【视觉SLAM十四讲】视觉里程计—特征点法
本文为视觉 SLAM 学习笔记,讲解视觉里程计中的特征点法。
本讲内容概要
- 图像特征的意义,在单幅及多幅图像中提取特征点。
- 对极几何的原理,利用对极几何的约束恢复图像间相机的三维运动
- PnP 问题,利用已知三维结构与图像的对应关系求解相机的三维运动
- ICP 问题,利用点云的匹配关系求解相机的三维运动
- 通过三角化获得二维图像上对应点的三维结构
特征点法
经典 SLAM 模型中以位姿——路标(Landmark)来描述 SLAM 过程。我们在经典 SLAM 系统中说的运动方程是位姿与位姿之间的关系,而观测方程说的是位姿与路标的关系。
路标是三维空间中固定不变的点,且需满足以下的特点:
- 数量充足,以实现良好的定位
- 较好的区分性,以实现数据关联
在视觉 SLAM 中,·通常利用图像特征点作为 SLAM 中的路标,称为特征法。
特征点
特征点是图像中比较有代表性的部分,例如下图中的角点、边缘、区块:

好的特征点需要满足以下几个特点:
- 可重复性:在不同地方观察同一特征点,相差不应该过大
- 可区分性:不同特征点应该易于辨别
- 高效:特征点的提取和匹配效率要高
- 本地:特征只与图像局部性质有关
我们很容易看出,区分性排序为:角点>边缘>区块。因此在视觉 SLAM 中,我们通常使用角点作为特征点,边缘在某些情况下会用到,区块一般不用。
特征点的信息
特征点自己的信息有位置、大小、方向、评分等,称为关键点。
我们一般不通过特征点本身来区分特征点,而是通过点周围的图像来区分,因为同一特征点可能因为光照等因素的变化亮度差很大,误被识别为不同特征点。特征点周围的图像信息被称为描述子。描述子随着相机角度或光照的变化而变化不大。
当我们要找到表现好的描述子,其计算量会变大。SIFT 具有平移、缩放和旋转的不变性,性能高但计算量很大。比如 ORB 描述子为简单描述子,只有平移或缩放(尺度)不变性,性能不高但计算量小,可以满足实时性。目前 ORB 描述子在 SLAM 中是一种很好的描述。
如果你对各种关键点和描述子感兴趣,建议参考 OpenCV features2d 模块。
ORB 特征
因为 ORB 是 SLAM 中较为成功的一种描述,我们以它为代表介绍特征。SIFT 的相关资料已经有很多介绍,可自行查阅。
ORB 的关键点是一个 Oriented FAST,即带旋转的 FAST ,其描述也是带旋转的 BRIEF。FAST 和 BRIEF 都是在特征描述中属于较为简单实时性好,但精度不好的方式,SLAM 中图像位移不大时也是可以匹配到的。
FAST 是一种关键点。其思想为:以一个点为中心,周围取像素,如果连续有 n 个点的灰度值与中心点相差一个阈值以上,我们就认为该点为关键点。这种方式计算量很小,只是比大小,因此提取 FAST 点速度很快,还可以使用一些加速手段。如取中心点周围 10 个点进行比较,则称为 FAST10。但是这样提取到 FAST 点太多,我们还需要网格等计算评分来筛选出好的特征点,然后特征点就可以使用了。

