【自动驾驶预测与决策规划-基于模型的预测方法——03.定曲率预测】
定曲率预测模型及其Python实现
在自动驾驶和机器人领域,轨迹预测是一个非常重要的课题。本文将介绍一种简单而有效的定曲率预测模型,并提供相应的Python代码实现。这种模型假设速度和偏航率是恒定的,从而可以预测物体在未来的轨迹。
一、理论基础
首先,我们需要了解匀速圆周运动的基本状态向量和其离散模型。
状态向量 :
在匀速圆周运动中,物体的状态可以用位置和速度来描述。状态向量 ( X ) 定义如下:

其中 ( x ) 和 ( y ) 是位置,( \dot{x} ) 和 ( \dot{y} ) 是速度分量。速度的大小 ( v ) 可以表示为:

离散模型 :
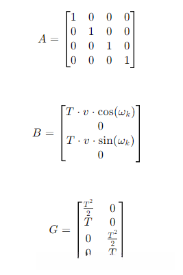
匀速圆周运动的离散模型用于在每个时间步更新状态。状态转移方程如下:

其中 
推导过程 :
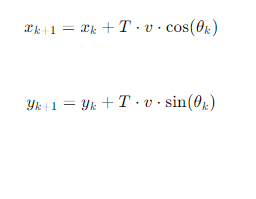
我们假设物体在二维平面上运动,速度和偏航率保持恒定。给定初始位置 ( (x_0, y_0) )、速度 ( v ) 和偏航角 ( \theta ),在时间 ( t ) 内,物体的运动可以表示为:

偏航角随时间的变化:

在离散时间步长 ( T ) 下,状态向量 ( X_k ) 可以更新为:

考虑噪声项 ( W_k ),得到状态转移方程:

其中:

二、Python代码实现
下面我们提供一个Python函数 _constant_speed_and_yaw_rate,用于基于恒定速度和偏航率进行轨迹预测。
import numpy as np
def _constant_speed_and_yaw_rate(kinematics_data, sec_from_now, sampled_at):
"""
Computes a baseline prediction for the given time window and frequency, under the assumption that
the (scalar) speed and yaw rate are constant.
:param kinematics_data: KinematicsData for agent.
:param sec_from_now: How many future seconds to use.
:param sampled_at: Number of predictions to make per second.
"""
x, y, vx, vy, _, _, speed, yaw_rate, _, _, yaw = kinematics_data
preds = []
time_step = 1.0 / sampled_at
distance_step = time_step * speed
yaw_step = time_step * yaw_rate
for _ in np.arange(time_step, sec_from_now + time_step, time_step):
x += distance_step * np.cos(yaw)
y += distance_step * np.sin(yaw)
yaw += yaw_step
preds.append((x, y))
return np.array(preds)
三、代码解释
函数参数 :
* `kinematics_data`:包含初始位置 `x, y`,初始速度 `vx, vy`,速度 `speed`,偏航率 `yaw_rate` 和初始偏航角 `yaw` 的运动学数据。
* `sec_from_now`:预测的时间范围(秒)。
* `sampled_at`:每秒的预测次数。
函数步骤 :
* 初始化时间步长 `time_step`,计算距离步长 `distance_step` 和偏航步长 `yaw_step`。
* 使用 `for` 循环迭代预测位置 `x` 和 `y`,并根据恒定速度和偏航率更新位置。
* 将每一步的预测位置加入到 `preds` 列表中。
* 最终返回预测位置的 `numpy` 数组 `preds`。
定速度预测 VS 定曲率预测
在自动驾驶和机器人轨迹预测中,定速度预测和定曲率预测是两种常见的方法。本文将对这两种方法进行比较,并详细介绍它们的应用场景、预测精度及局限性。
一、定速度预测
定速度预测假设物体在未来的运动中速度保持恒定,方向不变。这种方法适用于速度变化不大的场景。
优点:
- 简单易实现 :定速度预测模型实现简单,计算量小,易于理解和应用。
- 适用于速度变化不大的场景 :在直线运动或速度变化较小的情况下,定速度预测能提供较好的预测效果。
缺点:
- 预测精度不高 :由于忽略了方向和速度的变化,预测精度较低。
- 在速度或方向发生显著变化时失准 :如果物体的速度或运动方向发生明显变化,定速度预测的误差会显著增加。
二、定曲率预测
定曲率预测假设物体在未来的运动中速度和偏航率保持恒定。适用于曲线路径、汽车转弯等情况。
优点:
- 适用于曲线路径 :在需要预测曲线运动的场景下,定曲率预测能提供较好的预测精度,例如车辆转弯时。
- 预测精度较高 :相较于定速度预测,定曲率预测考虑了偏航率的影响,能提供更高的预测精度。
缺点:
- 在直线运动或曲率变化大时失准 :如果物体在直线运动或曲率变化较大的情况下,定曲率预测的误差会显著增加。
三、比较总结
| 定速度预测 | 定曲率预测 | |
|---|---|---|
| 适用场景 | 适用于速度变化不大的场景 | 适用于曲线路径、汽车转弯的情况 |
| 预测精度 | 预测精度不高 | 预测精度较高 |
| 局限性 | 在速度或方向发生显著变化时失准 | 在直线运动或曲率变化大时失准 |
共同局限:
- 长时间区间会失准 :无论是定速度预测还是定曲率预测,随着预测时间的增加,预测的误差也会逐渐增大,因此这两种方法在长时间区间内的预测精度都不高。
四、总结
定速度预测和定曲率预测各有优缺点,适用于不同的应用场景。实际应用中,选择合适的预测方法取决于具体的运动特点和预测需求。在自动驾驶领域,可以结合多种预测方法,提高整体预测精度,满足复杂场景的需求。
希望这篇文章对你理解和选择轨迹预测方法有所帮助。如果有任何问题或建议,欢迎在评论区交流!
