[渝粤教育] 天津科技大学 化工热力学 参考 资料
教育
-化工热力学-章节资料考试资料-天津科技大学【】
第一周 单元作业
第一周 单元测验
1、【单选题】热是一种()
A、无质量的物质
B、有质量的物质
C、运动形态
D、无法确定
参考资料【 】
2、【单选题】以下哪项内容不属于热力学的研究内容()
A、热力学基本定律
B、流体的状态函数计算
C、化学反应的反应速度
D、过程的能量计算
参考资料【 】
3、【单选题】热力学第三定律表述为:在热力学温度为()时,一切完美晶体的熵值为零。
A、0℃
B、绝对0 K
C、273K
D、晶体熔点
参考资料【 】
4、【单选题】范德华方程与R-K方程均是常见的立方型方程,对于摩尔体积V存在三个实根或者一个实根,当存在三个实根时,最大的V值是()。
A、饱和液体体积
B、饱和蒸汽体积
C、无物理意义
D、饱和液体与饱和蒸汽的混合体积
参考资料【 】
5、【单选题】超临界流体是下列温度和压力满足( )条件下存在的物质。
A、高于TC和高于PC
B、高于TC,但低于PC
C、低于TC,但高于PC
D、正好等于TC和PC
参考资料【 】
6、【单选题】建立状态方程的意义和作用,以下叙述不正确的是( )。
A、可以解决由于实验的P-V-T数据有限无法全面了解流体P-V-T 行为的问题
B、可以解决实验的P-V-T数据精确度不高的问题
C、可以从容易获得的物性数据(P、V、T、x)来推算较难测定的数据( H,U,S,G )
D、可以解决由于P-V-T实验数据离散不便于求导和积分,无法获得实验数据点以外的P-V-T的问题。
参考资料【 】
7、【单选题】T温度下某过热蒸汽的压力p()
A、大于温度T下的饱和蒸气压
B、小于温度T下的饱和蒸气压
C、等于温度T下的饱和蒸气压
D、根据具体的物质确定
参考资料【 】
8、【单选题】维里方程中第二维里系数B代表()
A、温度的影响
B、两个分子之间相互作用对于理想性的偏差
C、分子的体积
D、分子的形状
参考资料【 】
9、【单选题】纯流体在一定温度下,如压力高于该温度下的饱和蒸汽压,则此物质的状态为( )
A、气相状态
B、超临界状态
C、液相状态
D、不能确定,需要根据具体数据计算
参考资料【 】
10、【判断题】纯物质的饱和液体的摩尔体积随着温度升高而增大,饱和蒸汽的摩尔体积随着温度的升高而减小。
A、正确
B、错误
参考资料【 】
11、【判断题】纯物质由蒸汽变为液体必须经历冷凝的相变化过程。
A、正确
B、错误
参考资料【 】
12、【判断题】根据热力学第一定律,能量是守恒的,因此功能全部转化为热,热也能完全转化为功
A、正确
B、错误
参考资料【 】
13、【判断题】统计热力学又称为分子热力学,既要研究分子内的作用力,又要研究分子间作用力
A、正确
B、错误
参考资料【 】
14、【判断题】对于某个流体,RK方程和van der Waals方程中的参数a和b是一样的。
A、正确
B、错误
参考资料【 】
15、【判断题】临界温度和临界压力的定义分别是气体加压液化时所允许的最高温度和最高压力。
A、正确
B、错误
参考资料【 】
16、【判断题】通过修正理想气体行为可以研究真实流体的热力学性质。
A、正确
B、错误
参考资料【 】
17、【判断题】纯物质 P-V图临界等温线在临界点处的斜率和曲率都等于1.
A、正确
B、错误
参考资料【 】
第二周 单元作业
流体pvt关系分享报告
第二周 单元测验
1、【单选题】维里方程用于二元混合物时,第二维里系数B的混合规则为( )
A、

