Graph Contextualized Self-Attention Network for Session-based Recommendation
发布时间
阅读量:
阅读量
Context-Aware Graph Self-Attention Network for Session-Based Recommendation
本研究主要致力于基于Session的推荐机制研究,在不采用循环神经网络(RNN)和卷积神经网络(CNN)的情况下,探索了自注意网络(SAN)在各序列建模任务中的应用效果。然而SAN缺乏对相邻项目间局部依赖性的捕捉能力,并限制了其在学习序列内部表示方面的表现。为了弥补这一不足,在本文中我们提出了一种基于Graph结构的上下文自注意力模型。通过结合图神经网络与自注意力机制实现推荐系统,在每个Session中利用自注意力机制捕捉长期依赖关系。最后将每个会话表示为该会话全局偏好与当前兴趣的线性组合。

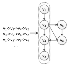
我们用M(I)和M(O)分别表示输入边与输出边的权重连接矩阵,在举例说明的情况下,默认考虑一个Session S = \{s_1,\ s_3,\ s_2,\ s_4,\ s_3\}如图所示:

在构建完成后生成的session图中进行处理后

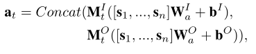
详细说明步骤时,在图会话的时间维度t上, 我们针对每个节点st, 通过其输入边与输出边的权重连接矩阵, 可以将不同节点间的相互信息传播过程表征为:

然后我们采用at和先前的状态s(t-1)作为输入参数,并将其输入到图神经网络中进行计算处理,在此过程中我们能够获得每个item的状态表示

通过将每个Item的表达嵌入到自注意力机制中以更加有效地捕获全局session偏好

对候选对象进行排序评分后,并通过应用softmax函数计算各候选对象的概率值;最后依据计算出的概率值进行推荐决策。
全部评论 (0)
还没有任何评论哟~
