Spatio-Temporal Graph Convolutional Networks: A Deep Learning Framework for Traffic Forecasting 论文笔记
Spatio-Temporal Graph Convolutional Networks: A Deep Learning Framework for Traffic Forecasting 论文笔记-----GCN在交通领域的应用(二)
一、论文翻译:
1、摘要 :
及时准确地交通预测对于城市交通控制和指导具有至关重要的意义。由于交通流量的非线性和复杂性,传统的方法不能满足中长期预测任务的需求,并且往往会忽略时空数据的时间和空间依赖特性。在这篇论文中,为了处理在交通领域的时间序列预测问题,我们提出一种新颖的深度学习框架,时间空间图卷积网络(STGCN)。不同于引用常规的卷积和循环单元,我们在图上建模预测问题,并且用完整的卷积结构来建模模型。这样的模型有更快的训练速度更少的参数。实验显示我们的模型通过对多尺度交通网络进行建模,有效地捕捉了综合时空关联,并在各种实际交通数据集上始终优于最先进的基线。
2. 定义
2.1 图上的交通预测的定义
交通预测是一个经典的时间序列预测问题。根据先前的M个时间步的交通观测量,预测接下来H个时间步的交通观测量(速度或者流量)。公式如下所示:

在上述公式中, v t ∈ R n 表示n个路段在时间步t的观测向量,向量中的每个元素表示一个路段在一个时间点的交通观测值。在这篇论文中,在图上定义一个交通网络并且集中于结构化的交通时间序列。观测向量vt不是独立的,而是通过图中的成对连接连接起来的。因此,在下图中,数据点vt是在无向图G上的一个图信号,图的权重表示为wij。在第t个时间步,图Gt=(Vt,E,W), Vt表示顶点的集合,表示交通网络中n个监测站点在时刻t的监测值,E是边的集合,表示站点之间的连接情况,W表示图G的权重邻接矩阵。

**3.**提出的模型
3.1****网络结构
在这一节,我们详细介绍我们提出的模型架构:时间空间图卷积网络(STGCN)。如图所示,

STGCN模型由两个时间空间图卷积模块(ST-Conv block )和一个全连层(输出层)组成。每个时间空间卷积模块(ST-Conv block )包含两个时间门控卷积层和一个在中间的空v间图卷积层。并且残差连接和瓶颈策略被应用到了上述的每个模块中。输入Vt-M+1,...,Vt由ST-Conv块统一 处理,来探索空间和时间依赖性。 输出层集成了所有的特征,来生成最终预测v
二、模型架构的整体理解(结合代码进行的理解):
1、输入理解:
对于模型架构,如上图所示,输入的维度是[batch_size, time_step, n_route, c_in]
对于输入的解释:
在本文中,有n个路段,即n_route=n; 观察每个路段的速度值,因此每个站点的特征维度为1,即C_in = 1; 根据先前M个时间步的观测状态预测接下来的时间点的状态,因此time_step = M.
在每个时间点t,对n个站点的速度采样,即维度是n1;因此对于M个时间点,维度是Mn*1;其中M对应time_step(采样点的数目),n对应n_route(站点的数量);1对应c_in(一维速度特征)。
构造好输入之后,下面看网络层的搭建:
2、门控时间卷积:
首先第一部分是门控时间卷积:

门控时间卷积的组成如下:
1 、包含一个1D因果卷积和一个 GLU门控线性单元 ( Gated Linear Units**)**
2 、又叠加了一个残差网络架构
1D因果卷积 :处理时间序列问题;即根据先前的M个时间步的值,预测下一个时间步的值,如下图所示:

其中input中每个位置对应一个时间步,时间步内可以是多维的数据。先按一维数据比较容易理解,则图中,卷积核就是一个2*1的卷积核,然后在第一层依次移动,最左边做padding,得到第二层,然后依层传递下去,即得到因果的效果。
1D卷积的计算过程如下图所示:

其中K表示卷积核
GLU激活函数
GLU 的公式如下所示:

表示一个没有非线性函数的卷积层 输出点积一个经过sigmod非线性激活函数的卷积层输出,具体结构如下图所示:
![]() |
GLU激活函数的优点:
**(1)**进行深度网络建模;
**(2)**能减轻梯度弥散,加速收敛;
**(3)**GLU 和Relu都拥有线性通道,可以使梯度很容易通过激活的units,反向传播且不会减小。因此,采用GLU或Relu做为激活,训练时收敛速度更快。
上述过程对应论文中的公式如下所示:

其中P和Q表示因果卷积的输出拆成的两部分(P表示前C通道,Q表示后C通道)。上述公式是GLU激活函数公式的套用。
残差架构:
随着网络层数的增加,网络发生了退化( degradation)的现象:随着网络层数的增多,训练集loss逐渐下降,然后趋于饱和,当你再增加网络深度的话,训练集loss反而会增大。
门控时间卷积架构的优势:
(1) 、是一种卷积语言建模方式,相比RNN等模型易于训练,结构简单,可用于时间序列建模
(2) 、容易实现并行化
(3) 、减少梯度消失
3、GCN提取空间特征
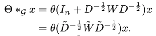
GCN的公式化表示(奈何数学知识不够,论文中的GCN的推导没有看懂,但是理解了GCN最后推导出的公式):

在上述公式中,W表示邻接矩阵,
I表示单位矩阵;** D表示 W的度矩阵,x表示输入; θ**表示权重参数;
对上述公式进行简单理解,如下所示:

其中A对应上述的W,H表示输入x,W表示权重参数,** σ**表示激活函数。
4、模型的输入:
1、n个站点, 一个时刻的观测向量维度是n1;因此, M个时刻,n个站点的观测向量维度是Mn*1;
输入一:因此输入的向量维度是Mn1
输入二:表示站点之间的连接关系的邻接矩阵W,维度是n*n。(用于GCN模型的输入)
模型的输出:
下一时刻n个站点的状态值,因此是n*1
对应论文的公式化表示:

三、论文整体模型的公式化表示流程:
1、首先进行时间门控卷机提取时间特征:
输入数据通过1D因果卷积(卷积核是kt),变成2C通道的向量,然后经过GLU激活函数,如下所示:

2、然后进行图卷积提取空间特征:

3、最后一个全连接层输出预测目标,损失函数如下所示:


