图像质量评价指标:PSNR与SSIM
这篇文章介绍了用于评估图像质量的两个常用指标:峰值信噪比(PSNR)和结构相似性指数(SSIM)。PSNR是一种基于客观标准的评价方法,适用于比较原始图像和经过处理后的图像的质量差异;而SSIM则通过衡量两幅图像的结构相似性来评估它们的一致性程度。文章详细解释了这两个指标的定义、计算公式及其应用场景,并提到了如何通过参考另一篇博客来实现它们的代码实现。
本文旨在对图像质量评估指标进行概述。其中重点介绍了两种关键指标:Peak Signal-to-Noise Ratio(PSNR)与Structural Similarity Index(SSIM)。此外文章将详细阐述PSNR与SSIM的代码实现过程以确保算法的有效性与可操作性
该资源展现出显著的力量
无论是用于实验还是满足其他需求,在对图像进行一些处理时可能会导致其质量下降或信息被修改。
这些变化可以通过图像质量评价指标来评估。
我们提供的两个常用指标包括:
峰值信号与噪声比(Peak Signal-to-Noise Ratio, PSNR)
结构相似性指数(Structural Similarity Index, SSIM)
PSNR 是一种用于评估图像质量的测量指标
PSNR is the abbreviation for 'Peak Signal to Noise Ratio', also known as the peak signal-to-noise ratio, and it serves as an objective measure for evaluating images. It has limitations, and it is typically applied in a project involving maximum signal values and background noise contexts.
对于任意一个具有尺寸 m×n 的原始图像 I 和经过特定处理后的图像 K,在信号处理领域中,PSNR 被定义为:

在计算过程中采用的均方误差值为MSE

MAXI2 为图片可能的最大像素值。如果每个像素都由 8 位二进制来表示,那么就为 255。通常,如果像素值由 B 位二进制来表示,那么

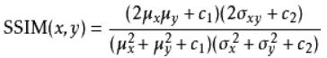
Structural Similarity Index(SSIM)
The SSIM (Structural Similarity Index) is a structural similarity measure that assesses the similarity between two images. It is typically applied to compare an original, uncompressed image with a compressed or distorted version.
对于任意两张图像X和Y来说, 它们的结构相似性可以通过以下公式进行计算


在结构相似性范围内,在0到1之间进行量化评估。当两个图像完全一致时,其SSIM值达到最大值1。
PSNR 和 SSIM 代码创建
该资源旨在提供基于 Python 的图像质量评估工具包的完整实现方案。
通过该工具包可以有效计算图像之间的 peak signal-to-noise ratio(PSNR)以及 structural similarity index(SSIM)。
该模块包含详细的算法实现步骤及性能优化方法,
旨在为研究人员提供高效且可靠的评价指标计算框架。
请将改写后的内容放置于【
该网页名为百度百科
