论文阅读笔记--Generalized Analysis and Improvement of the Consistency of EKF-based SLAM
 发布时间 
 阅读量: 
 阅读量 
论文阅读笔记–Generalized Analysis and Improvement of the Consistency of EKF-based SLAM
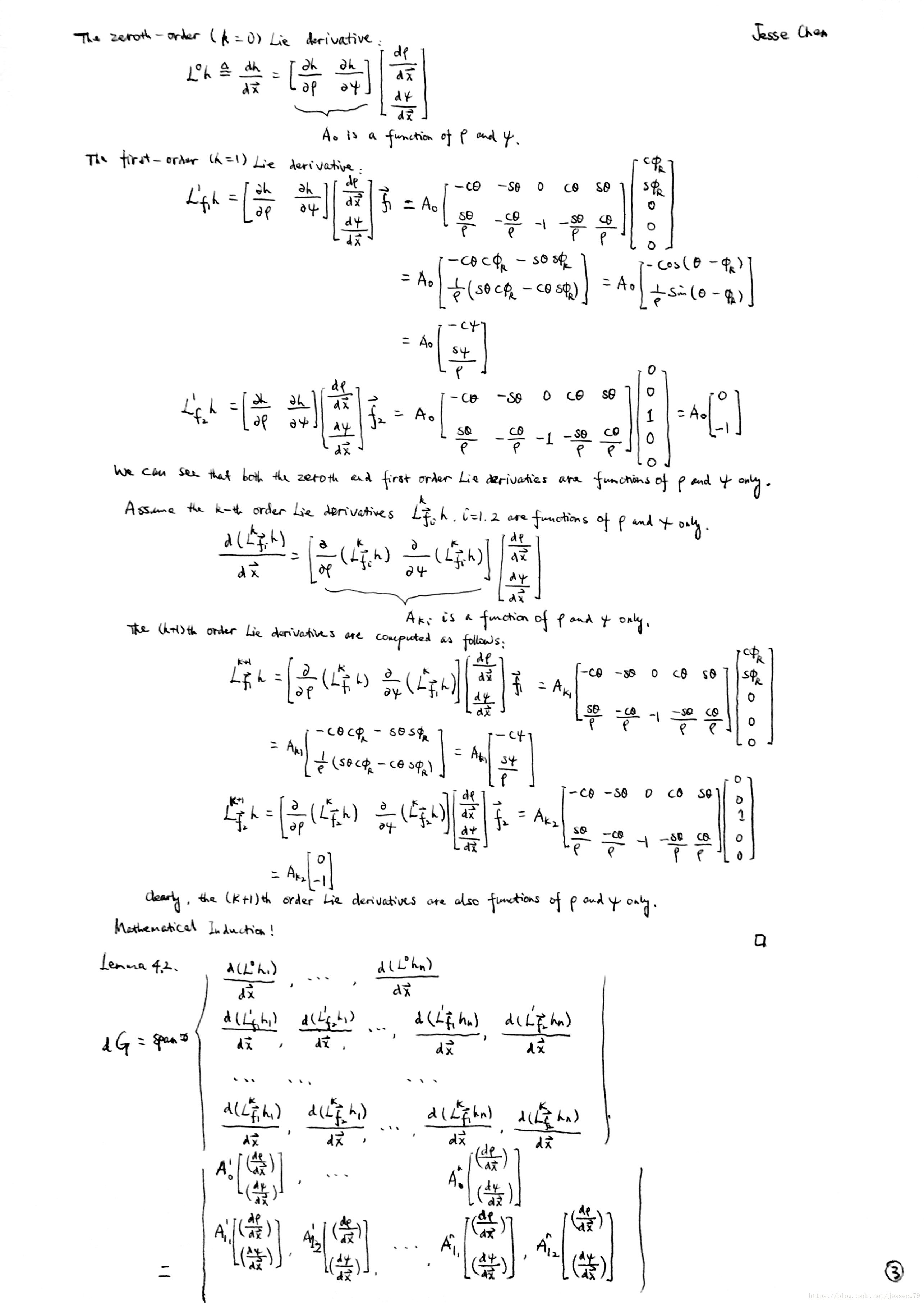
Generalized Analysis and Improvement of the Consistency of EKF-based SLAM是首次提出FEJ-EKF的学者阐述FEJ的论文详细版本。本人在假期仔细阅读了这篇论文,考虑到这篇文章是公开已久的技术,因此把这篇论文的阅读笔记贴出来。有兴趣的同学,可以联系754971421@qq.com和我讨论。另外,由于公式非常非常多,如果用Markdown会耗费大量的时间,请允许我直接贴手稿。









全部评论 (0)
 还没有任何评论哟~ 
