双目立体匹配经典算法之Semi-Global Matching(SGM)概述:匹配代价计算之Census变换(Census Transform,CT)...
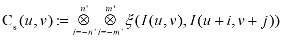
基于互信息的匹配代价计算主要依赖于初始视差值这一前提条件,因此,研究者Zabih和Woodfill 1提出的基于Census变换的方法在实际应用中得到了广泛应用。该方法的核心在于通过分析像素邻域内的灰度差异将像素值转换为二进制序列,进而生成中心像素的Census变换值Cs,如公式1所示:
式1

其中
式2

基于Census变换的方法用于计算匹配代价。该方法涉及计算左右影像中对应像素对的Census变换值之间的汉明(Hamming)距离, 即为此处所指的技术细节
式3

Hamming距离表示两个比特串在对应位置上不同的位的数量。其计算方式是将两个比特串执行按位异或操作后统计所得结果中未置1的二进制位的数量。
基于Census变换的匹配代价计算方法如图1所示,
图1 汉明距离示意图

观察图1可知,Census变换对于明暗变化不太敏感.由于采用了基于相对灰度关系的比较方式,即使在左右影像亮度存在差异的情况下,依然能够实现较为理想的匹配效果.
相较于互信息方法而言,Census算法具备显著的并行性能优势。具体而言,在处理图像数据时,Censust变换操作基于局部窗口计算,因此每一个像素的处理都可以完全独立进行,从而使得这一算法非常适合构建高效的多线程并行计算架构,无论是在CPU环境下还是在GPU架构下都能够达到极高的处理效率
在实际操作中,在单纯的进行匹配成本计算的情况下无法生成高质量的视差图;然而,在完成成本合并步骤之后才能获得更加精确的成本信息以反映各区域间的相似程度;后续的文章中我们将深入解析SGM的成本合并过程,请参考以下链接 >> link
Rahul Zabihi and John Woodfill. 基于非参数局部变换的视觉对应计算方法[J]. 第十九卷第四期, 第十五十一至十五八页. 出版年: 1994.
