多组学联合分析
多组学(Multi-omics)研究主要致力于探索生物系统内多种物质之间的相互作用机制。随着微生物群落研究领域的持续深入发展,在这一领域内越来越多的研究者倾向于综合运用微生物群落、转录组、蛋白质组以及代谢组等多种分析技术。通过采用物种水平、基因水平以及代谢产物水平等多种组合分析方法共同解析科学研究中的关键问题。从而更加深入地阐明疾病病变的过程及其内部物质代谢途径的变化规律。
16S 检测与代谢组学方法能够在样本微生物类别或丰度与其相应的代谢产物丰度之间建立关联关系。宏基因组与代谢组学之间的关联主要体现在它们在共同的代谢通路中存在功能基因和相应的代谢产物联系。微基生物致力于提供基因组学、代谢组学实验以及数据分析服务,在肠道菌群与其宿主疾病发生发展过程中的研究方面,在人体免疫机制以及肿瘤发生发展的基础研究方面提供多组学联合分析支持工作。
微基生物不仅能够检测粪便样本中的微生物多样性及其生态特征信息,并且还能够检测包括短链脂肪酸和胆汁酸在内的靶向及非靶向代谢物信息;通过整合微生物多样性和相关性状的分析结果来揭示其潜在的功能作用机制。
技术路线

结果展示
**

**
差异物种与差异代谢物相关性分析

RDA/CCA分析

Network 网络分析

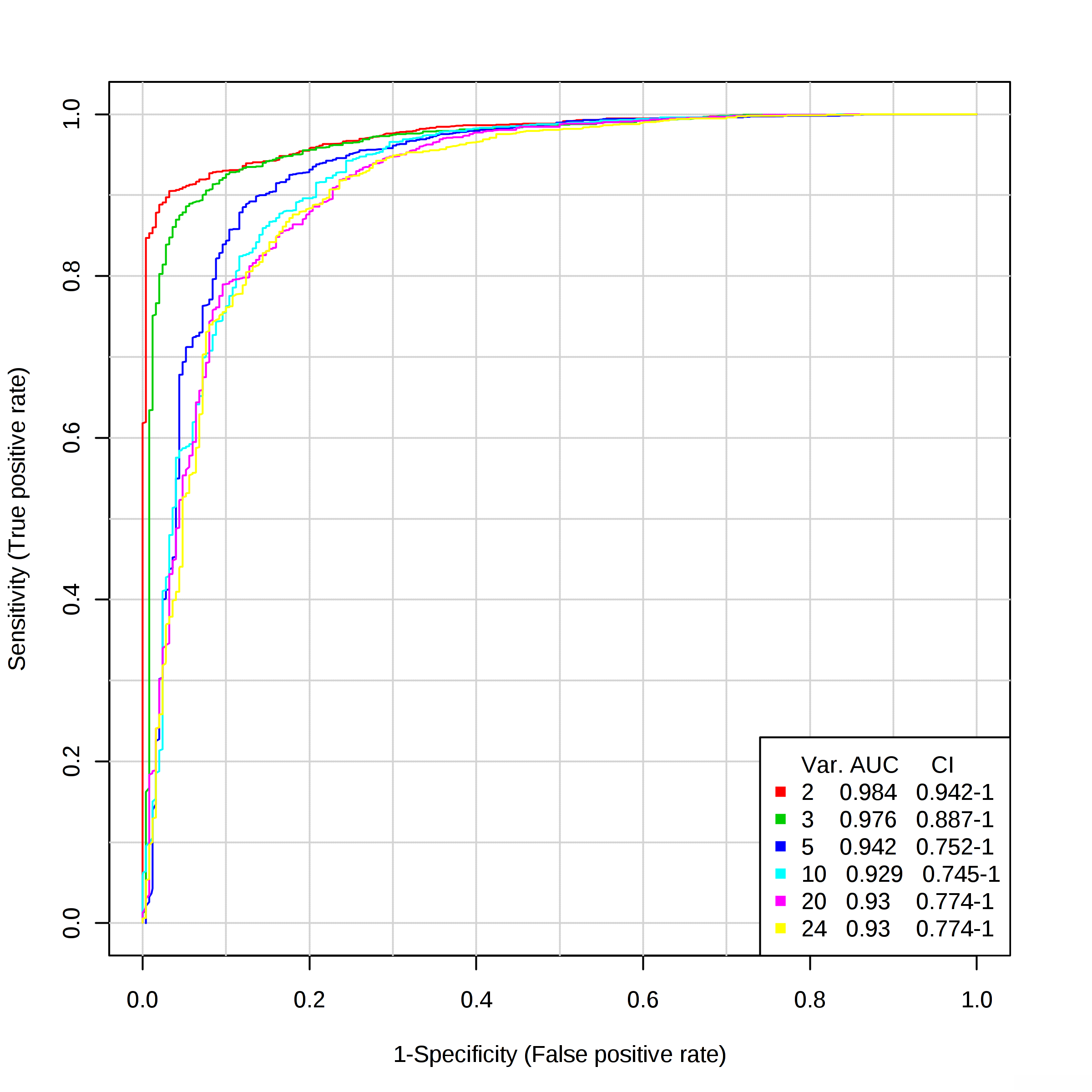
ROC分析
文献解读
文章题目: Omics技术及多重组学方法用于探究微生物次生代谢产物生物合成机制 微生物次生代谢产物生物合成机制的研究综述
Current Opinion in Microbiology (IF: 6.710)
微生物产生的天然产物是生物活性分子的主要来源。高通量(组学)技术的发展有助于我们更深入地了解复杂次级代谢产物的生物合成基因簇(biosynthetic gene clusters, BGCs)表达机制。这些学科组合不仅有助于发现新的抗生素,还可以系统性地探索潜在的新药靶点。

微生物次生代谢产物生物合成的多组学研究
参考文献:Palazzone A, Weber T. Utilizing omics and multi-omics methods to investigate the metabolism pathway of second metabolites within microbial organisms[J]. Current Opinion Microbiol, 2018, 45:109–116.
文章题目:独特的标志:肠道菌群及其代谢物或参与非肥胖性非酒精性脂肪肝病患者的严重的肝纤维化
Nature Communications (IF: 12.121)
主要技术:16S微生物多样性,非靶向代谢组,宏基因组
技术路线:

主要结果:
该疾病最终会导致严重的肝纤维化及其硬化(severe liver fibrosis and cirrhosis)

肥胖/非肥胖受试者肠道微生物多样性比较

肥胖/非肥胖受试者微生物类群和粪便代谢物成分的分布网络比较

宏基因组分析非肥胖受试者中纤维化相关微生物菌群
该研究揭示了一组 gut 微生物组和代谢物与非肥胖性肝纤维化显著相关的明显特征,并发表于Nature Communications期刊上