但是这样提出的 FAST 只是一个位置,我们还需要计算一个 FAST 旋转。旋转相当于图像的重心,如果左边为暗右边为亮则指向右边,最后计算得到的是图像梯度指向的角度。旋转的计算过程如下:
在一个小的图像块 B 中,定义图像块的矩为:
m_{pq}=\sum\limits_{x,y∈B}x^py^qI(x,y),\quad p,q=\{0,1\}
通过矩可以找到图像块的质心:
C=(\frac{m_{10}}{m_{00}},\frac{m_{01}}{m_{00}})
连接图像块的几何中心 O 与质心 C,得到一个方向向量 \vec{OC},于是特征点的方向可以定义为:
\theta=arctan(m_{01}/m_{10})
FAST 只有平移不变性和旋转不变性,但没有尺度(缩放)不变性。尺度不变性为:当从远处和近处看向 FAST 是否还是角点,或者分辨率不同的情况下 FAST 角点还是不是角点。解决这个问题,我们一般会将图像做一个图像金字塔。最底层为图像最原始的分辨率,上面几层为原始图像缩小后的图像,最终构成一个分辨率不同大小的图像为金字塔。我们可以给每层提取一个 FAST,这样就获得了各种尺度下的 FAST 特征,我们可认为其具有一定程度上的尺度不变性。
BRIEF
BRIEF 是一种二进制的描述子,如 BRIEF-128 为 128 位,每一位表示附近每个点对 A、B 的大小关系,使用汉明距离进行计算。BRIEF 描述了附近图像的信息,可作为 FAST 点的描述。A、B 点对的选取可随机均匀分布、满足高斯分布或满足特定 pattern。已有文献对不同的选取方式进行了测试,结果相差不大,我们可以随机选取。在选定某种固定的 pattern 后不能再变,否则失去了比较的意义。
在计算描述的时候,需要先将图像按照 FAST 中计算的角度进行旋转,再去进行比较,称为旋转后的 BRIEF。下图为 ORB-SLAM 的 pattern:

