计算机毕设ssm社区独居老人健康管理系统25z459【附源码】
项目运行
环境配置:
Jdk1.8 + Tomcat7.0 + Mysql + HBuilderX(Webstorm也行)+ Eclispe(IntelliJ IDEA,Eclispe,MyEclispe,Sts都支持)。
项目技术:
ssm + mybatis + Maven +mysql5.7或8.0等等组成,B/S模式 + Maven管理等等。
环境需要
1.运行环境:最好是java jdk 1.8,我们在这个平台上运行的。其他版本理论上也可以。
2.IDE环境:IDEA,Eclipse,Myeclipse都可以。推荐IDEA;
3.tomcat环境:Tomcat 7.x,8.x,9.x版本均可
4.硬件环境:windows 7/8/10 4G内存以上;或者 Mac OS;
5.是否Maven项目: 否;查看源码目录中是否包含pom.xml;若包含,则为maven项目,否则为非maven项目
6.数据库:MySql 5.7/8.0等版本均可;
毕设帮助,指导,本源码分享,调试部署(见文末)
3.3系统用例分析
在设计系统的过程中,用例图是系统设计过程中必不可少的模型,用例图可以更为细致的,结合系统中人员的有关分配,能够从细节上描绘出系统中有关功能所完成的具体事件,确切的反映出某个操作以及它们相互之间的内部联系。
其中参与者就是和系统能够发生交互的外在实体,一般可以指系统的某个用户。一个用例图就能对应出系统中的一个功能过程,系统中完整的功能都是由许多不同的用例图所组成的。
系统用例图如下所示:
(1)管理员可以对个人中心、老人管理、服务商管理、医院简介管理、就诊记录管理、补助申请管理、系统管理等进行基本的信息管理。其用例分析如图3-1所示。

图3-1 管理员用例图
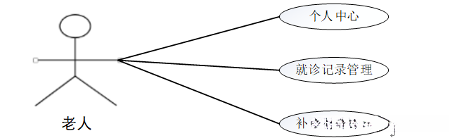
(2)老人可以对个人中心、就诊记录管理、补助申请管理等进行基本的信息管理。老人用例分析如图3-2所示。

图3-2 老人用例图
3.4系统流程分析
流程图就是用它已经特定的图形符号以及相应的线条,用来展现出系统在执行中的整个的过程。由于这种图形能够很方便的描绘系统的一系列流程,所以它的所有的图形符号是比较关键的,基本都是一个图形符号就能表示某个过程的一个单独的步骤。流程图不只是提供出比较完整、全面的执行过程,而且在整个团队的协作设计过程中,还可以发现其中有可能存在的缺陷以及不足,便于在后续的过程中能够及时的纠正和完善系统。
通过流程图可以对系统的需求和相关过程进行分析,能够详细的细分到每个部分的设计。对于设计者来说在开发过程中能够使用流程图作为基础,可以快速提高自身的逻辑思想,并且还能在后续的操作中能够有章可循,在系统的设计中最重要的就是程序的设计,然后才是程序的具体编写,流程图便是在设计过程中重要的工具,以下就是部分流程图设计。
每个用户都有专属的密码和账号,在输入合法的账号、密码以及验证之后即可进入系统。登录流程如图3-3所示:

图3-3 登录流程图
用户可以添加信息,内容没有问题之后按下确定键就添加成功了。添加信息的流程图如图3-4所示:

图3-4 添加信息流程图
用户可以选择多余的信息删掉,选中确认之后,删除信息的操作就完成了。删除信息流程图如图3-5所示:

图3-5删除信息流程图
4.1系统功能及工作原理设计
设计这个管理系统能使用户实现不需出门就可以在电脑前进行个人信息修改,对系统功能进行有效管理。
本系统由管理员和老人两大模块组成。通过数据交互与数据传输实现本系统的所有功能。
管理员登录进入系统可以对个人中心、老人管理、服务商管理、医院简介管理、就诊记录管理、补助申请管理、系统管理等功能进行管理。本网站模块设计的独立性强,用户体验良好、后期维护修改管理十分方便。
老人模块的主要设计是:在登陆成功后,本系统实现对个人中心、就诊记录管理、补助申请管理等功能进行详细操作;
本系统是以网络业务模式为基础的,适合于互联网的应用。只要能连接到互联网,就可以不受到时间和地点的限制来使用本系统。社区独居老人健康管理系统工作原理图,如图4-1所示。