B、

C、

D、

参考资料【 】
2、【单选题】RK方程用于二元混合物时,RK常数a 混合规则为( )
A、

B、

C、

D、

参考资料【 】
3、【单选题】RK方程用于二元混合物时,RK常数b的混合规则为( )
A、

B、

C、

D、

单选题
单选题

B、

C、

D、

单选题
单选题
判断题

单选题
单选题
单选题

为( )
A、大于零
B、等于零
C、小于零
D、无法确定
参考资料【 】
7、【单选题】

A、0
B、Cp-Cv
C、Cp/Cv
D、无法确定
参考资料【 】
8、【单选题】热力学基本关系式dH=TdS+Vdp适用条件是( )
A、敞开系统
B、封闭系统
C、理想气体
D、理想混合物
参考资料【 】
9、【单选题】等压条件下,熵随温度的变化可以用( )来表示。
A、体积
B、定容热容
C、定压热容
D、摩尔体积
参考资料【 】
10、【判断题】理想气体的热力学性质都只是温度的函数。( )
A、正确
B、错误
参考资料【 】
11、【判断题】 dU=TdS-PdV只能用在恒质量体系的可逆过程,不可逆过程不适用。( )
A、正确
B、错误
参考资料【 】
12、【判断题】某气体在由5MPa、100℃的状态到0.1 MPa、100℃的状态变化中的性质变化ΔS就是剩余熵( )
A、正确
B、错误
参考资料【 】
13、【判断题】理想气体等温压缩过程的焓为零( )
A、正确
B、错误
参考资料【 】
14、【判断题】dU=TdS-PdV等热力学基本方程只能用于气体,而不能用于液体或固相( )
A、正确
B、错误
参考资料【 】
15、【判断题】

A、正确
B、错误
参考资料【 】
16、【判断题】

单选题

单选题

A、约40604 焦耳
B、约40604千焦
C、4883.8焦
D、4883.8卡
参考资料【 】
10、【单选题】

单选题
判断题

A、A
B、B
C、C
D、D
参考资料【 】
6、【单选题】

A、A
B、B
C、C
D、D
参考资料【 】
7、【单选题】

A、A
B、B
C、C
D、D
参考资料【 】
8、【单选题】

单选题

A、A
B、B
C、C
D、D
参考资料【 】
11、【判断题】

A、正确
B、错误
参考资料【 】
12、【判断题】

A、正确
B、错误
参考资料【 】
13、【判断题】

判断题

A、正确
B、错误
参考资料【 】
17、【判断题】

A、正确
B、错误
参考资料【 】
18、【判断题】

A、正确
B、错误
参考资料【 】
19、【判断题】

A、正确
B、错误
参考资料【 】
20、【判断题】

填空题
填空题

A、
参考资料【 】
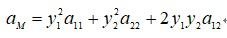
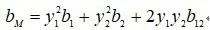
24、【填空题】混合物中不同组分的偏摩尔焓之间的关系符合 方程。
A、
参考资料【 】
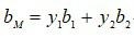
25、【填空题】利用____________方程,可以从某一组分的偏摩尔性质求另一组分的偏摩尔性质。
A、
参考资料【 】
26、【填空题】由 或不含OH基的有机物组成的混合物接近正规混合物。
A、
参考资料【 】
27、【填空题】<img src="https://edu-image.nosdn.127.net/2575AAF07E8F9403426D070039279A14.jpg?imageView
A、
参考资料【 】
28、【填空题】正偏差物系易形成 温度共沸物。
A、
参考资料【 】
29、【填空题】具有 偏差的混合物系可能产生液相分层。
A、
参考资料【 】
30、【填空题】具有 偏差的混合物系形成最高沸点共沸物。
A、
参考资料【 】
第八周 作业
混合流体的热力学性质分享报告
第八周 测验
1、【单选题】

单选题
单选题
单选题
单选题
单选题

单选题

A、A
B、B
C、C
D、D
参考资料【 】
8、【单选题】

单选题
多选题

A、A
B、B
C、C
D、D
参考资料【 】
11、【判断题】

A、正确
B、错误
参考资料【 】
12、【判断题】

...

A、正确
B、错误
参考资料【 】
16、【判断题】

A、正确
B、错误
参考资料【 】
17、【判断题】

判断题
①
判断题
判断题

A、正确
B、错误
参考资料【 】
21、【填空题】

A、
参考资料【 】
22、【填空题】

填空题

()

单选题

B、

C、

D、

参考资料【 】
3、【单选题】汽液平衡的数学表达式不正确的是( )
A、

B、

C、

D、

参考资料【 】
4、【单选题】汽液平衡关系

问题列表

多选题
判断题
判断题
判断题
判断题
判断题
判断题

,

,假设汽相可按理想气体处理,其超额自由焓与组成的关系为

填空题

填空题