特征匹配
我们已经有了两张图的特征点,现在需要通过判断描述子的差异来判断哪些特征为同一个点。
最简单的特征匹配方法为暴力匹配 ,即 A 中一特征点与 B 中所有特征点之间计算描述子的距离,哪个最小就匹配哪个。描述子距离表示了两特征间的相似程度,可取不同的距离量度范数。对于浮点类型的描述子,使用欧氏距离,对于二进制的描述子(如 BRIEF),使用汉明距离。
当想要某帧和一张地图时,暴力匹配运算量过大,需要**快速近似最近邻(FLANN)**算法来加速。因为其过程较为复杂,且实现已经集成到 OpenCV,这里不进行介绍,如果感兴趣可自行百度。
实践:特征提取和匹配
OpenCV 的安装见 Ubuntu 安装 OpenCV。
首先读取两张图像,在这两张图像间进行特征匹配:
if ( argc != 3 )
{
cout<<"usage: feature_extraction img1 img2"<<endl;
return 1;
}
//-- 读取图像
Mat img_1 = imread ( argv[1], CV_LOAD_IMAGE_COLOR );
Mat img_2 = imread ( argv[2], CV_LOAD_IMAGE_COLOR );
然后申请关键点、描述子和匹配:
//-- 初始化
std::vector<KeyPoint> keypoints_1, keypoints_2;
Mat descriptors_1, descriptors_2;
Ptr<FeatureDetector> detector = ORB::create(); // 在这里可以设置提取特征点的数量
Ptr<DescriptorExtractor> descriptor = ORB::create();
// 不能使用欧氏距离,要声明汉明距离
Ptr<DescriptorMatcher> matcher = DescriptorMatcher::create ( "BruteForce-Hamming" );
第一步:检测 Oriented FAST 角点位置
detector->detect ( img_1,keypoints_1 );
detector->detect ( img_2,keypoints_2 );
第二步:根据角点位置计算 BRIEF 描述子
descriptor->compute ( img_1, keypoints_1, descriptors_1 );
descriptor->compute ( img_2, keypoints_2, descriptors_2 );
Mat outimg1;
// 画出提取的特征
drawKeypoints( img_1, keypoints_1, outimg1, Scalar::all(-1), DrawMatchesFlags::DEFAULT );
imshow("ORB特征点",outimg1);
第三步:对两幅图像中的 BRIEF 描述子进行匹配,使用 Hamming 距离
vector<DMatch> matches;
//BFMatcher matcher ( NORM_HAMMING );
matcher->match ( descriptors_1, descriptors_2, matches );
第四步:匹配点对筛选。因为使用了暴力匹配,第一个图中的每个点不一定都在第二张图中有匹配,因此存在很多误匹配的点,要进行筛选。
double min_dist=10000, max_dist=0;
//找出所有匹配之间的最小距离和最大距离, 即是最相似的和最不相似的两组点之间的距离
for ( int i = 0; i < descriptors_1.rows; i++ )
{
double dist = matches[i].distance;
if ( dist < min_dist ) min_dist = dist;
if ( dist > max_dist ) max_dist = dist;
}
// 仅供娱乐的写法
min_dist = min_element( matches.begin(), matches.end(), [](const DMatch& m1, const DMatch& m2) {return m1.distance<m2.distance;} )->distance;
max_dist = max_element( matches.begin(), matches.end(), [](const DMatch& m1, const DMatch& m2) {return m1.distance<m2.distance;} )->distance;
printf ( "-- Max dist : %f \n", max_dist );
printf ( "-- Min dist : %f \n", min_dist );
//当描述子之间的距离大于两倍的最小距离时,即认为匹配有误.但有时候最小距离会非常小,设置一个经验值30作为下限.
std::vector< DMatch > good_matches;
for ( int i = 0; i < descriptors_1.rows; i++ )
{
if ( matches[i].distance <= max ( 2*min_dist, 30.0 ) )
{
good_matches.push_back ( matches[i] );
}
}
第五步:绘制匹配结果
Mat img_match;
Mat img_goodmatch;
drawMatches ( img_1, keypoints_1, img_2, keypoints_2, matches, img_match );
drawMatches ( img_1, keypoints_1, img_2, keypoints_2, good_matches, img_goodmatch );
imshow ( "所有匹配点对", img_match );
imshow ( "优化后匹配点对", img_goodmatch );
waitKey(0);
如果此时发生报错:
pose_estimation_3d2d.cpp:151:50: error: no matching function for call to ‘g2o::BlockSolver<g2o::BlockSolverTraits<6, 3> >::BlockSolver(g2o::BlockSolver<g2o::BlockSolverTraits<6, 3> >::LinearSolverType*&)’
Block* solver_ptr = new Block ( linearSolver ); // 矩阵块求解器
^
In file included from /usr/local/include/g2o/core/block_solver.h:199:0,
from /home/xin/Slam/slambook/slambook-master/ch7/pose_estimation_3d2d.cpp:10:
出现这种错误的原因是 g2o 的新旧版本间指针类型不匹配。我们需要进行修改。
在 pose_estimation_3d2d.cpp 中,第 151-152 行,修改前代码如下:
Block* solver_ptr = new Block ( linearSolver ); // 矩阵块求解器
g2o::OptimizationAlgorithmLevenberg* solver = new g2o::OptimizationAlgorithmLevenberg ( solver_ptr );
修改后代码(修改的是 151-152 行):
Block* solver_ptr = new Block ( std::unique_ptr<Block::LinearSolverType>(linearSolver) ); // 矩阵块求解器
g2o::OptimizationAlgorithmLevenberg* solver = new g2o::OptimizationAlgorithmLevenberg ( std::unique_ptr<Block>(solver_ptr) );
在 pose_estimation_3d3d.cpp 中,第 279-280 行,修改前代码如下:
Block* solver_ptr = new Block( linearSolver ); // 矩阵块求解器
g2o::OptimizationAlgorithmGaussNewton* solver = new g2o::OptimizationAlgorithmGaussNewton( solver_ptr );
修改后代码:
Block* solver_ptr = new Block( std::unique_ptr<Block::LinearSolverType>(linearSolver) ); // 矩阵块求解器
g2o::OptimizationAlgorithmGaussNewton* solver = new g2o::OptimizationAlgorithmGaussNewton( std::unique_ptr<Block>(solver_ptr) );
最后在 1.png, 2.png 下执行:
./build/feature_extraction 1.png 2.png
提取的特征点如下图,可见特征点都集中在灰度变化明显的地方:

暴力匹配得到的匹配结果,存在大量误匹配:

经过筛选之后,剩下的匹配大多都是正确的匹配:

特征点匹配后,得到了特征点之间的关系:
- 若只有两个单目图像,得到 2D-2D 间的关系——对极约束
- 若匹配的是帧和地图,得到 3D-2D 间的关系——PnP
- 若匹配的是 RGB-D 图,得到 3D-3D 间的关系——ICP
2D-2D:对极几何
对极约束
现在,我们以及找到了很对匹配的点,下面为其中的一个点对:

