Adversarial Motorial Prototype Framework for Open Set Recognition
摘要
开放集识别是为了同时识别已知类和拒绝未知类。具体来说,识别已知类和拒绝未知类分别对应于降低经验风险和开放空间风险。
- 首先,提出了运动原型框架(MPF),它根据原型分类思想对已知类进行分类。此外,在MPF的损失函数中加入了运动边际约束项,可以进一步提高已知类在特征空间中的聚类紧凑性,从而降低这两种风险。
- 其次,本文提出了基于MPF的对抗性机动性原型框架(AMPF)。一方面,该模型可以生成对抗性样本,并将这些样本加入到训练阶段;另一方面,利用边际约束半径的对抗性运动,可以进一步提高模型对已知类和未知类的差异性映射能力。
- 最后,本文提出了AMPF的升级版--AMPF++,它在训练阶段加入了更多的生成的未知样本。
在本文中,大量的实验证明了所提出的模型的性能优于目前其他作品。
引言
近年来,随着人工智能技术的发展,深度学习的应用已经渗透到生活的许多方面,如图像识别和语音识别[1],[2]。一般来说,大部分的识别研究都集中在封闭集识别(CSR)上,其测试集和训练集有相同的数据类别。然而,在实际应用中,由于实际使用场景的复杂性,测试集的类别可能与训练集的类别不完全一致。这种在测试集中可能包含大量未知类的目标识别,被称为开放集识别(OSR)[3]。
OSR的关键是在识别已知类的同时识别未知类。换句话说,除了CSR之外,OSR还需要使未知类的嵌入特征的分布不与已知类的嵌入特征相重合。CSR对应的是经验风险的降低,而避免未知类和已知类的嵌入特征的重叠对应的是开放空间风险的降低[3]。因此,OSR必须同时降低经验风险和开放空间风险。

