【R语言】迫松分布估计--判断是否符合迫松分布
发布时间
阅读量:
阅读量
简述
一道概率论和数理统计的题。
- 在1秒钟区间内的观测数。迫松分布的期望数是多少?能与之匹配吗?
| n | 观测 |
|---|---|
| 0 | 5267 |
| 1 | 4436 |
| 2 | 1800 |
| 3 | 534 |
| 4 | 111 |
| 5+ | 21 |
解
思路
- 计算均值用作\lambda的估计。样本均值是泊松分布参数的无偏估计量。
- 将它们代入泊松分布中后进行逐一计算即可完成任务。
R语言实现
- 先简单的看下数据
x = c(5267, 4436, 1800, 534, 111, 21)
barplot(x)
lines(x, type='o')

- x_1就是估计的结果
x = c(5267, 4436, 1800, 534, 111, 21)
x_sum = sum(x)
lambda = 0
for(i in 1:length(x)){
lambda = lambda + (i-1)*x[i]
}
lambda = lambda / x_sum
x_1 = 1:length(x)
for(xx in 1:length(x)-1){
x_1[xx] = x_sum * dpois(x = xx-1, lambda = lambda)
}
x_1[length(x)] = 0
x_1[length(x)] = x_sum - sum(x_1)
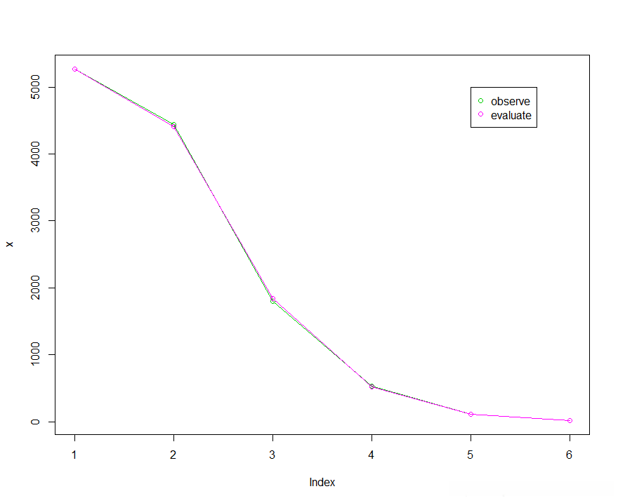
plot(x, type = 'o', col=3)
lines(x_1, type='o', col=6)
legend(5, 5000, c("observe", "evaluate"), col = c(3, 6),pch = c(1, 1))

- 表格展示数据
| n | 观测 | 预计 |
|---|---|---|
| 0 | 5267 | 5268.59966 |
| 1 | 4436 | 4410.48769 |
| 2 | 1800 | 1846.06944 |
| 3 | 534 | 515.13160 |
| 4 | 111 | 107.80766 |
| 5+ | 21 | 20.90394 |
故可知,符合迫松分布。
全部评论 (0)
还没有任何评论哟~
