【图形学基础】光栅图
【图形学基础】光栅图
文章目录
图形学基础
图形学基础
图形学基础
-
3. 图片,像素,几何
-
- 3.1. 像素值
- 3.2. 显示器光强与伽马
-
4. RGB颜色
前言
本文内容为个人通过阅读《Fundamentals of Computer Graphics》这本书 by Steve Marschner & Peter Shirley进行了总结的内容与笔记。一方面是为了促使自己巩固知识并定期复习;另一方面则是为了将这份资料分享给同样对图形学感兴趣的朋友作为简明扼要的参考。
此文对应原书的第[3]章:Raster Image
图形学对于笔者而言一直是一个极具挑战性的入门领域,在大学期间学习过程中我也曾尝试过个人整理的知识体系较为零散,并未形成系统的知识架构。受限于教师的教学方式与内容安排,在此阶段的学习效果并不十分理想。尽管如此目前仍存在诸多疑惑与不解。为了进一步提升专业能力我也通过坚持撰写技术博客来激励自己向图形渲染引擎开发及游戏引擎等领域迈进
1. 初识光栅图
光栅图(Raster Image) :光栅图主要通过矩形网格结构来展示图像信息。该方法中的每个元素对应一个像素(pixel),而pixel是picture element(缩写)的意思。例如常见的显示器通常是这样工作的:它们由许多小灯泡排列成一个二位数组构成。
2. 光栅设备
光栅设备的类型 :
- 输出方式:
- 呈现方式 * 传递方式:LCD, Liquid Crystal Display
- 显示方式:LED, Light-emitting Diode
打印技术中的二元(黑白)形式通常采用喷墨技术(Ink-jet Technology)。彩色打印应用中常用的是热升华(Dye Sublimation)打印机。
- 输入型 * 二维数字传感器 :数字相机(Digital Camera)
- 一维数组传感器 :平面扫描装置(Flatbed Scanner)
(光看这些你肯定一头雾水,下面会对每一种类型进行讲解)
2.1. 展示型光栅设备
Emissive(放射型):Emissive设备较为直观易懂。其由大量具有发光能力的半导体(LED)构成二维阵列结构;具体而言,在该装置中每个像素单元都具备独立发光功能的小单元。
- LDE显示屏 :LDE显示装置是一种放射状排列的设备,在其每个像素单元中均布着三个独立的LED灯组组合而成。这种设计使得每个像素单元能够分别发出红、绿和蓝三色光

传输型(Transmissive) :通常配备一块持续稳定的光源底板的设备被称为传输型设备,在其前方设置屏障和平移光束技术以便将光线以精确强度与色彩投射至指定工作区域
LCD显示屏 :LCD显示屏由背景光,后侧偏光器,液晶,前侧偏光器构成
背景光 :一块持续,均匀发光的背景板

后侧偏光器:一种依附于背景光的偏振元件,在水平方向透射光线而在垂直方向阻止光线

液晶 :液晶可以根据电压来偏移光线的角度

前侧偏光器:位于外部边缘的偏振片,在垂直方向上能够透射光线,在水平方向上则被阻挡。

本节重点讲解了LCD显示屏对光线的管理机制。
首先,背景板发光
全方位的光线通过后侧偏光器,仅留下水平方向的光线通过
通过调节电压值的变化,并未使液晶发生光偏移现象
在第一种情况下,在没有受到任何光线偏振影响的情况下,在到达前级调制元件之前的所有路径中……因此,在这种情况下……该像素将呈现零亮度的状态

另一种情况是LCD使入射光发生偏振。当光线照射到前向极化器时,在水平和垂直方向之间形成特定的角度。部分光线能够穿过前向极化器,在该像素中其亮度则处于未开启与最大值之间的某个位置

第三种情况中,液晶发生90度转向,在光线到达前侧滤光片时形成直角入射状态,从而使得该像素能够通过垂直方向的滤光片并达到最大亮度值

2.2. 硬拷贝型光栅设备
二元类型(Binary):该设备将输出像素点序列;其对应的像素值只能取0或1;操作结果包括两种情况:一种是填充指定颜色;另一种是未填充。
- 喷墨打印机 是一种常见的二进制光栅设备,在其工作过程中通过精确控制打印头的位置与压力实现打印效果。这种设备的特点是每次打印操作都是一个固定的微小动作:要么完成一次精准的打印操作(即打上一层微小的墨滴),要么完全没有动作(即完全不进行任何打印)。因此不会出现仅此一次或者多次的情况发生。
此外在具备颜色功能的情况下彩色打印机通常配备有多个独立的功能部件每个部分分别负责不同的颜色输出从而实现多色打印的效果。