当经典的深度神经网络解决经验风险时,一个全连接层被连接到网络的末端进行分类,并使用softmax来训练网络。如图1(a)所示,特征空间将被超平面划分为几个半开放空间,已知类别的特征将被强制落入相应的半开放空间。虽然由softmax训练的网络可以有效地对MNIST进行分类,但图1(f)证明了这个网络无法避免已知类和未知类之间的嵌入特征的重叠。
为了避免使用softmax训练网络造成的开放空间风险,人们提出了一些原型方法用于OSR[5], [6], [7], [8]。其中,H. M. Yang等人提出了GCPL模型[7]。该模型利用一个原型来代表特征空间中的每个已知类别,并强制训练数据的特征接近于相应的原型。与softmax相比,GCPL的优势在于不仅可以有效降低经验风险,而且可以提高特征空间中每个类群的紧凑程度,有利于降低开放空间风险。但是,由于GCPL不关心原型在特征空间中的位置,从图1(g)中可以看出,仍然有两个已知聚类与未知聚类重叠。
陈光耀等人提出了OSR的RPL/ARPL模型[5], [6]。与GCPL不同,这两个模型鼓励训练数据的特征远离相应的倒数点。根据图1(c)和1(d),这两个模型都能有效降低经验风险。在开放空间风险方面,从图1(h)可以看出,在特征空间中仍有少量的未知类与已知类重合,而ARPL比RPL好。虽然ARPL的性能已经非常好,如图1(i)所示,但红、黄、绿三个未知类的分布并不紧密,它有向外分布的趋势。 随着未知类变得更加复杂和多样化,将产生开放空间风险。我们认为,这个模型的潜在风险可能与其反直觉的分类思想有关。
为了更好地降低这两种风险,本文提出了一种新的运动原型框架(MPF)。在原型分类思想的基础上,MPF在损失函数中增加了一个机动边际约束项,这个约束项可以进一步压缩特征空间中已知类的分布范围。 如图1(e)和1(j)所示,与其他模型相比,MPF可以同时有效降低经验风险和开放空间风险。
当在测试阶段面对无穷无尽的未知类时,仅根据有限的已知类来降低开放空间风险显然是不够的。因此,许多研究产生未知类数据并将其加入训练阶段,以进一步降低开放空间风险[5], [9], [10], [11], [12]。考虑到这个想法,在MPF的基础上提出了一个 "对抗性运动 "属性模型,即对抗性运动原型框架(AMPF)。结合训练阶段的已知类数据和生成的数据,该模型通过边际约束半径的对抗性运动迫使未知类特征远离已知类。此外,还提出了AMPF模型的增强版,即AMPF++,该模型可以在训练阶段加入开放空间中更多区域的生成的未知类数据,以进一步提高OSR性能。
我们的贡献主要集中在以下几个方面:
- 1)提出了一个新颖的MPF模型,该模型通过压缩特征空间中已知类的分布范围,同时降低经验风险和开放空间风险;
- 2)在MPF的基础上,提出了AMPF。在这个模型中,引入了具有对抗性运动特性的新型优化策略,可以有效降低开放空间风险;
- 3)提出了AMPF的增强版,即AMPF++,通过在训练阶段看到更多的未知类数据产生,可以进一步提高OSR性能;
- 4)在更大、更难的ImageNet数据集上进行了许多实验,证明我们的方法优于以前的方法,达到了最先进的性能。
2 相关工作
2.1 开放集识别
OSR最早由Walter Scheirer等人定义[3]。耿传兴等人对OSR的工作进行了详细的总结,主要将OSR的工作分为两类,包括判别性模型和生成性模型[13] 。
鉴别性模型。OSR中对未知类的检测可以看作是一种二元分类。这类二元分类功能一开始主要是基于传统的机器学习方法实现的,特别是支持向量机,如[3]、[14]、[15]、[16]、[17]等。随着深度学习技术的发展,许多基于深度神经网络的方法也被开发出来。Dhamija等人最早评估了训练好的深度神经网络的开放空间风险,他们提出了一个新颖的objectosphere损失函数,通过最大化未知类的熵来降低开放空间风险[4]。Bendale等人提出了OpenMax模型,用OpenMax层取代了深度网络中的softmax层,用于OSR[18]。Rozsa等人评估了由OpenMax和softmax训练的网络的分类稳健性,发现OpenMax模型的稳健性容易受到一些对抗性图像的影响[19]。
Hassen等人根据同一类别的嵌入特征更接近的标准来训练网络,并证明这种方法在统计上有明显的性能改进[20]。有两项重要的研究是基于已知类的重构误差小于未知类的重构误差,即分类重构OSR(CROSR)和类条件自动编码器OSR(C2AE),它们在各种数据上都有非常好的表现[21],[22]。与上述工作不同,ShuLei等人利用子模型的距离函数来检测未知类中的潜在类别信息[23]。
在这些工作中,进行了各种复杂的策略以使嵌入特征更具有辨别力。 然而,这些仅基于已知类别构建的模型,在识别未知类别的能力上显然是有限的。
生成模型。为了加强OSR的性能,生成式模型将生成的未知类数据加入到训练过程中。因此,生成数据的方法就显得尤为重要。目前,主流的数据生成方法是Goodfellow Ian等人提出的生成式对抗网络(GAN)[24]。 在OpenMax模型的基础上,葛宗元等人结合GAN的特点,提出了GOpenMax模型[9]。作为生成模型的性能基准,它可以有效地检测手写数字集中的未知类别,而在自然图像上则表现不佳。与G-OpenMax不同,Neal Lawrence等人将GAN结构与编码器-解码器的思想相结合,提出了带有反事实图像的OSR(OSRCI)模型[10],并影响了许多后续研究,如[11],[12]。
与GAN的生成机制不同,Yang Yu等人提出了对抗性样本生成模型,该模型不仅可以生成未知类,还可以生成已知类来增强训练数据[25]。Sun X等人在变异自动编码器的基础上提出了条件高斯分布学习(CGLD),该模型强制不同的潜伏特征来近似不同的高斯模型,用于OSR[26]。张宏杰等人提出了包括编码器、分类器和基于流量的密度估计器的Hhbrid,其中密度估计器用于检测样本是否属于一个未知类别[27]。
这些模型提高了OSR的性能,因为它们在训练阶段看到了大量的未知类数据。与判别性模型相比,生成性模型的主要思想在提高OSR性能方面起着关键作用。因此,可以预见,未来会有更多这样的方法出现。
2.2 原型学习
原型通常用来指一个或多个可以代表集群的点[28]。最著名的按原型分类的方法是k-NN。在k-NN的基础上,Kohonen等人提出了学习向量量化(LVQ)模型,该模型为每一类数据分配一个或多个原型来代表和区分数据中的不同类别[29]。在LVQ的基础上,许多研究都致力于提高该模型的性能。一些人在训练阶段设计了更多的升级规则,而另一些人则为参数优化设计了新的损失函数[29], [30], [31], [32], [33]。此外,Liu, C.L.等人提出了三种基于参数优化的算法,并在多个手写字符数据集上获得了最好的识别结果[34]。这些早期的研究成果大多是基于人工设计的特征。
直到深度学习技术的成熟,深度神经网络的端到端和强大的非线性映射能力才将特征提取和原型学习整合起来。因此,许多基于深度神经网络的原型学习方法被开发出来,如[35]、[36]、[37]等。图1(b)中的GCPL也是一个基于深度网络设计的原型学习模型,它在各种损失函数的优化下对分类结果进行比较[7]。随后,该模型被修改为卷积原型网络(CPN),并在OSR的各种数据上取得了良好的性能[8]。
对于OSR,基于原型的方法侧重于减少已知类的类内距离,它通常忽略了未知类所带来的潜在风险,造成开放空间风险。
3.3 运动原型框架
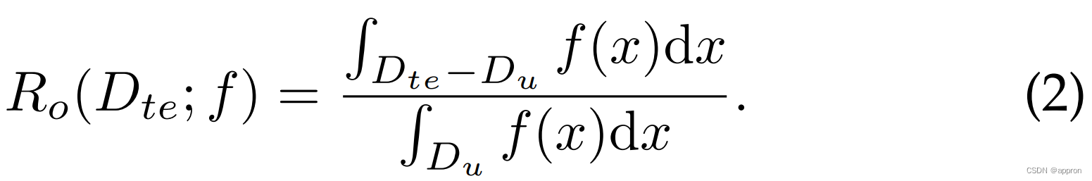
3.1 问题定义 给定一组训练数据Dtr = f(x1; y1); (x2; y2); : : g,有N个已知类,yi 2 Ltr = f1; :: ; Ng是数据xi的标签。潜在的未知数据用Du表示,其标签被认为是N+1。潜在的未知数据很可能来自相当不同的类别,它们的具体类别对OSR来说并不重要;因此,这里将它们放在同一个类别N+1中。 在测试阶段,有大量的测试数据,Dte = fs1; s2; ::g,其标签属于f1; ::; N; N+1g。在OSR问题中,毫无疑问,测试数据Dte将同时包括潜在的未知数据Du和已知类别的测试数据Dte -Du。此外,所有的数据都来自d维的全空间Rd。
OSR的目标是同时最小化经验风险和开放空间风险,可以表述为

