C/C++ 项目:分别用精密星历和广播星历计算卫星坐标
文章目录
-
Part.I Introduction
-
- Chap.I rinex.h
- Chap.II gmain_body.h
-
Part.II 使用方法
-
Part.III 使用 Matlab 绘图
-
- Chap.I 结果展示
- Chap.II 源码
-
扩展阅读
Part.I Introduction
本文将介绍一个小项目的使用方法,此项目可用精密星历和广播星历计算卫星位置,并将两者结果做差,输出至文件。

其实 『分别用精密星历和广播星历计算卫星坐标』 是笔者在本科阶段的一次 GNSS 编程作业,当时就把自己的代码上传的 上面了,没想到后来受到了许多朋友的关注。但是当时本科阶段写的代码,使用起来很麻烦,近期又有朋友来请教,并且现在看当时的代码,简直是一坨…,所以花了一晚上的时间对其进行了重构,现在看起来似乎没有那么糟糕了。
整个项目的文件树如下:
.
├─data
│ ├─2019_08_28
│ └─out
├─src
│ ├─app_run
│ └─LibGNSS
│ ├─gdata
│ ├─gexport
│ └─gproc
└─_doc
└─imgs
AI写代码
其中
-
data: 2019年08月28日的广播星历和精密星历,out是一个参考输出结果(输出结果格式:sec x y z time,其中sec是天内秒,单位为s;xyz是坐标单位为m;time 是钟改正,单位为 1e-6 s)结果文件有: -
brdcxx.txt:这是用广播星历计算出来的Gxx号卫星的坐标
-
spxx.txt:这是用精密星历计算出来的Gxx号卫星的坐标
-
detxx.txt:这是两者之间的差值
-
src: 程序源码,包括一个LibGNSS库和一个 app -
_doc:Eigen包和本文档所用到的图片。
整个项目实现的功能有:读取精密星历和广播星历、计算两个卫星计算卫星坐标并将计算结果存储到 txt 文件中,戳我下载(可私我,瓶抬油茶伽,私我便宜)
下面是部分文件内容
Chap.I rinex.h
/** * @verbatim
History
-1.0 hlgou 2024-04-01 created
-1.0 xxx 20xx-xx-xx do some changes
@endverbatim
* * @file rinex.h
* @brief BRDC(broadcast ephemeris) data structure
* @author hlgou.
* @date 2024-04-01
*/
#ifndef RINEX_H
#define RINEX_H
#include <string>
#include "gexport/ExportLibGNSS.h"
namespace dawn
{
struct LibGNSS_LIBRARY_EXPORT DATANODE
{
int PRN;//卫星的prn,
double IODE;
double a0, a1, a2;//钟差,钟漂
double a_sqrt, e;//轨道参数
double Cuc, Cus, Crc, Crs, Cic, Cis;//6个摄动参数
double Dn, OMEGA, omega, i0, M0;
double i_DOT, OMEGA_DOT, TGD;
int GPS_WEEK, TOE, TIME;//GPS周,周内秒数,卫星发送时刻
int SEC_DAY;//一天当中的多少秒
};
struct LibGNSS_LIBRARY_EXPORT DATALINE
{
int YEAR, MONTH, DAY, HOUR, MINITE, SECOND, TOC;//卫星钟的参考时刻(年月日时分秒)
DATANODE nod[35];
};
struct LibGNSS_LIBRARY_EXPORT BRDC
{ //广播星历
DATALINE lin[30];
double A[4], B[4], A0, A1;//电离层参数,多项式系数
int T, W, LEAP_SEC, YEAR, MON, DAY;//UTC参考时刻,周,跳秒
};
}
#endif
AI写代码
Chap.II gmain_body.h
/** * @verbatim
History
-1.0 hlgou 2024-04-01 created
-1.0 xxx 20xx-xx-xx do some changes
@endverbatim
* * @file gmain_body.h
* @brief Main process class.
* @author hlgou.
* @date 2024-04-01
*/
#ifndef GMAIN_BODY_H
#define GMAIN_BODY_H
#include <cmath>
#include "gdata/rinex.h"
#include "gdata/sp3.h"
using namespace std;
namespace dawn
{
class LibGNSS_LIBRARY_EXPORT t_gmain_body
{
public:
void setFileNmame(string wdir, string f1, string f2, string sdir);
//计算精密星历和广播星历的结果及其差值并保存,i 是第 i 颗星
void processBatch();
protected:
int _decodeSp3();
int _decodeBrdc();
Point _subBrdc(int time);
Point _brdcCaculate(int time, int j);
double _subSp3(int time, int i, int j, int t);
Point _sp3Caculate(int time, int j);
int _find(string p, int num, string* prn);
string _wdir; // 数据所在目录
string _sdir; // 结果保存目录
string _sp3_filename;
string _brdc3_filename;
SP3 _gsp3; // 精密星历结构体
BRDC _gbrdc; // 广播星历结构体
DATANODE _current_DN;
};
}
#endif
AI写代码
Part.II 使用方法
所需软件:CMake + VS Studio
所需矩阵库:Eigen(放心,压缩包里有)
为了防止不必要的歧义,下面将项目的根目录称为『当前目录』
首先解压Eigen.zip,将其放在一个你不常动的目录中,将这个目录(或 这个目录/Eigen)称为『Eigen目录』
1、在src目录下新建build 文件夹
2、打开 CMake,源码路径设置为当前目录,build 路径设置为 src/build
3、点击 Configure,之后配置根据自己实际情况配,配好点击 Finish

