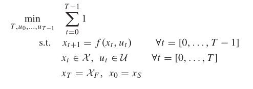
[论文笔记]Learning How to Autonomously Race a Car A Predictive Control Approach
Learning How to Autonomously Race a Car A Predictive Control Approach
本文提出一种学习模型预测控制器(LMPC),将驾驶问题建模成一个最小时间迭代控制任务。
通过设计的自动驾驶控制器,控制器控制车辆沿着赛道行驶,而目标就是使得行驶赛道一圈的时间最少。该策略在每个时间步更新终端成本和约束。特别地,在每个时间t,利用时间t−1的计划轨迹来构建一个本地终端成本和约束。
本文还提出了一个系统识别策略,利用运动学方程和先前迭代的数据来识别用于控制的仿射时变(TV)预测模型。使用一个局部线性回归器来学习输入和车辆速度之间的关系,将运动方程线性化,以逼近车辆位置随速度变化的函数。

输入向量为: 

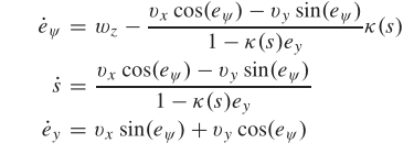
其中 Vx,Vy,Wz 分别为纵向速度、横向速度和角速度。 S 为沿道路中心线的行驶距离。 eψ,ey 与道路中心线之间的航向角和横向距离误差。 δ,a 是转向和加速指令。所以车辆的运动模型由以下公式描述,

而控制器的目标是驱动车辆从起点 Xs到达终点XF,而将该优化问题转化到单圈的控制时间

控制器设计
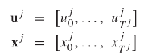
将成功绕赛道跑一圈当作一次完整的迭代过程,所以第j圈行进数据的迭代向量如下,其中 Tj 为到达终点集的时间。

局部凸安全集
定义x的K邻近凸包为
,其中


定义
,
,且从第 l 次迭代到第 j 次迭代,x的k个最近邻被收集到下面的矩阵中
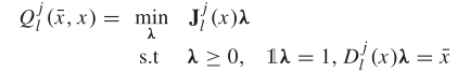
Q-Function



表示从第lth到第j次迭代中与x的k近邻相关联的开销,
表示车辆沿第j条轨迹(第j次迭代)从xj行驶到终点的时间。
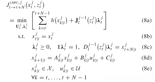
**Local LMPC **

(8a)中的
,(8b)、(8d)(8e)分别表示动态更新、实时状态、输入约束,(8c)用来限制
进入局部凸安全集。
j次迭代在t时刻的最优解为:

系统构建
动力学模型
上文提到的e_\psi、e_y、s满足以下动力学关系式:


其中dt表示时间离散化,且以上参数与车辆的物理参数无关,因为都是由速度和位置之间的运动学关系推导出来的。
动态模型
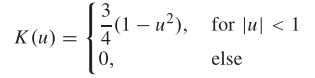
动力学方程取决于与车辆、轮胎和沥青相关的物理参数,作者认为非线性运动动力学方程应该被线性化。使用局部线性回归器直接学习x周围的线性模型,而不是识别非线性模型的参数然后将其线性化。引入Epanechnikov核函数



ATV模型
在第j次迭代的时刻t,定义候选解



其中
可求得


实验结果
本文的控制策略在真实的小车平台上实现了,机器人操作系统(ROS)框架下,利用Python和二次程序算子分裂求解器实现了控制体系结构。初始化算法,以恒定速度执行两圈路径跟踪。每第j次迭代收集两个连续圈的数据。也定义了局部安全集和局部Q函数。这种策略允许重复自主的驾驶控制任务执行LMPC。在每第j圈,使用LMPC将车辆从起点行驶到终点,使用闭环数据来更新下一圈的控制器。
从下图可以看出,绕圈时间逐渐减少,直到29圈后达到收敛。

下图显示了来自惯性测量单元(IMU)的原始加速度测量结果。确保控制器能够在其操纵能力的极限下操纵车辆。

下图为闭环轨迹在xy平面上的演化及彩色编码的速度剖面。在第一行中,展示了用于初始化LMPC的跟踪轨迹,以及第7圈和第15圈的闭环轨迹。我们注意到控制器偏离初始可行轨迹探索状态空间,并以更高的速度驾驶车辆,直到它收敛到稳定状态。第二行的图表示30圈到第34圈的稳态轨迹。

补充
nonlinear model predictive control (NMPC)
是在一个实验装置上使用精确的Hessian序列二次程序(SQP)型优化算法实现
R. V erschueren, M. Zanon, R. Quirynen, and M. Diehl, “Time-optimal race car driving using an online exact hessian based nonlinear MPC algorithm,” in Proc. Eur. Control Conf. (ECC), Jun. 2016, pp. 141–147.
model predictive contouring control (MPCC)
控制器的目标是在轨迹的进程和轮廓误差之间进行权衡。
A. Liniger, A. Domahidi, and M. Morari, “Optimization-based autonomous racing of 1:43 scale RC cars,” Optim. Control Appl. Methods, vol. 36, no. 5, pp. 628–647, 2015.
**learning model predictive controller(LMPC) **
提出将自动驾驶问题重新规划为迭代控制任务。控制器并不是基于预先计算的赛车路线,而是通过体验一个轨迹来学习,从而最小化单圈时间。
–647, 2015.
**learning model predictive controller(LMPC) **
提出将自动驾驶问题重新规划为迭代控制任务。控制器并不是基于预先计算的赛车路线,而是通过体验一个轨迹来学习,从而最小化单圈时间。