其中Re是经验风险,Ro是开放空间风险,是一个正的正则化参数,而f :Rd 7!N是一个多类识别函数。很明显,当x属于已知类时,函数f应该将原始数据x映射到其中一个标签f1; 2; ::; Ng,当x属于未知类时,将数据x映射到标签N+1。因此,开放空间风险Ro(Dte; f)可以进一步表述为

因此,在OSR中只需要根据训练数据Dtr和训练标签Ltr确定一个嵌入函数f,这个函数不仅可以对已知类Dte-Du进行高准确度的分类,还可以尽可能地检测出未知类Du。
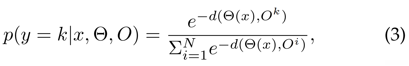
3.2 分类的原型
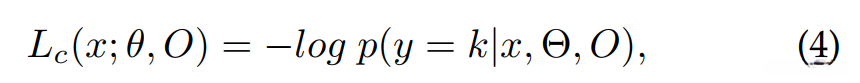
有些研究为每个聚类设置多个原型[8],[29],这使得聚类在特征空间的分布不够紧密,从而增加了开放空间的风险。因此,本文对某一聚类只设置一个原型中心,即原型中心O = fOk; k = 1; 2; - -; Ng。对于任何原始数据x,其标签y属于k类的概率可以通过以下公式计算。

其中Θ是原始数据x的嵌入函数,d(Θ(x); Ok)是Θ(x)和Ok之间的距离。为了保证N个原型中心的分布不会太分散,N个原型中心是由高斯分布随机初始化的。嵌入的特征应该更接近于相应的原型中心,这被作为训练网络的标准。其损失函数可以表示为
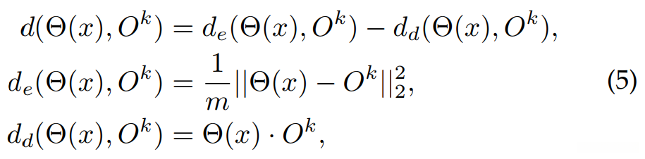
对于距离设置,与ARPL一样,也认为在优化过程中对嵌入特征与原型中心之间的欧氏距离进行表征是不够的。因此,本文也采用了ARPL的距离设置。具体来说,d(Θ(x); Ok)可以表示为

其中m是Θ(x)和Ok的尺寸。当网络被优化时,Θ(x)和Ok将被调整,如图2所示。只有当向量Θ(x)和Ok近似于一条直线,且Θ(x)和Ok非常接近时,Lc(x; θ; O)的优化才会接近收敛。 这种距离设置可以确保类别集群尽可能向外分布,可以减少开放空间。

3.3 运动边际约束
仅根据公式(4)训练网络,对降低开放空间风险的效果有限。本文希望通过进一步压缩特征空间中已知类的分布范围来降低开放空间风险。 因此,提出了一个运动边际约束项Lo,它可以具体表示为