图4-1 系统工作原理图
4.2程序结构图
本系统登录结构图,如图4-2所示。

图4-2 登录结构图
系统分成两个角色,根据每个角色的权限分析得出两大模块,包括管理员模块,和老人模块;管理员模块主要针对整个系统的管理进行设计,提高了管理的效率和标准。系统的总体模块功能设计如下图所示:。

图3-3 系统总体功能结构图
4.3数据库的设计
所有的网站设计都离不开数据库,数据库是所有项目实现如数据采集、数据传输等功能的基石。只有合理的数据库设计才能满足商业化的要求,主键外键数据库的连接方式尤为重要,尽量避免多对多的复杂性,字段命名合理标准,且易于理解,字段应根据业务设置,不允许操作字段而对系统有额外的占用内存。
4.3.1数据库实体及属性
本社区独居老人健康的E-R图描述了在系统中各个实体之间的联系,以下是对部分主要的关键实体如下:
服务商实体属性图,如图4-4所示。

图4-4服务商实体属性图
医院简介实体属性图,如图4-5所示。

图4-5医院简介实体属性图
补助申请实体属性图,如图4-6所示。

图4-6补助申请实体属性图
就诊记录实体属性图,如图4-7所示。

图4-7就诊记录实体属性图
关于我们实体属性图,如图4-8所示。

图4-8关于我们实体属性图
5.1系统功能实现
当人们打开系统的网址后,首先看到的就是首页界面。在这里,人们能够看到社区独居老人健康管理系统的导航条,通过导航条导航进入各功能展示页面进行操作。系统首页界面如图5-1所示:

图5-1 系统首页界面
服务商:在服务商页面的输入栏中输入药店名称、所属区域和服务区域进行查询,可以查看到服务商详细信息,并根据需要进行评论或收藏操作;服务商页面如图5-2所示:

图5-2服务商详细页面
个人中心:在个人中心页面通过填写个人详细信息进行更新信息操作;还可以对我的收藏进行详细操作;如图5-3所示:

图5-3个人中心界面
5.2后台模块实现
后台用户登录,在登录页面选择需要登录的角色,在正确输入用户名和密码后,点击登录进入操作系统进行操作;如图5-4所示。

图5-4 后台登录界面
5.2.1管理员功能实现
管理员进入主页面,主要功能包括对个人中心、老人管理、服务商管理、医院简介管理、就诊记录管理、补助申请管理、系统管理等进行操作。管理员主页面如图5-5所示:

图5-5 管理员主界面
管理员点击老人管理。在老人页面输入老人姓名、手机号和选择老人性别进行查询、新增或删除老人列表,并根据需要对老人详情信息进行详情、修改或删除操作;如图5-6所示:

图5-6老人管理界面
管理员点击服务商管理。进入服务商页面输入药店名称、所属区域和服务区域进行查询、新增或删除服务商列表,并根据需要对服务商详细信息进行详情、修改、查看评论或删除操作。如图5-7所示:

图5-7服务商管理界面
管理员点击医院简介管理。在医院简介页面输入医院名称和选择医院级别进行查询、新增或删除医院简介列表,并根据需要对医院简介详细信息进行详情、修改、查看评论或删除操作。如图5-8所示:

图5-8医院简介管理界面
管理员点击就诊记录管理。在就诊记录页面输入医生姓名、就诊地址和选择老人编号进行查询、新增或删除就诊记录列表,并根据需要对就诊记录详细信息进行详情、修改或删除操作。如图5-9所示:

图5-9就诊记录管理界面
管理员点击补助申请管理。在补助申请页面输入老人编号、申请时间和选择是否通过进行查询、批量审核或删除补助申请列表,并根据需要对补助申请详细信息进行详情、修改或删除操作。如图5-10所示:

图5-10补助申请管理界面
管理员点击系统管理。在系统公告页面输入标题进行查询、新增或删除系统公告列表,并根据需要对系统公告详细信息进行详情、修改或删除操作;还可以对轮播图管理、关于我们和系统简介进行详细操作。如图5-11所示:

图5-11系统管理界面
5.2.2老人功能实现
老人进入系统可以对个人中心、就诊记录管理、补助申请管理等功能进行操作。老人主页面如图5-12所示:

图5-12 老人主界面
JAVA****毕设帮助,指导,源码分享,调试部署
