Guided Image Filtering
发布时间
阅读量:
阅读量
一. 什么是Guided Filter?
即需要引导图的滤波器。滤波过程中包含引导图I,输入图像p(即需要滤波的图像), 以及输出图像q。其中I与p可以是同一张图像。每个像素的滤波输出可以表示成一个加权平均的形式:

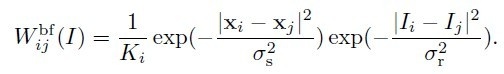
其中i,j为像素索引,W称为滤波核。双边滤波的滤波核为:

二. 定义:
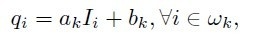
guided filter的关键假设就是引导图I与输出图q之间的局部线性模型:

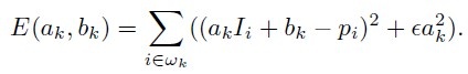
a,b为线性系数,且在局部窗口k中为常数。为确定以上公式中的线性系数,并满足使得q与p的差别最小,转化为最优化问题:

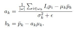
以上公式的求解可以利用线性回归:

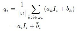
在这里, μk 和σk^2表示I在局部窗口wk中的均值和方差。 |ω| 是窗口内的像素数,pk表示p在窗口wk中的均值。当求的ak和bk后:

其中
,
参考代码:见上传代码。<>
参考文献:He K. Sun J. Tang X. Guided Image Filtering.
全部评论 (0)
还没有任何评论哟~