由于de(Θ(xk); Ok)总是非负的,Lo的值等于de(Θ(xk); Ok) - R在网络优化过程的初始阶段。当沿着损失函数的负梯度方向优化网络时,R将逐渐增加,de(Θ(xk); Ok)将逐渐减少。de(Θ(xk); Ok)的减少意味着每个嵌入特征对其各自原型中心的聚集程度进一步增强。因此,损失函数Lo可以协助Lc进一步加强网络的嵌入能力。这种增强不仅可以进一步降低经验风险,还可以通过减少特征空间中已知类的分布范围来进一步降低开放空间风险。如图3所示,这个约束项的优化最终会使每个已知类的嵌入特征落入一个具有各自原型中心Ok和半径R的超球。

当半径R随着网络的优化而增加时,它被称为 "正向运动"。随着半径R的增加和de(Θ(xk); Ok)的减少,一定有一段时间R会大于de(Θ(xk); Ok),这时,Lo会一直等于0,这时,Lo失效,半径R不再增加,这被称为 "正运动 "的结束。(最后训练的结果,会不会是R一直增长到非常大,达到足以容纳所有的已知类,即所谓的正运动结束在一个非常大的地方?)
在Lo的优化中,边际约束半径R有一个 "正运动",即R只增加而不减少。在第4节中,半径R在Lo的优化下不仅会增加,而且在其他损失函数的优化下也会减少。 半径R将呈现出增减的对抗性往复运动,网络识别未知类别的能力将大大增强。
3.4 开放集识别的运动原型框架 结合损失函数Lc和Lo,整个网络的优化由以下损失函数表示。

本文将基于公式(7)的网络模型称为运动原型框架(MPF)。当这个模型的训练过程完成后,可以得到一个具有训练参数θ、原型中心O和半径R的网络。
在网络优化的初始阶段,半径为R的运动可以表示为

其中μ是网络的学习率,t是迭代数。因此,半径R以µtλ的速率处于 "正运动 "状态。
根据图1(e)的可视化结果,MPF可以有效降低经验风险。同时,从图1(f)、1(g)、1(h)、1(i)和1(j)可以看出,MPF比softmax、GCPL和RPL更有效地降低开放空间风险,甚至比ARPL更好。(就这就比其他原型好了?另外,所谓加边际的原型一个不少了吧,这也就是类似,虽然名字叫运动原型)
4.运动原型框架的对抗性增强
在实际测试中,当未知类别的分布变得越来越复杂时,MPF很可能不再有表现,如图1(j)所示。具体来说,该模型没有使用任何未知类别的先验信息,这限制了模型的性能。因此,许多方法选择使用GAN来生成一些未知样本[24],并将这些生成的样本加入到训练阶段,以进一步降低开放空间的风险,如[5],[9],[10]。
本文参考这些生成模型,提出了一种基于MPF的新型网络优化策略--对抗性运动原型框架(AMPF)。一方面,该策略设置了一个不同于传统GAN的生成器,它可以生成大量的对抗性样本,并将这些样本加入到训练过程中。另一方面,该策略在半径R的运动中注入了一种新的 "对抗性运动 "模式,有了这种半径R的运动,OSR的性能将得到进一步提高。
4.1 生成器和鉴别器
GAN由生成器G和鉴别器D组成。生成器G可以将先验分布Z映射到Rd空间的数据G(Z)。鉴别器D将输入数据映射为0或1,它可以用来识别输入是真实的还是生成的数据。
给定分布fz1; z2; - - ; zng和训练数据fx1; x2; - - ; xng,鉴别器D通过以下方式优化

的方式,使它能更好地区分真实数据和生成的数据。为了生成能够骗过鉴别器D的数据,生成器G通过以下方式进行优化

事实上,GAN的训练过程本质上是生成器G和判别器D之间的一个博弈过程。博弈的最终结果是,生成器G可以生成与真实数据xi的分布非常相似的数据G(zi)。
与GAN的构成类似,AMPF包括一个生成器G和一个判别器D,此外,AMPF还包含一个分类器C,分类器C是MPF模型中用参数θ表示的网络,其嵌入函数在此表示为Θ。
如图4所示,本文希望AMPF中的生成器G也能在远离已知类原型的开放空间中生成数据,这可以通过以下优化实现。

其中κ是超参数,Oc是所有原型中心Ok的平均值,可以通过Oc=
来计算。
公式(11)的求和部分被表示为
那么,生成器G的优化策略可以概括为
其中,α 2 (0; 1)是超参数,它用于控制远离所有原型中心的生成数据的权重。
最后,公式(9)和(13)的联合优化将使发生器G产生分布在已知类原型周围和以Oc为中心的κR距离之外的数据。 很明显,可以看出,κ1。为方便起见,以Oc为圆心的距离κR之外的空间被称为开放空间的边缘区域。(一波操作猛如虎,生成啥烂七八糟玩意?)
4.2 逆向运动边际约束半径
本文希望分类器C能够完成对已知类的聚类,并将所有生成的数据同时映射到开放空间的边缘区域。通过加强分类器C的差分映射能力,可以有效提高模型的OSR性能。
训练分类器C的差分映射能力的优化策略如下。