连续色调调节装置(Continuous Tone) :与二元类不同的是连续色调调节装置,在这种装置中能够决定一个像素点的色调密度(或者更为准确地说是颜料的密度)。
- 热升华打印机 :不具备自行喷涂颜料的功能。
但配备了一个带有温度调节装置的线性加热打印头(如图所示)。
其关键在于夹持于打印头与底稿之间的彩色载体材料。
根据不同的加热程度…将色彩转移到基底纸上

输入式 二维数字阵列传感器:数字成像设备(Digital Camera) 一维数字阵列传感器:台式扫描系统(Flatbed Scanner)
2.3. 输入型光栅设备
二维感光阵列传感器:该传感器集成一个二维感光半导体阵列用于接收光线
数字成像装置:数字成像装置中的矩阵排列光接收元件在接收到入射光线后会捕获并分解光线信号为二维的像素点序列;随后该装置利用内建滤光片分离并保留主要颜色成分即红绿蓝三种基本色光
一维数组传感器 :它模仿这种打印机的工作模式,在每一行中分别应用红、绿、蓝三个独立的一维光栅对光线进行筛选,并最终记录下经过筛选后的光线信息
3. 图片,像素,几何
图片的生成:通过分析输出型成像模块的工作原理可知,在实际应用中,一张二维图像实际上经历了如下的转换过程:光线 -> 传感器 -> 平面。
离散的像素:由于计算机无法直接呈现光线的连续变化,在二维空间中表示颜色时我们需要使用采样的方法。即通过像素点来离散地表示颜色。
3.1. 像素值
Pixel Values: Despite pixels existing in a discrete form, precise numerical values are essential to ensure accurate color representation. Regardless of whether the image is a grayscale (which uses one value to represent intensity) or a color image (which employs red, green, and blue values), different pixel value types can produce varied visual outcomes.
LDR与HDR :
- LDR(Limited Dynamic Range) :即像素值以整数值表示
- HRD(Wide Dynamic Range) :即像素值以浮点数值类型表示
像素值格式 :
- 单色黑白图像:在数字图像中无法呈现中间色调
- 8位RGB整型:数字图像数据的基础类型之一,在电子邮箱等简单应用中使用
- 8或10位RGB整型:标准彩色像素表示方法,在常规网页显示中应用广泛
- 12或14位RGB整型:适用于日常相机拍摄的照片质量
- 16bit RGB整型:专业摄影与打印领域中的标准配置
- 单色灰度图:在医学影像等领域发挥重要作用
- 16bit RGB单精度浮点:适合实时渲染技术的应用场景
- 32bit RGB双精度浮点:在影视制作与高级图像处理中使用
瑕疵(Artifacts, Artificially Introduced Flaws) :减少像素值的格式设置可能会导致图片出现瑕疵,并在图形学领域中我们常用称为Artifacts
- 裁剪(Clipping) :在像素格式无法精确表示某种颜色时(例如阳光下的高光区域通常会呈现过亮的效果),该区域的像素值会被相应地进行裁减。
- 量化错误(Quantization Error) :当像素格式的精度不足以准确表示颜色时(如静止图像场景下),颜色信息会被近似到可用范围内,在这种情况下不会对视觉效果造成显著影响;然而在动态图像或动画场景中则可能产生明显的质量下降。
3.2. 显示器光强与伽马
显示器的光强(Intensity):对于每个像素值而言,在显示过程中都会被转换为相应的光强值;从而使人在视觉上能够识别出不同的颜色;而人眼所见到的所有事物本质上都是由光线构成的。
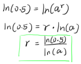
非线性变换:受不同显示器的影响,在实际应用中,并不能保证输出亮度与输入像素值呈严格线性关系;大多数情况下,则是通过引入伽马校正(Gamma Correction)参数来调节输出亮度(如图所示)。公式中使用I代表最终亮度(I),Max_I表示最大亮度,并且\gamma用于表示伽马校正系数)。

伽马校正(Gamma Correction):针对不同显示设备的特点,在选择适合设备的Gamma值时可采用Gamma矫正方法的具体操作步骤通常包括以下内容:首先建立测试图像库;其次对每个图像应用Gamma曲线拟合;最后计算最佳Gamma参数。
首先让最终光强为“中间值”,即0.5

随后我们可以列出如下等式

为了获得适当的a值, 我们利用两张连续的图像进行处理: 一张是纯黑色方格图案; 另一张是基于预设a值生成的灰度图像.

随后让用户调整a的值,并从远处观察两个图片的颜色是否契合(站远时黑白格会看起来像灰度图)。
最终得到a后,计算出gamma值
4. RGB颜色
RGB :即Red,Green,Blue三种颜色
颜色混合(Color Mixing) :为了在RGB框架下生成多种颜色,我们主要通过色彩叠加的方式来实现(如同我们在儿童美术课中学到的颜料调配原理)。常见的色彩合成方法包括多种调色技巧(如基础色调搭配与渐变过渡等),这些方法在视觉效果设计中扮演着重要角色。


