2019年中南大学计算机保研夏令营回顾
中南大学将于6月底举办计算机夏令营, 这是我第一次参加的夏令营. 两天前收到了一封优秀营员邮件, 对自己而言意义重大, 值得记下来作为经验分享.
目录
-
个人情况
-
夏令营流程
-
- 6.27 报道
- 6.28宣讲+笔试+机试
- 6.29上午 面试
- 6.29下午 导师面谈
-
后续
个人情况
普通一本院校东北地区的普通一本院校,在软件工程专业排名前五,在全年级189人中。没有参与过 ACM、蓝桥杯等竞赛项目。仅在一次美国大学生数学建模竞赛中获得过 M奖,并通过中国计算机学会组织的 CSP认证考试。单次比赛得分高达 320 分,在实验室里参与过一些小型科研项目。总的来说,在学术方面还有提升的空间。
夏令营流程
在时间表中是6月27日进行了报道,在随后两天即6月28日至29日进行了开营仪式,并开展了宣讲与考核工作。由于我是中南地区第一个参与此类夏令营活动的学生,在出发前格外注重不要遗漏任何一个重要环节,并提前于6月26日从学校乘坐专机前往长沙(实际到达后才发现一切安排井然有序……)。
6.27 报道
中南为营员们提供了周边一家豪华型酒店用于住宿安排,在此期间整体设施较为完善;特别强调的是其地理位置便利性——离学校的距离非常近(步行仅需几分钟)。6月27日这一天营员们的报到工作将顺利进行,在酒店一楼大厅即可完成报到手续并领取餐券。随后我们三个便利用这一天时间展开游览行程;没有想到的是在如此炎热的情况下竟无心欣赏长沙的城市美景;最终决定主要体验一家知名的奶茶店茶颜悦色。
随后我们提前前往中南大学进行实地考察


作为一位铁杆篮球迷,在读完大学后他的家中必定会安排了一次实地考察。不得不提的是中南地区的篮筐直冲云端令人惊叹其高度高出一个头 tantamount to 一个头的高度以上。这位身高1.9米的人仅能触及筐沿而绝非因个人弹跳能力超凡。

6.28宣讲+笔试+机试
上午举行开营仪式。中南大学计算机学院的专业领域内的重量级专家们齐聚现场,并进行了专业的开营仪式。大家普遍认为老师的演讲技巧都很出色。学生们普遍反映听讲非常专注。

夏令营期间的午餐与晚餐均在学校餐厅享用,在此不得不为中南食堂点赞!本次为夏令营学员提供的区域采取自助服务模式,并提供丰富多样的餐点选择,并且数量不限;凭餐券入场即可自由选取;现场任意挑选。

下午的考试实际上是中英双语翻译任务,在三十分钟内完成即可完成目标要求。主要考察的是计算机专业领域的相关论文摘要内容。今年考试的重点是神经网络技术的应用情况,请注意答题时保持冷静并仔细审题。作为一名英语水平尚可的学生来说,在面对试卷时仍感到些许紧张;但当试卷发放后发现试题难度适中,并没有设置过高的难度以挑战学生的水平。
晚上,进行了最重要的机试 ,重要的事情说三遍,机试很重要,机试很重要,机试很重要!!!
中南大学今年机试是三小时之内写5个题,属于没有罚时的ACM评分制,样例全过就是AC,有一组样例没过就是WA,不存在一道题一半样例过了就给一半的分,所以还是很刺激的……另外需要注意,中南的题目都是多组测试样例输入,写代码的时候注意应该是while(~scanf("%d",&a))这样,很多人一开始都写成了单组测试样例输入,导致一直是WA,耽误了很长时间。今年的题目是:
签到题的具体内容暂不明确……为七个代表颜色的字符串,请为每一个字符串赋予一个整数值索引;然后根据输入的一组整数值序列生成相应的颜色列表;未被输入的颜色字符串将被输出出来……这些问题相对来说并不复杂,在10分钟内就能解决。
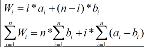
每个测试样例包含n个有序对<a,b>。对于第i个有序对<ai, bi>而言,请计算其对应的利润Wi=i*ai+(n-i)*bi;最后求解所有有序对所对应的利润之和的最大值问题。这一问题的关键在于如何排列这n个有序对以使总利润最大化。
实际上,在展开括号并合并同类项之后,请您观察下图所示的总利润计算公式:

在排序过程中, 我们只需关注每个有序对中的a与b之间的差异, 并依据(a-b)的大小来排列这些有序对. 这道题仅需理解题目含义即可迅速完成解答.
- 动态规划题:小明在迷宫中移动,在每一步只能向右移动一格或向下移动一格的情况下,请计算从起点到终点所需的水平与垂直步数之和,并求解所有可能路径的数量。直接采用动态规划表法进行预处理后,在每个测试用例中循环调用预处理过程以获取对应结果即可解决问题;然而我却犯了一个低级错误——将预处理过程嵌入循环体内导致每个测试用例都需要独立完成一次预处理操作;最终发现这种方法会导致超时(TLE)而感到十分困惑……
- 贪心算法:给定k乘以n根长度各异的木棍,请按照每k根一组的方式进行分组,并总共能够得到n组木桶;其中每个木桶的最大容量由该组中最短的一根木棍决定;请找出所有木桶容量之和的最大值即可解决问题;通过多做一些贪心算法相关的练习这个问题并不难就能轻松通过。
- 由于题目难度超出我的理解范围……经确认未经过系统的ACM集训以及缺乏相关的竞赛训练经历……目前刷过的题目数量远少于ACM选手……面对这类涉及较深算法的问题确实难以找到解决思路因而选择放弃……
6.29上午 面试
面试则是将所有应试者分为若干个小组,并每个小组共有20人。这些小组同时开始,并且整个上午的时间就被用来完成这次整体的面试工作。我是我们小组最后一位加入者,在后续的过程中依然保持良好的状态。其他小组成员在完成自己的面试后会过来询问我的情况,并通过这种方式获取重要信息。
当我踏入教室时(原文:我进去的时候),教室里共有五位教师正在进行工作(原文:里面是五个老师)。我把简历分发给每一位教师(原文:我先给每一个老师递了简历),随后每位教师都安排了两分钟的英文自我介绍时间(原文:老师们就要求我进行两分钟的英文自我介绍)。早有准备的我(原文:这个方法很有效)早已做好了充分准备(原文:我觉得自己已经做了充分准备),于是立刻开始背诵这些材料(原文:直接就开始背)。然而在这整个过程中我发现(原文:不过这过程中我发现),这些教师并不认真听取我的介绍(原文:老师们其实也不怎么认真听)。不认真听取我的介绍可能是因为他们认为这是快速浏览一遍学生的简历并了解基本情况的机会(原文:好像是利用这个过程快速地把学生简历过了一遍)。在思考片刻后他们提出了相关问题(原文:然后思考一会儿问什么……)
自我介绍结束后,老师们还会用英语继续进行一些闲聊式的交流,此前的同学普遍提到他们会询问诸如本科阶段最喜欢上的课程、研究生阶段的学习规划是什么等问题.原本我以为自己已经做好了充分准备来应对这些问题,却不料老师上来就问到了我的身高"height is one point eighty-nine ……cm"(没想到的是,底下同学都笑出了声,原来我以为自己只有1.89厘米呢).随后老师又问及我对篮球的喜爱程度"请问我喜欢打篮球吗",我也回答道"Yes, I’m a big fan of basketball."没想到老师又一次笑了起来.至于最后一个问题,关于昨晚的编程测试答对了几题,我也 straightforward地回答道'I got three correct answers'(因为编程测试成绩尚可,通常会认为面试氛围较为轻松.如果编程测试表现不佳,可能会让面试官有意地提出一些专业性较强的问题).
再后面就是中文环节。接下来是中文环节这一环节中老师的提问内容主要依据你的简历内容。如果有相关项目经验的话他们会询问你的相关项目经验。如果没有相关经验则会转向询问专业课程的情况。还好还没触及到专业的课程相关内容呢!了解完项目的经历后……家是哪里的呀?为什么会选择来到中南呢?如果最终被录取的话您一定会选择我们学校吗?此外在我们学校曾经有一位XX老师曾在您就读的专业担任过研究生助教的角色吗?
末尾,一位女老师问我:"这次你们学校的学生来中南的很多哦?你觉得你跟他们相比有什么不同之处吗?"真的刚才的氛围过于轻松了呢!我也忍不住多嘴了一句:"我觉得我比他们长得帅"呢!说起来整个房间都充满了欢愉的气息……
6.29下午 导师面谈
上午面试结束后意味着夏令营已经圆满结束。然而我们的飞机定在了30号下午,因此下午我就给宣讲会上PPT展示的老师发邮件,希望能安排一次见面交流机会,非常开心的是,老师很快就给了我回复,可以说机试的重要性不言而喻,老师们总是第一个问题就问我:“昨天参加了机试的同学,请问你完成了多少道题目?”一开始进入面谈时我还担心自己在研究方向上缺乏相关经验会不会被质疑,但后来发现这位老师的学术态度非常温和有礼,不仅夸奖了我的竞赛成绩(CCF CSP考了相当优异的成绩),还特别提到不怕我在基础阶段有不足之处,只要愿意下功夫学习就没有克服不了的问题(我想提醒学弟学妹们,在大学前三年争取取得一个不错的CCF CSP成绩是非常有益的事情)。
在结束面谈后返回了酒店。由于晚餐中南不再提供食物,在酒店附近我们几位兄弟进行了简短的游览,并参观了一处以臭豆腐闻名的地方。当地的臭豆腐 Feedback 高度评价。

后续
进一步发现中南大学的夏令camp项目的通过率相当不错,在我所认识的同学中都取得了不错的成绩