其中,超参数β 2 (0; 1)控制分类器C将生成的数据映射到开放空间的边缘区域的权重。
当分类器C按照负梯度方向优化时,半径R也是 "移动 "的,其运动公式如下。

如果损失函数Lo失败了,R的运动公式应该是。
根据κ1和λ;β2(0;1),很容易以这样的方式挑选合适的值,使λ-βκ的值小于0。在公式(7)的优化下,半径R增加到R0的 "正运动 "后,在公式(14)的优化下将发生公式(16)所代表的运动。在这一点上,半径R开始减少,"负运动 "发生。为了确保这种 "负运动 "能够有效启动,参数κ应该满足以下条件。

其中,超参数γ≥1,d0是所有原型中心Oi与中心Oc之间的距离之和,可通过以下方式计算

如图5所示,损失函数Lc的优化使已知类的嵌入特征不断向各自的原型中心聚拢,这与半径R的运动无关。另外,在损失函数J的优化下,半径R将从R0开始进入 "负运动"。在这个过程中,损失函数J的优化将使分类器C将生成的数据映射到开放空间的边缘区域。同时,由于半径R的减小,损失函数Lo被激活,它将协助损失函数Lc增强分类器C对已知类别的聚类能力。当半径R减小到一定程度时,损失函数J失效,"负运动 "结束。然后,在损失函数Lo的优化下,半径R开始进入 "正运动",直到损失函数J重新开始 "负运动"。换句话说,半径R进入了对抗性的往复运动。

4.3 AMPF工作程序
最后,结合发生器G、判别器D和分类器C的AMPF模型的训练过程如图所示。1. 在每个训练周期中,分类器C首先根据MPF模型的损失函数L进行更新,目的是使半径R进入 "正运动 "并达到R0位置。然后,在每个训练批次中,根据AMPF模型的优化策略,更新判别器D、发生器G和分类器C。将参数κ分配给Alg. 1的第6步中指定参数κ的原因如下。1)它可以满足公式(17);2)随着迭代次数的增加,参数κ可以提高 "负运动 "率,有利于加强分类器C的差分映射能力;3)随着迭代次数的增加,模型逐渐趋于收敛,R0的值也是如此。因此,可以预见,κ也会逐渐收敛。

5 对抗性运动原型框架的改进
理论上,AMPF的分类器可以通过寻找特征空间中的分布边界来有效识别已知和未知的类别。然而,由于测试数据和训练数据难以严格满足独立的相同分布,模型对测试集的泛化能力是有限的。因此,测试数据的特征分布总是比训练数据的分布松散,这一点可以在图1的前两行得到验证。换句话说,这种有限的泛化能力会在一定程度上造成开放空间的风险。具体来说,离中心Oc一定距离内的未知类嵌入特征会与已知类嵌入特征重叠。 事实上,这种现象在图1(j)中也可以看到。
因此,为了改进AMPF,提出了AMPF++模型。它在现有AMPF模型结构的基础上,增加了另一个生成器来生成Oc中心和所有原型中心之间的交界数据。 这些生成的数据也被添加到对抗性训练过程中,以进一步提高分类器对已知和未知类别的差异性映射能力。
5.1 另一个生成器 给定分布fz1; z2; - -; zng,新增加的生成器G2生成的数据表示为G2(zi)。发电机G2的优化策略由以下公式表示。

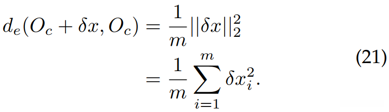
其中δx是特征空间中的误差向量,它可以用来控制生成的数据在特征空间中的分布。
本文选择使用Θ(G2(zi))近似Oc + δx来生成数据,而不是直接使用Oc + δx作为生成数据。因为前者可以代替后者,后者不能代替前者。在优化的初始阶段,Θ(G2(zi))的分布可以与Oc + δx的分布明显不同,这不会影响性能,但会提高分类器的差异映射能力,因为它在开放空间生成了更多的区域数据。在优化的后期,公式(19)逐渐收敛,Θ(G2(zi))可以有效地近似Oc + δx,这将达到生成的预期目的。
本文选择使用Θ(G2(zi))近似Oc + δx来生成数据,而不是直接使用Oc + δx作为生成数据。因为前者可以代替后者,后者不能代替前者。在优化的初始阶段,Θ(G2(zi))的分布可以与Oc + δx的分布明显不同,这不会影响性能,但会提高分类器的差异映射能力,因为它在开放空间生成了更多的区域数据。在优化的后期,公式(19)逐渐收敛,Θ(G2(zi))可以有效地近似Oc + δx,这将达到生成的预期目的。
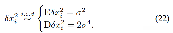
接下来,我们需要讨论如何用δx来控制我们想要生成的特征的分布。让特征空间的维度为m;那么,δx可以进一步表示为δx = (δx1; δx2; - - ; δxm)。 为了推导和计算的方便,本文假设δx的每个分量都是独立分布的高斯分布,均值为0,方差为σ2。