几何关系:
两个相机中心分别为 O_1,O_2,P 在两个图像的投影为 p_1,p_2,连线 \vec{O_1p_1},\vec{O_2p_2} 在三维空间中相交于点 P,为路标点
l_1 为 \vec{O_2p_2} 在平面 I_1 的投影,称为极线,e_1,e_2 称为极点
两个相机之间的变换为 T_{12}
实践中:
- p_1,p_2 通过特征匹配得到,P 未知,e_1,e_2 未知,T_{12} 待求。
- 这是一个通过匹配点建图和求解位姿的问题,是经典的 SLAM 问题
我们设世界坐标为 P=[X,Y,Z]^T。由相机模型,两个像素点 p_1,p_2 的像素位置为:
s_1p_1=KP, \quad s_2p_2=K(RP+t)
使用归一化坐标(去掉内参):
x_1=K^{-1}p_1, \quad x_2=K^{-1}p_2
x_1,x_2 是两个像素点的归一化平面上的坐标,带入上式得齐次关系:
x_2=Rx_1+t
两侧左乘 \hat t,相当于两边同时与 t 叉乘:
\hat t x_2=\hat t Rx_1
两边左乘 x_2^T:
x_2^T\hat t x_2=x_2^T\hat t Rx_1
因为 \hat t x_2 是一个与 t 和 x_2 都垂直的向量,与 x_2 做内积时为 0:
x_2^T\hat t Rx_1=0
重新代入 p_1,p_2:
p_2^TK^{-T}\hat tRK^{-1}p_1=0
上面两个式子为对极约束 。
设本质矩阵 E=\hat tR,基础矩阵 F=K^{-T}EK^{-1},上式化简为:
x_2^TEx_1=p_2^TFp_1=0
在 SLAM 中内参 K 已知,可以使用 E。
尺度不确定性
在前面 x_2^T\hat t Rx_1=0 中,给 R 数乘后等式仍成立,则 E=\hat tR 有多解,为尺度不确定性。
位姿估计的步骤
- 根据匹配点对的像素位置求出 E
- 由 E 恢复 R,t
对极约束性质:
- 乘任意非零常数,对极约束仍满足,E 在不同尺度下等价
- 平移和旋转共 3 个自由度,\hat tR 共 6 个自由度,由于尺度不变性会丢失一个自由度,故 E 只有 5 个自由度。但 E 的非线性性质会使 5 对点求解困难
- 将 E 当作普通矩阵用 8 点法估计 E,只利用了 E 的线性性质。
本质矩阵——八点法求 E
考虑一对匹配点的对极约束:

将 E 展开为向量形式:
\vec{e}=[e_1,e_2,e_3,e_4,e_5,e_6,e_7,e_8,e_9]^T
对极约束可以写为线性形式:
[u_1u_1,u_1v_2,u_1,v_1u_2,v_1v_2,v_1,u_2,v_2,1]·\vec{e}=0
将 8 对点放入方程中,得到线性方程组:

ax=0,解出 x 得到 E 即可。方程的解是欠定的,ke 也是方程的解。这与 e 的尺度等价性是一致的。
从 E 计算 R,t:奇异值(SVD)分解:
E=U\Sigma V^T
\hat{t_1}=UR_Z(\frac{\pi}{2})\Sigma U^T, \quad R_1=UR_Z^T(\frac{\pi}{2})V^T
\hat{t_2}=UR_Z(-\frac{\pi}{2}\Sigma U^T), \quad R_2=UR_Z^T(-\frac{\pi}{2})V^T
得到四组解:

将验证点带入解中,只有 1 个为正,即为正确解。
讨论八点法
- 用于单目初始化。相机运动过程中地图为 3D 的,可以使用 PnP 求解,因此八点法只在初始化时使用
- 尺度不确定性:将轨迹和地图缩放任意倍,得到观测值相同。因此在实际中,我们将 t 归一化或将特征点的平均深度设为 1。即要么限制运动,要么限制结构,否则会任意倍的放缩
- 纯旋转时,即 t=0 时,E=0 无法分解
- 因为两张图有很多特征点,当多于 8 对时,我们计算最小二乘法或 RANSAC(后面会详细讲解)。
单应矩阵
从单应矩阵恢复 R,t 时,八点法在特征点共面时会退化。设特征点位于某平面上:n^TP+d=0 或 -\frac{n^TP}{d}=1。则两个图像特征点的坐标关系为:
p_2=K(RP+t)=…=K(R-\frac{tn^T}{d})K^{-1}p_1
我们得到了直接描述图像坐标 p_1 和 p_2 间的变换。将中间的部分记为 H:
p_2=Hp_1
展开后有:

写成关于 H 的线性方程:

类似八点法,先计算 H,再用 H 恢复 R,t,n,d,K。
小结
在 2D-2D 情况下,只知道图像坐标之间的对应关系。
- 当特征点在平面上时(例如俯视和仰视),使用 H 恢复 R,t
- 否则使用 E 或 F 恢复 R,t
求得 R,t 后,利用三角化计算特征点的 3D 位置,即深度。
实践:对极约束求解相机运动
首先是特征点匹配封装为一个函数,具体内容与前面实践相同:
void find_feature_matches (
const Mat& img_1, const Mat& img_2,
std::vector<KeyPoint>& keypoints_1,
std::vector<KeyPoint>& keypoints_2,
std::vector< DMatch >& matches );
然后计算基础矩阵、本质矩阵和单应矩阵,并恢复相机位姿 R_{21},t_{21}:
//-- 计算基础矩阵
Mat fundamental_matrix;
fundamental_matrix = findFundamentalMat ( points1, points2, CV_FM_8POINT );
cout<<"fundamental_matrix is "<<endl<< fundamental_matrix<<endl;
//-- 计算本质矩阵
Point2d principal_point ( 325.1, 249.7 ); //相机光心, TUM dataset标定值
double focal_length = 521; //相机焦距, TUM dataset标定值
Mat essential_matrix;
essential_matrix = findEssentialMat ( points1, points2, focal_length, principal_point );
cout<<"essential_matrix is "<<endl<< essential_matrix<<endl;
//-- 计算单应矩阵
Mat homography_matrix;
homography_matrix = findHomography ( points1, points2, RANSAC, 3 );
cout<<"homography_matrix is "<<endl<<homography_matrix<<endl;
//-- 从本质矩阵中恢复旋转和平移信息.
recoverPose ( essential_matrix, points1, points2, R, t, focal_length, principal_point );
cout<<"R is "<<endl<<R<<endl;
cout<<"t is "<<endl<<t<<endl;
然后还可以对其进行验证,验证对极约束是否近似为 0:
Mat K = ( Mat_<double> ( 3,3 ) << 520.9, 0, 325.1, 0, 521.0, 249.7, 0, 0, 1 );
for ( DMatch m: matches )
{
Point2d pt1 = pixel2cam ( keypoints_1[ m.queryIdx ].pt, K );
Mat y1 = ( Mat_<double> ( 3,1 ) << pt1.x, pt1.y, 1 );
Point2d pt2 = pixel2cam ( keypoints_2[ m.trainIdx ].pt, K );
Mat y2 = ( Mat_<double> ( 3,1 ) << pt2.x, pt2.y, 1 );
Mat d = y2.t() * t_x * R * y1;
cout << "epipolar constraint = " << d << endl;
}
得到的矩阵输出结果如下,其中 E 与 \hat tR 只差一个倍数:

验证对极约束,因为误差的存在,得到的结果近似为 0:

OpenCV 中仅使用了 E 来求解 R,t,关于如何使用 H 求解位姿没有直接提供,可以参考 ORB-SLAM 和 SVO。
三角测量
前面已经求解出了运动,现在要根据运动求解特征点的 3D 位置。几何关系为:
s_1x_1=s_2Rx_2+t
求 s_2 时,两侧乘 \hat{x_1}:
s_1\hat{x_1}x_1=0=s_2\hat{x_1}Rx_2+\hat{x_1}t
反之亦然。
或者同时解 s_1,s_2,求 [-Rx_2,x_1]\left[ \begin{matrix} s_1 \\ s_2 \end{matrix} \right]=t 的最小二乘解:
x=(A^TA)^{-1}A^Tb
系数矩阵的伪逆不可靠,A^TA 行列式近似 0。
解得深度的质量与平移相关,但平移大时特征匹配可能不成功。相机前进时虽然有位移,但位于图像中心的点无法三角化(没有视差)。
实践:三角测量
直接调用 OpenCV 中的接口,传入 2D 位姿,得到齐次坐标:
Mat pts_4d;
cv::triangulatePoints( T1, T2, pts_1, pts_2, pts_4d );
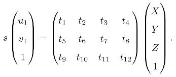
3D-2D:PnP
已知 3D 点的空间位置(世界坐标)和相机上的投影点,求解相机的旋转和平移(外参)。有两种方法:
- 代数:构造线性方程问题,用线性代数方法求解。不鲁棒。方法有 DLT、P3P 等。
- 优化:构建优化问题,通常定义误差,最小化误差。有初始值时通常选择优化方法。方法有 Bundle Adjustment
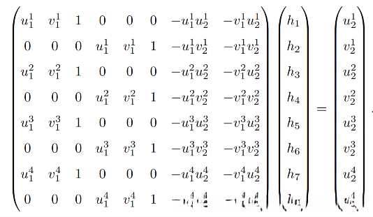
直接线性变换(DLT)
设空间点 P=(X,Y,Z)^T,其投影点位 x=(u,v,1),用归一化坐标表示。投影关系为 sx=[R|t]p,这里 [R|t] 为增广矩阵,展开后有:

其中 x,p 已知。将其看成关于 t 的线性方程,求解 t。注意最下面的一行:
s=[t_9,t_{10},t_{11},t_{12}][X,Y,Z,1]^T
用它消去前两行的 s,则一对特征点可以提供 2 个方程:
t_1^TP-t_3^TPu_1=0, \quad t_2^TP-t_3^TPv_1=0
因此,为了求解 12 个未知数,需要 12/6=6 对点。如果超出 6 对,求解最小二乘解。
我们在 DLT 时将 R,t 看作了独立的未知量,因此求解后的结果可能不满足旋转矩阵的约束,因此我们还需要使用 QR 分解将矩阵投影回 SO(3)。
P3P
利用 3 对点求相机外参。

对应关系:
\Delta Oab-\Delta OAB, \quad \Delta Obc-\Delta OBC, \quad \Delta Oac-\Delta OAC
由余弦定理有:
OA^2+OB^2-2OA·OB·cos=AB^2
OB^2+OC^2-2OB·OC·cos=BC^2
OA^2+OC^2-2OA·OC·cos=AC^2
对上面 3 个式子同时除以 OC^2,并记 x=OA/OC,y=OB/OC 得:
x^2+y^2-2xycos=AB^2/OC^2
y^2+1-2ycos=BC^2/OC^2
x^2+1-2xcos=AC^2/OC^2
记 v=AB^2/OC^2,uv=BC^2/OC^2,wv=AC^2/OC^2,有:
x^2+y^2-2xycos-v=0
y^2+1-2ycos-uv=0
x^2+1-2xcos-wv=0
用第一个式子代入下面两个消去 v,得到关于 x,y 的二元二次方程,用吴氏消元法解析解得:
(1-u)y^2-ux^2-cos+2uxycos+1=0
(1-w)x^2-wy^2-cosx+2wxycos+1=0
得到 x,y 后,利用:
x^2+y^2-2xycos=v
解得 v,从而得到 OC 的长度,进而得到各点的距离。
但是 P3P 对三个点以上的情况难以处理,并且误匹配时算法会失效。
Bundle Adjustment
Bundle Adjustment 是一个最小重投影误差问题,下面给出两个视图间的形式。

p_2 为 P 的真实投影点,但因为相机位姿估计上的误差,投影点会变为 \hat{p_2},因此我们需要最小化重投影的误差来优化相机位姿。
在第六讲我们讲过非线性优化,因此这里只需要定义一个最小二乘问题,并将 J 推导出来即可。
投影关系:
s_iu_i=K\exp(\hat{\xi})P_i
因为外参是估计的,因此等式存在误差。定义重投影误差并对其二范数的平方和取最小化:
\xi^*=\arg \min\limits_\xi\frac{1}{2}\sum\limits_{i=1}^n||u_i-\frac{1}{s_i}K\exp(\hat{\xi})P_i||_2^2
因为我们需要知道误差对应着的位姿,需要利用扰动模型求误差相对于位姿的导数。最后用非线性优化的知识进行求解即可,中间推导过程有些复杂,限于篇幅不做介绍。
实践:求解 PnP
首先使用前面介绍的特征匹配找到 ORB 特征,然后计算相机位姿,调用了 OpenCV 的 solvePnP 函数
// 调用OpenCV 的 PnP 求解,可选择EPNP,DLS等方法
// 给定2d和世界坐标3d点和内参,返回R、t
solvePnP ( pts_3d, pts_2d, K, Mat(), r, t, false );
也可以用 Bundle Adjustment 解决 PnP 问题,使用 g2o 优化,选好顶点和边即可。顶点为用李代数表示的相机位姿(VertexSE3Expmap),误差定义为 X,Y,Z 投影到 u,v 的投影误差(VertexSBAPointXYZ)。本实验中使用的是 g2o 自带的 edge,没有必要把雅可比再实现一遍。但以后在实际当中如果自己定义了 edge,就要计算导数。
EPnP 计算得到的结果:

然后是用 Bundle Adjustment 优化得到的结果:

一开始误差较大,随着迭代次数的增加,误差 \xi 逐渐减小。优化后的位姿与优化前相差不大,但更加平滑。
3D-3D:ICP
给定匹配好的两组 3D 点,求其旋转和平移,可用迭代最近邻点(ICP)求解。
设 P=\{p_1,…,p_n\}, \quad P'=\{p_1',…,p_n'\},运动关系为 p_i=Rp_i'+t。
我们有两种方法求解这个问题。
SVD 方法
定义误差项 e_i=p_i-(Rp_i'+t),以及最小二乘问题:
\min\limits_{R,t}J=\frac{1}{2}\sum\limits_{i=1}^n||(p_i-(Rp_i'+t))||^2_2
稍加推导,定义质心 p=\frac{1}{n}\sum\limits_{i=1}^n(p_i), \quad p'=\frac{1}{n}\sum\limits_{i=1}^n(p_i'),改写目标函数:
\frac{1}{2}\sum\limits_{i=1}^n||(p_i-(Rp_i'+t))||^2_2=\frac{1}{2}\sum\limits_{i=1}^n||(p_i-Rp_i'-t-p+Rp'+p-Rp')||^2
=\frac{1}{2}\sum\limits_{i=1}^n||(p_i-p-R(p_i'-p'))+(p-Rp'-t)||^2
展开后:
=\frac{1}{2}\sum\limits_{i=1}^n(||p_i-p-R(p_i'-p')||^2+||p-Rp'-t||^2+2(…))
其中交叉项求和为 0。目标函数简化为:
\min\limits_{R,t}J=\frac{1}{2}\sum\limits_{i=1}^n(||p_i-p-R(p_i'-p')||^2+||p-Rp'-t||^2
其中第一项只和 R 有关,第二项和 R,t 有关,我们可以最小化第一项,然后令第二项为 0 得到 t。
现在对左侧的式子(旋转)进行求解。
定义去质心坐标 q_i=p_i-p, \quad q_i=p_i'-p',简化为:
R^*=\arg\min\limits_R\frac{1}{2}\sum\limits_{i=1}^n||q_i-Rq_i'||^2
展开后:
=\frac{1}{2}\sum\limits_{i=1}^nq_i^Tq_i+q_i'^TR^TRq_i'-2q_i^TRq_i'
其中第一项与 R 无关,第二项 R^TR 的结果为 I,因此只需要最小化最后一项:
\sum\limits_{i=1}^n-q_i^TRq_i'=\sum\limits_{i=1}^n-tr(Rq_i'q_i^T)=-tr(R\sum\limits_{i=1}^nq_i'q_i^T)
利用 SVD 可以解出结果:
W=\sum\limits_{i=1}^nq_iq_i^T, \quad W=U\Sigma V^T, \quad R=UV^T
非线性优化
已知匹配时,ICP 问题存在唯一解或无穷多解。唯一解时问题为凸问题,极小值就是全局最优解,初始值可以随意指定。非线性优化的结果与 SVD 一样,且优化很快收敛。
在激光情况下,可能未知匹配关系,我们认为距离最近的两个点为同一个,所以该方法称为迭代最近点。
由于一个像素的深度数据可能测量不到,我们可以混用 PnP 和 ICP 优化,将所有误差放在同一个问题中考虑,方便求解。
实践:求解 ICP
这里演示两种求解 ICP 的方法。
SVD 方法
只需要根据我们刚才的推导过程写出代码即可。首先计算质心:
Point3f p1, p2;
int N = pts1.size();
for ( int i=0; i<N; i++ )
{
p1 += pts1[i];
p2 += pts2[i];
}
p1 = Point3f( Vec3f(p1) / N);
p2 = Point3f( Vec3f(p2) / N);
然后去质心:
vector<Point3f> q1 ( N ), q2 ( N );
for ( int i=0; i<N; i++ )
{
q1[i] = pts1[i] - p1;
q2[i] = pts2[i] - p2;
}
计算 W:
// compute q1*q2^T
Eigen::Matrix3d W = Eigen::Matrix3d::Zero();
for ( int i=0; i<N; i++ ){
W += Eigen::Vector3d ( q1[i].x, q1[i].y, q1[i].z ) * Eigen::Vector3d ( q2[i].x, q2[i].y, q2[i].z ).transpose();
}
cout<<"W="<<W<<endl;
对 W 进行 SVD 分解,求出 U,V:
Eigen::JacobiSVD<Eigen::Matrix3d> svd ( W, Eigen::ComputeFullU|Eigen::ComputeFullV );
Eigen::Matrix3d U = svd.matrixU();
Eigen::Matrix3d V = svd.matrixV();
if (U.determinant() * V.determinant() < 0)
for (int x = 0; x < 3; ++x)
U(x, 2) *= -1;
cout<<"U="<<U<<endl;
cout<<"V="<<V<<endl;
最后求解 R,t,转换为 cv::Mat:
Eigen::Matrix3d R_ = U* ( V.transpose() );
Eigen::Vector3d t_ = Eigen::Vector3d ( p1.x, p1.y, p1.z ) - R_ * Eigen::Vector3d ( p2.x, p2.y, p2.z );
// convert to cv::Mat
R = ( Mat_<double> ( 3,3 ) <<
R_ ( 0,0 ), R_ ( 0,1 ), R_ ( 0,2 ),
R_ ( 1,0 ), R_ ( 1,1 ), R_ ( 1,2 ),
R_ ( 2,0 ), R_ ( 2,1 ), R_ ( 2,2 )
);
t = ( Mat_<double> ( 3,1 ) << t_ ( 0,0 ), t_ ( 1,0 ), t_ ( 2,0 ) );
非线性优化方法
edge 为单元边,只关联一个相机位姿,给定两个点,计算误差:
virtual void computeError(){
const g2o::VertexSE3Expmap* pose = static_cast<const g2o::VertexSE3Expmap*> ( _vertices[0] );
// measurement is p, point is p'
_error = _measurement - pose->estimate().map( _point );
}
观测量关于位姿的导数(雅可比矩阵):
_jacobianOplusXi(0,0) = 0;
_jacobianOplusXi(0,1) = -z;
_jacobianOplusXi(0,2) = y;
_jacobianOplusXi(0,3) = -1;
_jacobianOplusXi(0,4) = 0;
_jacobianOplusXi(0,5) = 0;
_jacobianOplusXi(1,0) = z;
_jacobianOplusXi(1,1) = 0;
_jacobianOplusXi(1,2) = -x;
_jacobianOplusXi(1,3) = 0;
_jacobianOplusXi(1,4) = -1;
_jacobianOplusXi(1,5) = 0;
_jacobianOplusXi(2,0) = -y;
_jacobianOplusXi(2,1) = x;
_jacobianOplusXi(2,2) = 0;
_jacobianOplusXi(2,3) = 0;
_jacobianOplusXi(2,4) = 0;
_jacobianOplusXi(2,5) = -1;
在 mian 中先找匹配,分别用 ICP 和 Bundle Adjustment 计算位姿:
Mat R, t;
pose_estimation_3d3d ( pts1, pts2, R, t );
cout<<"ICP via SVD results: "<<endl;
cout<<"R = "<<R<<endl;
cout<<"t = "<<t<<endl;
cout<<"R_inv = "<<R.t() <<endl;
cout<<"t_inv = "<<-R.t() *t<<endl;
cout<<"calling bundle adjustment"<<endl;
bundleAdjustment( pts1, pts2, R, t );
在 mian 中先找匹配,分别用 ICP 和 Bundle Adjustment 计算位姿:
Mat R, t;
pose_estimation_3d3d ( pts1, pts2, R, t );
cout<<"ICP via SVD results: "<<endl;
cout<<"R = "<<R<<endl;
cout<<"t = "<<t<<endl;
cout<<"R_inv = "<<R.t() <<endl;
cout<<"t_inv = "<<-R.t() *t<<endl;
cout<<"calling bundle adjustment"<<endl;
bundleAdjustment( pts1, pts2, R, t );