4、会报错,不要急,把 『Eigen目录』赋给 Third_Eigen_ROOT,再次点击Configure

5、依次点击Generate和Open Project,打开项目
6、将解决方案配置改为RelWithDebInfo(其实改不改无所谓,程序本身体量很小),将 app_run 设为启动项目,run.cpp 就是主程序

7、将 wdir 和 sdir 分别改为你的路径(最好是绝对路径)

8、将 out 文件夹改名为 out1(备份),新建一个out 文件夹
9、快捷键F5运行程序,在out 文件夹下等待程序运行结果,完事!
Part.III 使用 Matlab 绘图
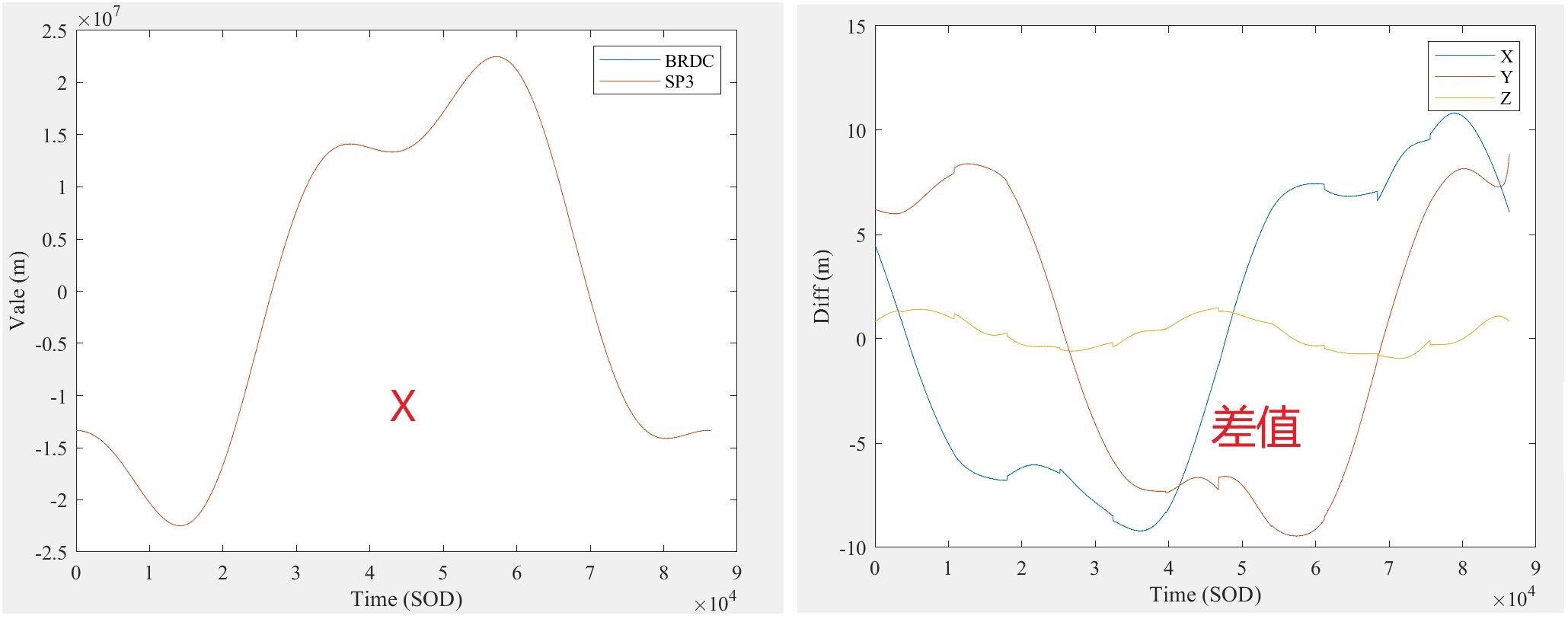
Chap.I 结果展示

Chap.II 源码
源码如下(注意改文件路径和文件名)
%% LOAD DATA
wdir='A:\aWork\scripts\mGit\cpp\GNSS0\data\out\';
f1=[wdir,'brdc01.txt'];
f2=[wdir,'sp01.txt'];
fs=[wdir,'_det01.txt'];
Data1 = load(f1);
Data2 = load(f2);
Det = Data2 - Data1;
Det(:,1)=Data1(:,1);
%% PLOT BRDC and SP3
plot(Data1(:,1),Data1(:,2));
hold on;
plot(Data2(:,1),Data2(:,2));
set(gca,'FontName','Times New Roman');
legend('BRDC','SP3');
xlabel('Time (SOD)');
ylabel('Vale (m)');
%% PLOT difference value
figure
plot(Det(:,1),Det(:,2));
hold on;
plot(Det(:,1),Det(:,3));
hold on;
plot(Det(:,1),Det(:,4));
set(gca,'FontName','Times New Roman');
legend('X','Y','Z');
xlabel('Time (SOD)');
ylabel('Diff (m)');
%% Save difference value
fid=fopen(fs,'w');
fprintf(fid,'%6d %20.6f %20.6f %20.6f %20.6f\r\n',Det');
fclose(fid);
AI写代码
