【MOOC】Python数据分析与展示-北京理工大学-【第三周】数据分析之概要
概要:提取数据的基本特征

单元7:pandas库入门
更多参考:http://pandas.pydata.org/
Pandas是Python第三方库,提供高性能易用数据类型和分析工具,Pandas基于NumPy实现,常与NumPy和Matplotlib一同使用。
常用引用方法:
import pandas as pd
7.1对pandas库的理解
与numpy的区别

该库基于numpy提供了两个新的数据类型:Series, DataFrame
基于上述数据类型有各类操作:基本操作、运算操作、特征类操作、关联类操作
7.2 Series类型(一维)
Series类型由一组数据及与之相关的数据索引 组成

实例1:

实例2:

Series类型可以由如下类型创建:
• Python列表,index与列表元素个数一致
• 标量值,index表达Series类型的尺寸
• Python字典,键值对中的“键”是索引,index从字典中进行选择操作
• ndarray,索引和数据都可以通过ndarray类型创建
• 其他函数,range()函数等
实例:



如何理解该类型
Series是一维带“标签”数组(Series类型包括index和values 两部分)
index_0 —–> data_a**(索引 与 值 一一对应)**
Series基本操作类似ndarray和字典 ,根据索引对齐 进行运算(而不是像numpy一般基于维度进行运算)
Series类型的基本操作
- 使用 .index 获取索引,使用 .value 获取数据

2.自动索引 与 自定义索引并存(但不能混合使用 )

3.Series类型的操作类似ndarray类型:
• 索引方法相同,采用[]
• NumPy中运算和操作可用于Series类型**(运算和操作结果仍然是Series类型)**
• 可以通过自定义索引的列表进行切片(切片后的结果仍然是Series类型)
• 可以通过自动索引进行切片,如果存在自定义索引,则一同被切片(切片后的结果仍然是Series类型)

4.Series类型的操作类似Python字典类型:
• 通过自定义索引访问
• 保留字in操作(只会判断自定义索引,不会判断自动索引)
• 使用.get()方法

5.Series类型的对齐问题:

Series类型在运算中会自动对齐不同索引 的数据
6.Series类型的.name属性:
Series对象和索引都可以有一个名字,存储在属性.name中

7.Series类型的修改:
Series对象可以随时修改并即刻生效

7.3 DataFrame类型(二维)
DataFrame类型由共用相同索引 的一组列组成

axis =0 /axis = 1的介绍

DataFrame是一个表格型 的数据类型,每列值类型 可以不同**(类似于Excel)**
DataFrame既有行索引、也有列索引
DataFrame常用于表达二维数据 ,但可以表达多维数据
创建DataFrame类型
DataFrame类型可以由如下类型创建:
• 二维ndarray对象
• 由一维ndarray、列表、字典、元组或Series构成的字典
• Series类型
• 其他的DataFrame类型



实例分析:


对DataFrame的理解
DataFrame是二维带“标签”数组 ,DataFrame基本操作类似Series,依据行列索引

7.4 pandas的数据类型操作
数据类型操作 <– 等价–> 如何改变Series和DataFrame对象?
->增加或重排:重新索引
->删除:drop
重新索引
.reindex() 能够改变或重排Series和DataFrame索引

参数解释

关于索引
Series和DataFrame的索引是Index类型,Index对象是不可修改类型

index类型的常用方法


pandas通过操作索引来操作dataframe的数据集。
panda通过索引来实现对一组数据的操作。
删除指定索引对象
.drop()能够删除Series和DataFrame指定行或列索引

删除列时要指定axis=1(默认axis=0)
7.5 pandas的数据类型运算
算术运算法则:
算术运算根据行列索引,补齐后运算,运算默认产生浮点数
补齐时缺项填充NaN (空值)
二维和一维、一维和零维间为广播运算 * (低维对象元素会作用到高维对象的每一个元素)*
采用+ ‐ * /符号进行的二元运算产生新的对象

方法形式的运算
方法形式的运算可通过指定参数避免上面的NaN的产生


广播运算实例:


比较运算法则:
比较运算只能比较相同索引的元素,不进行补齐
二维和一维、一维和零维间为广播运算
采用> < >= <= == !=等符号进行的二元运算产生布尔对象


单元小结

单元8:pandas数据特征分析
8.1数据排序
.sort_index() 方法在指定轴上根据索引进行排序 ,默认升序


.sort_values()方法在指定轴上根据数值进行排序 ,默认升序
使用方式:
Series.sort_values(axis=0, ascending=True)
DataFrame.sort_values(by, axis=0, ascending=True)
#by : axis轴上的某个索引或索引列表

排序时,NaN永远都是在排序结果末尾(不管是升序 还是 降序)

8.2 数据的基本统计
基本统计函数



describe函数实例


8.3 数据的累计统计分析
基本函数1:


基本函数2:


8.4 数据的相关分析
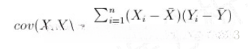
两个事物,表示为X和Y,协方差可判断它们之间的相关性:

• 协方差>0, X和Y正相关( X增大,Y增大)
• 协方差<0, X和Y负相关(X增大,Y减小)
• 协方差=0, X和Y独立无关(X增大,Y无视)
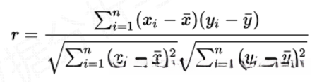
两个事物,表示为X和Y,如何判断它们之间的存在相关性?

r取值范围[‐1,1]
…….r …………相关性
• 0.8‐1.0 极强相关
• 0.6‐0.8 强相关
• 0.4‐0.6 中等程度相关
• 0.2‐0.4 弱相关
• 0.0‐0.2 极弱相关或无相关

实例:房价增幅与M2增幅的相关性

单元小结

