BLAZE 极速隐私保护机器学习
BLAZE: Blazing Fast Privacy-preserving Machine Learning
今天给大家带来的是Arpita Patra等人发表于NDSS'20上的文章《BLAZE: Blazing Fast Privacy-preserving Machine Learning》, 论文链接: https://arxiv.org/pdf/2005.09042.pdf.
摘要
基础知识
安全模型与符号约定
秘密共享语义
基本协议构造
秘密共享协议
联合共享协议
秘密重构协议
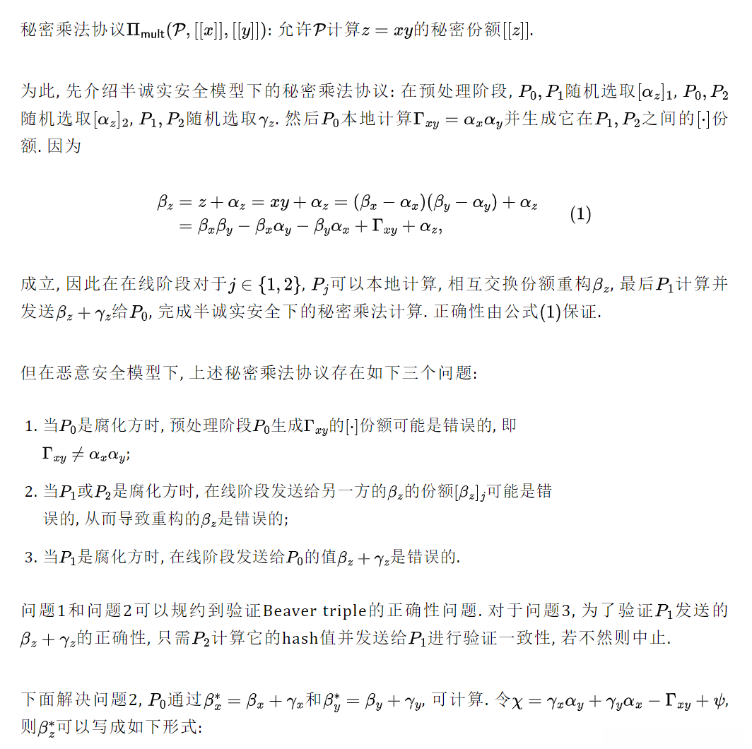
秘密乘法协议
比特抽取协议
比特转换协议
点积计算协议
定点截断协议
点积截断协议
安全比较协议
激活函数协议
实验
总结
参考文献
摘要


基础知识
安全模型与符号约定

秘密共享语义

以上三种秘密共享可以总结为

由于三种秘密共享方案都是线性的, 因此加法和标量积的计算不需要交互. 此外, 容易看出任意两方通过交换对方所缺失的份额都可以重构出原始秘密υ.
基本协议构造
秘密共享协议


联合共享协议




秘密重构协议




秘密乘法协议






比特抽取协议


比特转换协议


点积计算协议


定点截断协议



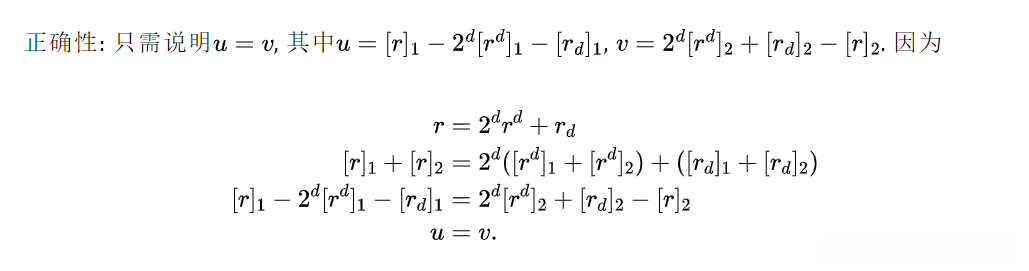
点积截断协议

具体协议过程如下:

安全比较协议

激活函数协议

实验
本文主要以预处理阶段和在线阶段的吞吐量(throughput)为不同方案的对比基准. 下面仅提供部分实验截图.
不同带宽下的ABY3与BLAZE点积协议吞吐量对比:

线性回归与逻辑回归推理部分的吞吐量对比:




与ASTRA对比:

总结

参考文献
[1] D. Boneh, E. Boyle, H. Corrigan-Gibbs, N. Gilboa, and Y. Ishai, “Zero-knowledge proofs on secret-shared data via fully linear pcps,” in CRYPTO, 2019, pp. 67–97.
[2] P. Mohassel and P. Rindal, “ABY3: A mixed protocol framework for machine learning,” in ACM CCS, 2018, pp. 35–52.
[3] H. Chaudhari, A. Choudhury, A. Patra, and A. Suresh, “ASTRA: High-throughput 3PC over Rings with Application to Secure Prediction,” in ACM CCSW, 2019, pp. 81–92.
[4] P. Mohassel and Y. Zhang, “SecureML: A system for scalable privacy-preserving machine learning,” in IEEE S&P, 2017, pp. 19–38.
译者简介 :
魏伟明, 应用数学硕士, 目前在广州大学数学与信息科学学院攻读博士学位, 主要研究方向为: 安全多方计算在隐私保护机器学习领域中的应用. 知乎: @云中雨雾.
往期
