零和收益DEA模型(ZSG-DEA)的求解
发布时间
阅读量:
阅读量
本文介绍了零和收益DEA(ZSG-DEA)模型及其应用。该模型通过调整非期望产出的分配方案来提高决策单元的效率,并常用于碳减排问题的研究中。尽管ZSG-DEA属于非线性规划,但目前仅有一位朋友用Excel实现了该模型,并通过迭代计算得到DEA有效的分配方案。为了简化操作并提高友好度,作者开发了一个程序来解决普通ZSG-DEA模型的求解问题,只需输入数据即可获得效率值和分配额等结果。程序仅支持三个投入指标(如GDP、人口、能源消耗量)和一个产出指标(CO2)。通过运行程序并引用郑力群老师的《中国各省区碳减排责任分摊--基于零和收益DEA模型的研究》,计算得到了各区域的碳减排责任分摊结果,并与初始效率值进行了对比分析。研究还提到了相关参考文献及进一步讨论的可能性。
今天要向大家推介的是DEA中的ZSG模型。
Lins 和Gomes 等人提出了零和收益DEA 模型(ZSG-DEA),该模型可以根据决策单元的DEA效率值对非期望产出的分配方案进行调整,给出改进的分配方案,该模型多用于CO2的分配问题的研究上,通过对整体中各个区域的碳减排责任进行分析,同时按照ZSG模型进行迭代计算,以期得到DEA有效的分配方案。
由于ZSG-DEA模型属于非线性规划,不同于一般的DEA,因此目前关于网上的ZSG-DEA模型,唯一可见的,只有一位朋友用excel的实现方法,经过测试,是可以复现论文结果,但是一来操作很琐碎,二来如果DMU数量有所增减,又要对VBA代码和公式进行修改,对不熟悉excel的朋友不太友好,因此这里写了一个解决零和收益ZSG-DEA的程序,用来解决普通的ZSG-DEA模型的求解问题,力求做到,输入数据,就可得到效率值和分配额等所需全部结果。
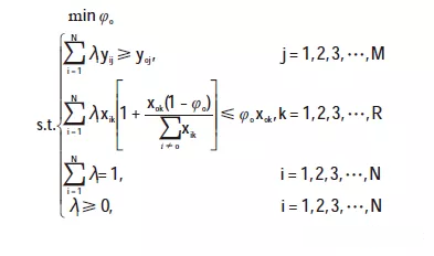
具体的模型规划式如下:

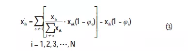
迭代分配额的计算公式如下:

由于本文主要参考的文献是郑力群老师的《中国各省区碳减排责任分摊--基于零和收益DEA模型的研究》,因此,目前程序只支持三个投入GDP,人口,能源消耗量(当然也可以是其他指标,只是总数只能为3个),产出为CO2。
这里用郑力群老师提供的数据,运行程序进行计算,结果如下:

下面是郑老师在文中给出的结果:

可以看到,初始效率值基本是一致的,后面的迭代效率值和最终分配额,由于是非线性规划,可能会有些许误差,但是大体是一致的。
参考文献:《中国各省区碳减排责任分摊--基于零和收益DEA模型的研究》
如果您需要的是更多投入产出指标,或其他ZSG模型的改进模型,也欢迎与我联系。
测算请联系图中公众号。
全部评论 (0)
还没有任何评论哟~
