厉害了!java实际项目中遇到的问题
前言
一次偶然,从朋友那里得到一份“java高分面试指南”,里面涵盖了25个分类的面试题以及详细的解析:JavaOOP、Java集合/泛型、Java中的IO与NIO、Java反射、Java序列化、Java注解、多线程&并发、JVM、Mysql、Redis、Memcached、MongoDB、Spring、Spring Boot、Spring Cloud、RabbitMQ、Dubbo 、MyBatis 、ZooKeeper 、数据结构、算法、Elasticsearch 、Kafka 、微服务、Linux。这不,马上就要到2021年3月份了,很多朋友又开始准备“金三银四”的春招啦,那我想这份“java高分面试指南”应该起到不小的作用,所以今天想给大家分享一下。

一、什么是ZooKeeper
ZooKeeper是一个分布式服务协调框架 ,提供了分布式数据一致性的解决方案,基于ZooKeeper的数据结构,Watcher,选举机制 等特点,可以实现数据的发布/订阅,软负载均衡,命名服务,统一配置管理,分布式锁,集群管理 等等。
二、为什么使用ZooKeeper
ZooKeeper能保证:
- 更新请求顺序进行。来自同一个client的更新请求按其发送顺序依次执行
- 数据更新原子性。一次数据更新要么成功,要么失败
- 全局唯一数据视图 。client无论连接到哪个server,数据视图都是一致的
- 实时性 。在一定时间范围内,client读到的数据是最新的
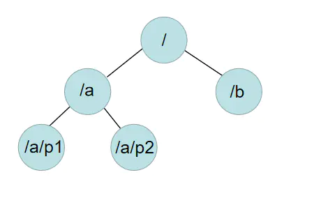
三、数据结构
ZooKeeper的数据结构和Unix文件系统很类似,总体上可以看做是一棵树,每一个节点称之为一个ZNode,每一个ZNode默认能存储1M的数据 。每一个ZNode可通过唯一的路径标识 。如下图所示:

创建ZNode时,可以指定以下四种类型,包括:
- PERSISTENT,持久性ZNode 。创建后,即使客户端与服务端断开连接也不会删除,只有客户端主动删除才会消失。
- PERSISTENT_SEQUENTIAL,持久性顺序编号ZNode 。和持久性节点一样不会因为断开连接后而删除,并且ZNode的编号会自动增加。
- EPHEMERAL,临时性ZNode 。客户端与服务端断开连接,该ZNode会被删除。
- EPEMERAL_SEQUENTIAL,临时性顺序编号ZNode 。和临时性节点一样,断开连接会被删除,并且ZNode的编号会自动增加。
四、监听通知机制
Watcher是基于观察者模式 实现的一种机制。如果我们需要实现当某个ZNode节点发生变化时收到通知,就可以使用Watcher监听器。
客户端通过设置监视点(watcher)向 ZooKeeper 注册需要接收通知的 znode,在 znode 发生变化时 ZooKeeper 就会向客户端发送消息 。
这种通知机制是一次性的 。一旦watcher被触发,ZooKeeper就会从相应的存储中删除。如果需要不断监听ZNode的变化,可以在收到通知后再设置新的watcher注册到ZooKeeper。
监视点的类型有很多,如监控ZNode数据变化、监控ZNode子节点变化、监控ZNode 创建或删除 。
五、选举机制
ZooKeeper是一个高可用的应用框架,因为ZooKeeper是支持集群的。ZooKeeper在集群状态下,配置文件是不会指定Master和Slave,而是在ZooKeeper服务器初始化时就在内部进行选举,产生一台做为Leader,多台做为Follower,并且遵守半数可用原则。
由于遵守半数可用原则,所以5台服务器和6台服务器,实际上最大允许宕机数量都是3台,所以为了节约成本,集群的服务器数量一般设置为奇数 。
如果在运行时,如果长时间无法和Leader保持连接的话,则会再次进行选举,产生新的Leader,以保证服务的可用 。

六、初の体验
首先在官网下载ZooKeeper,我这里用的是3.3.6版本。
然后解压,复制一下/conf目录下的zoo_sample.cfg文件,重命名为zoo.cfg。
修改zoo.cfg中dataDir的值,并创建对应的目录:

最后到/bin目录下启动,我用的是window系统,所以启动zkServer.cmd,双击即可:

启动成功的话就可以看到这个对话框:

可视化界面的话,我推荐使用ZooInspector,操作比较简便
总结
面试难免让人焦虑不安。经历过的人都懂的。但是如果你提前预测面试官要问你的问题并想出得体的回答方式,就会容易很多。
此外,都说“面试造火箭,工作拧螺丝”,那对于准备面试的朋友,你只需懂一个字:刷!
给我刷刷刷刷,使劲儿刷刷刷刷刷!今天既是来谈面试的,那就必须得来整点面试真题,这不花了我整28天,做了份“Java一线大厂高岗面试题解析合集:JAVA基础-中级-高级面试+SSM框架+分布式+性能调优+微服务+并发编程+网络+设计模式+数据结构与算法等”

且除了单纯的刷题,也得需准备一本【JAVA进阶核心知识手册】:JVM、JAVA集合、JAVA多线程并发、JAVA基础、Spring 原理、微服务、Netty与RPC、网络、日志、Zookeeper、Kafka、RabbitMQ、Hbase、MongoDB、Cassandra、设计模式、负载均衡、数据库、一致性算法、JAVA算法、数据结构、加密算法、分布式缓存、Hadoop、Spark、Storm、YARN、机器学习、云计算,用来查漏补缺最好不过。
ra、设计模式、负载均衡、数据库、一致性算法、JAVA算法、数据结构、加密算法、分布式缓存、Hadoop、Spark、Storm、YARN、机器学习、云计算,用来查漏补缺最好不过。

