量子力学概论_《量子力学概论》本科阶段重点知识梳理(手写笔记)

根据格里菲斯教授的《量子力学概论》整理而成的笔记,共16页纸,框架是比较清晰的。缺点是没有完全翻译成中文版,嗯~ o( ̄▽ ̄)o,但是大多数考点都翻译出来了。按照我的风格,笔记是挑着概念、重要结论等本科常考知识点来写的,有些地方可能比较草率,错误在所难免,欢迎指正。

图片来源于百度
Content
Part Ⅰ Theory
Chapter 1 wave function
- 1.1 Schrodinger equation
- 1.2 Born's statistical interpretation
- 1.3 Normalization
- 1.4 Momentum
Chapter 2 Time-independent SD equation
-
2.1 Stationary states
-
2.2 The infinite square well
-
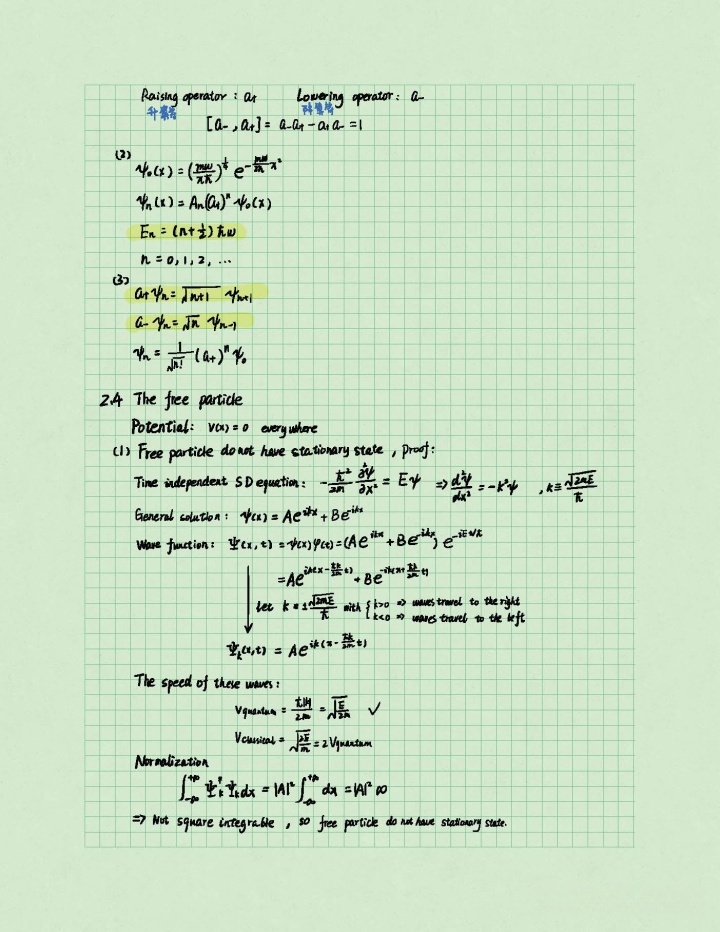
2.3 Properties of
-
2.4 The probability of getting the energy
-
2.5 The harmonic oscillator
-
2.6 The free particles
-
2.7 The delta function potential
Chapter 3 Formalism
- 3.1 Hilbert space
- 3.2 Hermitian
- 3.3 Uncertainty principle
- 3.4 General statistical interpretation
Chapter 4 Quantum mechanics in three dimensions
- 4.1 SD equation in three dimensions
- 4.2 Stationary states and time independent SD equation
- 4.3 In spherical coordinates
- 4.4 The hydrogen atom
- 4.5 Angular momentum
- 4.6 Pauli spin matrix
Chapter 5 Particles
- 5.1 Two particle systems
- 5.2 Distinguishable
- 5.3 Identical particles
- 5.4 Energy of 2-particle system
Part Ⅱ Applications (chapter 7 and 8 are not included, because they are seldom examined during exams)
Chapter 6 Time-independent perturbation theory
- 6.1 None-degenerate perturbation theory
- 6.2 Degenerate perturbation theory
Chapter 9 Time-dependent perturbation theory
- 9.1 The unperturbed system:Two-level system
- 9.2 The perturbed system
目录
第一部分 理论
第一章 波函数
- 1.1 薛定谔方程简介
- 1.2 波函数的统计诠释
- 1.3 波函数的归一化
- 1.4 动量
第二章 定态薛定谔方程
-
2.1定态
-
2.2 动量态 无限深势阱
-
2.3
的一些特性
-
2.4 得到能量
的概率
-
2.5 谐振子
-
2.6 自由粒子
-
2.7
势场
第三章 形式理论
- 3.1 希尔伯特空间
- 3.2 厄密共轭
- 3.3 不确定关系
- 3.4 广义统计诠释
第四章 三维情况下的量子力学
- 4.1 三维情况下的薛定谔方程
- 4.2 定态和定态薛定谔方程
- 4.3 在球坐标中的情况
- 4.4 氢原子
- 4.5 角动量
- 4.6 泡利自旋矩阵
第五章 粒子
- 5.1 两个粒子的量子系统
- 5.2 可分辨粒子
- 5.3 全同粒子
- 5.4 两个粒子的能量系统
第二部分 应用 (第七八章我猜考的很少所以直接忽略掉了)
第六章 定态(不依赖时间)微扰理论
- 6.1 非简并的微扰理论
- 6.2 简并时的微扰理论
第九章 依赖时间的微扰理论
- 9.1 不考虑微扰的系统
- 9.2 考虑微扰的系统
















总结一下
量子力学是一门很有意思的学科,我没学懂,完全没有catch到平行宇宙和量子力学有啥子关系,但我希望能把考试KO掉。
格里菲斯的《量子力学概论》从理论到应用,以态的概念、统计诠释、归一化、期望值等为基础,从薛定谔猜出的薛定谔方程(定态和非定态)出发,特别例举了各种势阱,并延伸出了一些算符、算法从而建立起了独有的体系。进一步的,到三维的情况下,结合球坐标和前面的算法已经可以描述氢原子和简单粒子系统的态和能量,并把量子力学应用到微扰项的修正中去。
我不知道我的理解对不对,我可能在胡说,我祝我考试顺利。
顺便,我把笔记的pdf下载链接附在这里吧。
网盘分享笔记链接:https://pan.baidu.com/s/1ywEm2JheotTERxvSnG8hTQ 提取码:pugmpan.baidu.com
链接:https://pan.baidu.com/s/1ywEm2JheotTERxvSnG8hTQ
提取码:pugm
Anyway,深夜未眠,头发要紧,在下先行告退。