在Θ(G2(zi))能很好地近似Oc + δx的前提下,有必要仔细考虑Oc + δx到Oc的距离分布来确定δx中的参数σ。

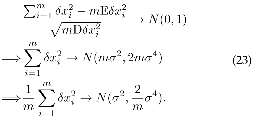
根据概率论,可以得到以下表达式。Eδx2 i = σ2和Eδx4 i = 3σ4。由于δx的每个分量在高斯分布中是独立和相同的,所以δx的每个分量的平方也是独立和相同的,具体来说。

根据中心极限定理,多个独立同分布的随机变量之和接近高斯分布。因此,当特征空间的维度m足够大时,我们有

因此,生成的数据特征到中心Oc的距离由高斯分布近似,其平均值为σ2,方差为2 m σ4。影响模型性能的未知类数据特征分布在每个原型中心的边界附近,因此,我们可以选择适当的σ值来满足我们期望的生成需要。
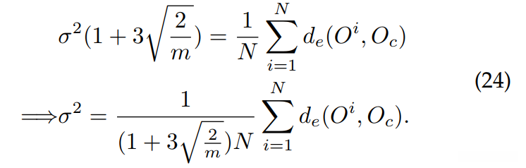
根据高斯分布的特性,在σ2±3qm2σ2范围内分布的概率为99:7%。为了使生成器能够在每个原型中心的边界处生成样本,并且不覆盖每个原型中心,本文选择高斯分布的3σ原则来生成数据,可以用以下方式表示。

误差向量由公式(20)和(24)生成。然后,为了获得所需的生成样本,通过公式(19)对发生器G2进行优化。
5.2 AMPF++的工作程序
最后,AMPF++模型的算法如图2所示。在每个迭代内,首先运行AMPF算法;然后,运行MPF算法,使进入 "正向运动 "的半径R增加到R0;最后,开始与生成器G2结合的对抗运动。 按照Alg.2训练网络模型后,测试集中x属于已知类别的概率可以通过以下公式确定。

AMPF++模型将已知类数据映射到各自的原型中心,将未知类数据最大程度地映射到整个开放空间的边缘区域。因此,测试数据的嵌入特征和所有的原型中心之间的最小距离可以用来识别测试数据是已知类还是未知类。

6.实验
6.1 实验设置
6.1.1 数据集
与其他许多论文[9]、[10]、[18]、[21]、[22]、[26]一样,本文选择MNIST[38]、SVHN[39]、CIFAR10[40]、CIFAR+10、CIFAR+50和TinyImageNet[41]作为开放集识别任务的实验数据。MNIST、SVHN和CIFAR10都包含10个类别的数据,其中6个类别被随机选为已知类别,其余4个类别为未知类别。对于CIFAR+10和CIFAR+50,从CIFAR10中随机选择4个类别作为已知类别,然后从CIFAR100中随机选择10和50个类别作为相应的未知类别数据。对于Tiny ImageNet,随机选择20个类别作为已知类,其余180种数据被视为未知类。
6.1.2 网络、优化器和其他参数
在MPF、AMPF和AMPF++的模型中,本文使用与[10]相同的卷积神经网络作为分类器,它有9个卷积层和1个全连接层。除了TinyImageNet数据使用Adam优化器外,动量随机梯度下降(SGDM)优化器被用来优化其他数据集的分类器[42], [43]。网络的初始学习率被设置为0:1,每30个 epochs下降到原始速率的十分之一。在AMPF和AMPF++模型中,本文使用与[44]相同的发生器和判别器。它们都使用学习率为0:0002的Adam优化器进行优化。本文涉及的超参数λ、α、β和γ分别设置为0:1、0;1、0:1和10,特征空间的维度m设置为128。
6.1.3 评价指标
与[9]、[10]、[18]、[21]、[22]、[26]类似,本文也选择接收操作特征曲线下面积(AUROC)来评价模型的性能。AUROC通过将样本属于已知类别的预测概率从高到低排序来评价模型对未知类别的判别能力;其最大的优点是不需要指定模型的工作阈值。
由于AUROC只评价了模型识别未知类的能力,而没有评价模型识别已知类的准确性,因此必须在实验中加入其他指标来完整地评价模型。一些工作通过F1-measure、精度和召回率的谐波平均值来评价模型对已知类的识别能力,如[9]、[18]、[22]。但是,为了评价对已知类的识别能力,必须使F1-度量的曲线随模型的工作阈值而变化,这显然是不方便的。
为方便起见,本文引入了一个独立于工作阈值的开放集分类率(OSCR)指标来代替F1度量[4]。设τ是一个分数阈值。正确分类率(CCR)是正确类别k具有最大概率且概率大于τ的样本的一部分。

