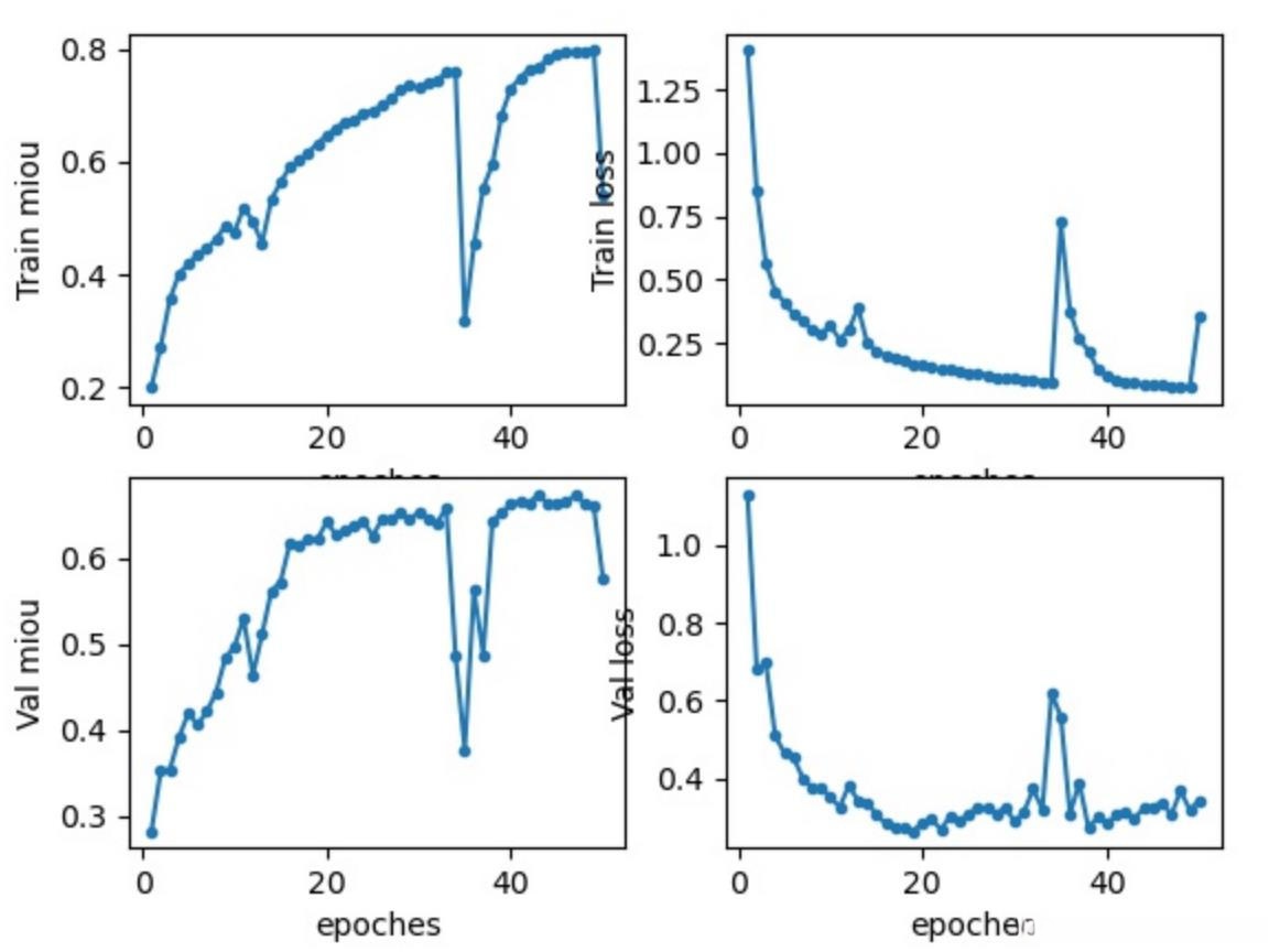
实验过程使用SegNet模型(特征提取层为预训练的VGG16),对CamVid数据集进行了50轮的训练。在43轮得到了loss收敛到最小的结果。
测试结果如图:
