Games101-课程17笔记
目录
什么是材质?
朗伯模型
ldeal reflective / refractive material(BSDF*)
反射公式
BTDF镜面折射
Snell’s Law(折射定律)
菲涅尔项
绝缘体(光密度为1.5)的菲尼尔项
导体的菲尼尔项
菲尼尔项公式
--近似值:schlick的近似值(得到广泛应用)
微表面模型
关键:微表面法线的分布
关键: 法线分布的方向性
总结: BRDF的性质
1.非负性
2.线性性质(可拆分)
3.互易性: 光传输路径可逆性
4.能量守恒
5.各向同性 vs. 各向异性
测量BRDFs (Measuring BRDFs)
第十七节课: 材质的外观
什么是材质?

材质就是BRDF(双向反射分布函数)

均匀颜色漫反射BRDF 纹理漫反射BRDF
lambertian material(朗伯模型)
最简单的 BRDF 之一是Lambertian模型。它模拟了一个完美的漫反射表面,在半球所有方向上均匀地散射入射照明
1.假设入射光是均匀的
2.根据能量守恒,着色点附近的radiance和irradiance相等
3.BRDF与radiance都是常数,简化式子
4.剩余的就是半球上对的积分: 
, 结果等于Π
5.因为假设入射能量等于出射能量, 所以BRDF等于1/Π, BRDF等于1/Π代表物体完全不吸收能量的(纯白)

我们可以定义一个反射率
, 它在0~1之间
BRDF的值等于
Glossy material(BRDF)有光泽的材料
不完全的镜面反射, 略粗糙

展示图

ldeal reflective / refractive material(BSDF*)
理想的反射/折射材料(例如水,玻璃)


完美镜面反射

反射公式
入射方向和反射方向的中间一定是物体的法线
ps: Top-down(从上往下看左图)

效果图

BTDF镜面折射
除了从表面反射外,光还可以通过表面折射
光从一个介质进入新介质时会发生折射(有条件)

Snell’s Law(折射定律)
传输角度取决于
① 入射光线的折射率(IOR) ② 出射光线的折射率(IOR)

完全镜面反射:
根据入射光线和物体法线
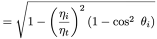
用折射定律公式推算出

而当根号下的数小于0时, 也就是, 无意义. 进而知道无意义代表无折射现象.
ps: 光密度定义为材料遮光能力的表征
① 当光从光密度较高的介质移动到光密度较小的介质时:, 例如从水到空气, 就没有折射
② 从足够大的角度入射到物体表面的光不会离开原来介质

从水往空气方向看(光从空气介质到水介质), 在锥形(97.2°)里能看到光, 但是其它地方看不到

BSDF(散射)=BRDF(反射) + BTDF(折射)
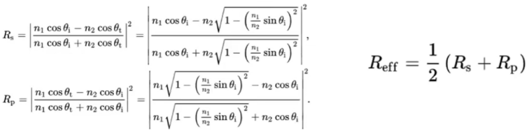
菲涅尔项Fresnel Reflection/Term
反射率取决于入射角(和光的偏振)
下图例子:反射率随着入射角的增加而增加

绝缘体(光密度为1.5)的菲尼尔项
x轴是入射角(入射方向与物体法线夹角)
y轴是反射率(反射的能量/全部能量)
例如 :
① 光垂直物体表面(0°)只有接近0.05的能量被反射
② 光平行物体表面(90°)则全部反射

导体的菲尼尔项
例如: 金属, 镜子
无论是光线垂直于物体表面(0.9~0.93), 还是平行于物体表面(接近1), 反射率都很高(反射出来的能量很高)

导体的折射率是一个复数, 这里没有详细介绍
S polarization: S极化
P polarization: P极化
菲尼尔项公式
一般不考虑出现极化, 直接取中间值
--准确:需要考虑极化

--近似值:schlick的近似值(得到广泛应用)
已知准确的函数图, 拟合出一个近似方便计算的函数图
R0: 基准反射率
: 入射角度

无论哪个公式, 都是涉及
- n1(介质1的光密度)/n2(介质2的光密度)
- 入射方向
, 法线
微表面模型Microfacet Material
为什么我们看不到地球上具体的东西(比如图中照射的是澳大利亚的沙漠, 很粗糙), 而是一个高光?
如何描述这种现象?