因此,基于CCR和FPR的OSCR是一个类似于AUROC的指标,它通过计算相应曲线下的面积来评价模型。模型的OSCR值越大,模型的识别能力就越强。
6.2 封闭集识别的结果和分析
在本文中,第6.1.1节中介绍的已知类被用于CSR。从理论上讲,本文提出的MPF、AMPF和AMPF++模型识别未知类数据的能力应依次增强。识别未知类数据能力的增强通常是建立在牺牲已知类数据识别能力的基础上。然而,从Tab.1可以看出,本文提出的三个模型对已知类数据的识别能力并没有下降,而是在不断提高;此外,本文提出的模型AMPF++在所有CSR测试中取得了最好的测试结果。因此,这些结果都充分证明了本文提出的模型的有效性。

6.3 开放集识别的结果和分析
本文中OSR的测试结果见表2和3。2和3。本次测试中使用的六类数据集包括的数据类别越来越多,这意味着相应的开放集识别难度也在增加。当OSR难度不大时,不同方法的性能差异并不明显;对于MNIST数据集,不同方法的性能普遍较好,最高的AUROC值为99.7,仅比最低的97.8高出1.9。然而,当OSR难度逐渐增加时,不同方法之间的性能差异就体现出来了;对TinyImageNet数据集,最高AUROC值为79.7,比最低值57.6高出38:4%。


表2和表3显示,本文提出的MPF、AMPF和AMPF++模型的OSR性能是依次增加的。2和3显示,本文提出的MPF、AMPF和AMPF++模型的OSR性能按理论设计依次增加。在训练过程中加入生成数据的AMPF和AMPF++模型的性能明显优于没有生成数据的MPF模型。 同样,其他一些基于生成模型的方法,如CROSR、C2AE和ARPL+CS,在识别未知类数据方面也优于一些基于判别模型的方法,如softmax和OpenMax。 AMPF++模型在识别未知类数据和已知类数据的能力方面显示出压倒性的优势。总之,所提出的方法的OSR性能普遍优于目前其他方法。
6.4 半径R的运动
本小节对实际训练过程中半径R的运动轨迹进行了详细讨论。由于MPF模型中半径R的运动已被AMPF包含在内,而AMPF++模型中半径R的运动与AMPF的运动没有本质的区别,本小节只讨论AMPF模型中半径R的运动。
以MNIST为例,选择前5个历时的训练过程来讨论半径R的运动。如图7(a)所示,整个图显示了5个周期性运动,对应于5个历时的模型训练。在第一个运动周期中,对应于蓝色曲线的 "正向运动 "发生在半径R从0开始的阶段,这对应于MPF模型。 然后,如图6所预测的,出现了快速的 "负向运动",接着是往复的 "逆向运动"。 严格来说,"正向运动 "应该只包括图中蓝色曲线的上升阶段,为了与图6保持一致,在图中没有加以区分。


与图6中预测的运动轨迹不同,在实际训练中,半径R会减小到一个负数。虽然半径R减小到负数在物理图像中不再有意义,但它并不影响损失函数Lo的激活;相反,它将延长损失函数Lo的工作时间,有利于已知类特征的聚类。此外,我们还观察到,每期 "负运动 "停止时,半径R的值会下降,这与参数κ随着历时的增加而增加有关。在下一个周期的开始,半径R增加到一个新的R0,这个半径通常比上一个周期的R0小。原因是类内的聚类越来越紧密,有时,由于分离点的干扰,它将增加。此外,在蓝色曲线的后半部分,半径R的值并没有像预测的那样保持不变,而是以很小的速度逐渐减小,这应该与SGDM优化器的特性有关。
6.5 我们模型中特征的可视化
为了更好地比较本文提出的三个模型,本节中对这些模型使用了两种可视化方法。在 "二维特征可视化 "小节中,网络特征向量的输出被设置为2;因此,我们可以直接将特征绘制在二维表面上进行可视化。"t-SNE可视化 "小节使用了与[10]相同的卷积神经网络,该网络的特征维度为128。在本小节中,tSNE方法被用来可视化已知和未知的嵌入特征。
6.5.1 二维特征的可视化
根据图8,三种模型都能有效降低经验风险。如果没有损失函数Lo的优化,如图8(a)所示,已知类和未知类之间的嵌入特征有很大的重叠。 此外,已知类的集群不紧凑,这证明了边际约束项Lo的有效性。由于使用的网络结构不同,图1(j)和8(b)的可视化结果略有不同。

