使用ggplot2添加垂直的竖线(Vertical Line)
发布时间
阅读量:
阅读量
使用ggplot2添加垂直的竖线(Vertical Line)
在数据可视化领域中,垂直线条(vertical lines)常被用作视觉标记。这些线条不仅可用来强调特定数值或位置的关键点,还可以作为数据分区的分隔线。对于R语言用户来说,在ggplot2包中实现这一功能较为简便。
以下是使用ggplot2添加垂直的竖线的步骤。
步骤1:导入数据
第一步是为了获取要可视化的数据构成的集合。 例如,在这个例子中,我们使用mtcars数据集将被用于可视化。
library(ggplot2)
data(mtcars)
AI助手
步骤2:创建基础图表
随后,在开始数据分析前段准备阶段时
ggplot(data = mtcars, aes(x = wt, y = mpg)) +
geom_point()
AI助手

步骤3:添加垂直的竖线
现在我们已经完成生成基础图表,并且可以调用geom_vline()函数来绘制垂直线条。该函数必须设置一个xintercept参数,并由其决定垂直线条在x轴上的位置。
ggplot(data = mtcars, aes(x = wt, y = mpg)) +
geom_point() +
geom_vline(xintercept = 3.5)
AI助手

除了我们还可以设置相关参数之外,还可以自定义竖线样式的颜色,大小以及线条类型
ggplot(data = mtcars, aes(x = wt, y = mpg)) +
geom_point() +
geom_vline(xintercept = 3.5, color = "red", size = 1, linetype = "dashed")
AI助手

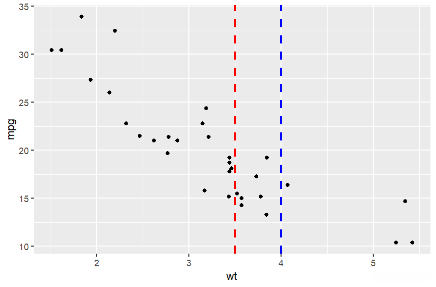
步骤4:添加多个垂直的竖线
如果需要增加多条垂直线条,则可以通过重复调用...函数,并指定每个线条对应的不同的xintercept值。
ggplot(data = mtcars, aes(x = wt, y = mpg)) +
geom_point() +
geom_vline(xintercept = c(3.5, 4.0), color = c("red", "blue"), size = 1, linetype = "dashed")
AI助手

这将在图表中添加两个垂直的竖线,一个红色、一个蓝色。
全部评论 (0)
还没有任何评论哟~