① 粗糙的表面
-宏观:平坦和粗糙
-微观:颠簸和镜面
② 表面的各个元素就像镜子一样
-称为微表面
-每个微表面都有自己的法线

关键:微表面法线的分布
法线集中 <==>高光
法线散布 <==>漫反射

什么样的微表面反射了 wi 到 wo
(提示:微表面是镜子)
= 菲涅耳项, 从入射方向i到物体表面的反射率
= 几何项(自遮挡), 光线被物体粗糙的表面挡住了, 入射方向几乎垂直法线, 导致法线后面的物体接收不到光.
 = 法线分布, 因为微表面是镜子, 遍历有多少微表面法线的向量与中间向量h一致

效果非常好, 得到广泛应用
当然, 它也是有缺点的, 并不是基于物理, 而且会有diffuse上的缺失.
效果图:

各向同性/各向异性材质(BRDFs)
电梯里的金属, 被打磨过的, 所以产生高光为这样.

关键: 法线分布的方向性
Isotropic(各向同性): 法线分布具有均匀的方向性
AnIsotropic(各向异性): 法线分布具有明确的方向性
说明从微表面方向性,能看出材质属于各向同性/各向异性

也可以从BRDFs角度分辨是各向同性还是各向异性
各向异性BRDF: 反射取决于方位角, 入射和出射方向相对位置不变,也会影响结果, 结果形成表面的定向微观结构,例如拉丝金属(右球)
各向同性BRDF: 入出射方向相对位置不变,结果不变.(左球)

各向异性 BRDF:
① 拉丝金属

② 尼龙(很接近各向同性)

③ 天鹅绒(如果毛均匀得往各个方向去, 它是各向同性)

但是人可以拨动天鹅绒的纤维, 造成人为的各向异性.

在球坐标中,每一个方向都用两个角度来表示。方位角 φ,仰角 θ。这两个角确定了一个方向 Θ(φ,θ)

总结: BRDF的性质
1.非负性

2.线性性质(可拆分)

3.互易性: 光传输路径可逆性

4.能量守恒

5.各向同性 vs. 各向异性
各向同性: 
各向异性: 
各向同性可以从四维降到三维, 只考虑相对方位角.
所有的BRDF(不管各向同性还是异性), 根据互易性(光路可逆性), 不用考虑相对方位角的正负和大小.

测量BRDFs (Measuring BRDFs)
为什么要测量BRDFs?
避免需要开发/派生模型
-自动包含所有存在的散射效果
可以使用真实世界的材质准确渲染
-可用于产品设计、特殊效果、...
理论(蓝线) vs实践(other)

实际测量方法: 基于图像的 BRDF 测量
ps: 对不同的着色点进行光照, 同时也用摄像机不同的角度观察着色点, 得到不同的wi,wo, 然后对不同的结果进行总结BRDF.

测量仪器:

一般的测量BRDFs做法:
foreach 传出方向 wo
用来自 wo 的细光束移动光线以照亮表面
foreach传入方向 wi
将传感器从表面移动到方向 wi
测量入射辐射
提高测量效率:
- 各向同性表面将维度从 4D 降低到 3D
- 光路可逆性将测量次数减少一半
- 聪明的光学系统
测量BRDF的难题
① 掠射角的精确测量
-由于菲涅耳效应很重要
② 使用足够密集的采样进行测量以捕获高频镜面反射
③ 逆反射
④ 空间变化的反射率
存储测量的 BRDF
理想的存储要求:
① 紧凑的存储
② 测量数据的准确存储
③ 任意方向对的有效评估
④ 可用于重要性抽样的良好分布
表格存储 (Tabular Representation)
将规则间隔的样本存储在
更好:重新参数化角度以更好地匹配镜面反射
一般需要将测量值重新采样到表中
非常高的存储要求