如图8(c)和8(d)所示,一些KMNIST和SVHN数据被认为与已知类相似,它们被映射到已知类的周围,这就是AMPF和AMPF++引入的对抗性优化策略。此外,未知类的嵌入特征在开放空间中心的小范围内被有效抑制,这对降低开放空间风险也很有意义。可能是CIFAR10和CIFAR100与已知类MNIST的相似度不高,因此,这两个类别的数据很少被映射到周边地区。

6.5.2 t-SNE可视化 根据图9第一行,我们所有的模型都能有效区分MNIST的已知类和未知类。 特别是,四个未知类都没有与已知类重叠,MNIST的所有类别都形成完整的聚类。然而,在这个测试阶段,网络参数完全没有更新。因此,我们的模型具有一定的类增量学习能力。
在图9的第二行,显示了开放集上的t-SNE可视化结果。如图所示,可以看到六个已知类 "集群,可视化效果随着模型复杂度的增加而提高:已知类和未知类的重叠程度在降低,已知类和未知类的分类边界越来越清晰。 因此,这些结果证明这三个模型的性能在稳步提高。
6.6 在ImageNet上的实验
在本文之前,不同的OSR方法在大型数据集上的性能比较结果很少。 为了更好地证明所提出的方法的有效性,这里在ImageNet数据集上进行了实验[41],它更大,更难。ImageNet包括1000个类,有1,281,167张训练图像和50,000张验证图像。
首先,选择前100个和200个类作为已知类,其余的被视为未知类,分别表示为 "ImageNet-100 "和 "ImageNet-200"。本实验使用ResNet50作为分类器网络,它在已知类的训练图像上进行训练,并在所有验证图像上进行测试。此外,ImageNet中的所有1000个类被用作已知类,而ImageNet-O被用作未知类[50]。 本实验中使用ResNet18而不是ResNet50。与之前的实验一样,ACC(已知类数据的封闭集准确率)、AUROC和OSCR被选来评估模型的性能。
表2和表3显示,当测试数据集不大时,MPF的性能并不优于ARPL。2和3显示,当测试数据集不大时,MPF的性能并不比ARPL好多少。然而,如表4所示,在所有三个实验中,MPF的性能都高于ARPL。4所示,在所有三个实验中,MPF的性能都高于ARPL的性能。此外,MPF比传统的softmax和其他一些方法(除了在ImageNet-100中的CPN)表现得更好,这表明所提出的方法在更大规模的数据集上具有良好的可扩展性。

6.7 不同数量的已知类别下的MPF
为了更完整地展示MPF模型,本节展示了不同数量的已知类别下的模型的可视化结果。在本文中,已知类的数量表示为K,它被设置为2、3、5、8和10。

如图10第一行所示,MPF倾向于在特征空间中对称地分布已知的类别。 这种分布模式不仅符合人类的审美偏好,也是利用特征空间的最佳方式。此外,无论K值如何,MPF都能有效降低经验风险。
当大量的未知类被添加到测试集中时,如图10的第二行所示,MPF可以有效地减少这两种风险。还可以看出,KMNIST(蓝色)与已知类的重合度最大,而且这种重合度随着K的增加而减少。因此,这些结果也证明了MPF适用于有大量已知类的OSR,如6.6节所示。
6.8 我们模型中的距离设置
本小节用可视化的方式来验证本文中距离设置的正确性。如图11所示,无论已知类的数量是多少,MPF都能有效地完成聚类。与图2类似,嵌入特征、原型和特征空间中心(由于对称性,坐标原点总是近似等于中心Oc)总是近似于一条直线。 而且,随着已知类数的增加,这种三点一线的近似程度会越来越高。这种距离设置避免了图1(b)所示的特征聚类,所以它将帮助模型降低开放空间风险。
7 结论
在某种意义上,减少经验风险意味着从 "已知 "到 "已知",而减少开放空间风险意味着从 "已知 "到 "未知"。由于 "未知 "的复杂性和不确定性,降低开放空间风险显然要困难得多。 因此,大多数OSR研究都致力于有效降低开放空间风险,本文也是如此。 本文提出的MPF、AMPF和AMPF++在降低开放空间风险方面越来越有效。
AMPF和AMPF++的出色OSR性能有两个主要原因。
- 1)这些模型产生了大量的未知数据,分类器因为在训练阶段看到了产生的未知数据,所以提高了识别 "未知 "的能力;
- 2)随着边际约束半径R的 "对抗性运动",分类器对已知类和未知类的差异性映射能力大大增强。当R增大时,已知类的聚类得到加强,对应的是经验风险的降低;而当R减小时,分类器将未知类映射到开放空间的边缘区域,对应的是开放空间风险的降低。
本文设计的这种新颖的对抗性优化策略不仅体现在对抗性样本的产生上,还体现在保证金约束半径R的 "对抗性运动 "上。随着R的运动,模型的两种风险被交替降低,这种交替降低模式比单一降低模式更有效,如[5]、[6]、[7]和[8]。
