[渝粤教育] 天津科技大学 化工热力学 参考 资料
教育
-化工热力学-章节资料考试资料-天津科技大学【】
第一周 单元作业
第一周 单元测验
1、【单选题】热是一种()
A、无质量的物质
B、有质量的物质
C、运动形态
D、无法确定
参考资料【 】
2、【单选题】以下哪项内容不属于热力学的研究内容()
A、热力学基本定律
B、流体的状态函数计算
C、化学反应的反应速度
D、过程的能量计算
参考资料【 】
3、【单选题】热力学第三定律表述为:在热力学温度为()时,一切完美晶体的熵值为零。
A、0℃
B、绝对0 K
C、273K
D、晶体熔点
参考资料【 】
4、【单选题】范德华方程与R-K方程均是常见的立方型方程,对于摩尔体积V存在三个实根或者一个实根,当存在三个实根时,最大的V值是()。
A、饱和液体体积
B、饱和蒸汽体积
C、无物理意义
D、饱和液体与饱和蒸汽的混合体积
参考资料【 】
5、【单选题】超临界流体是下列温度和压力满足( )条件下存在的物质。
A、高于TC和高于PC
B、高于TC,但低于PC
C、低于TC,但高于PC
D、正好等于TC和PC
参考资料【 】
6、【单选题】建立状态方程的意义和作用,以下叙述不正确的是( )。
A、可以解决由于实验的P-V-T数据有限无法全面了解流体P-V-T 行为的问题
B、可以解决实验的P-V-T数据精确度不高的问题
C、可以从容易获得的物性数据(P、V、T、x)来推算较难测定的数据( H,U,S,G )
D、可以解决由于P-V-T实验数据离散不便于求导和积分,无法获得实验数据点以外的P-V-T的问题。
参考资料【 】
7、【单选题】T温度下某过热蒸汽的压力p()
A、大于温度T下的饱和蒸气压
B、小于温度T下的饱和蒸气压
C、等于温度T下的饱和蒸气压
D、根据具体的物质确定
参考资料【 】
8、【单选题】维里方程中第二维里系数B代表()
A、温度的影响
B、两个分子之间相互作用对于理想性的偏差
C、分子的体积
D、分子的形状
参考资料【 】
9、【单选题】纯流体在一定温度下,如压力高于该温度下的饱和蒸汽压,则此物质的状态为( )
A、气相状态
B、超临界状态
C、液相状态
D、不能确定,需要根据具体数据计算
参考资料【 】
10、【判断题】纯物质的饱和液体的摩尔体积随着温度升高而增大,饱和蒸汽的摩尔体积随着温度的升高而减小。
A、正确
B、错误
参考资料【 】
11、【判断题】纯物质由蒸汽变为液体必须经历冷凝的相变化过程。
A、正确
B、错误
参考资料【 】
12、【判断题】根据热力学第一定律,能量是守恒的,因此功能全部转化为热,热也能完全转化为功
A、正确
B、错误
参考资料【 】
13、【判断题】统计热力学又称为分子热力学,既要研究分子内的作用力,又要研究分子间作用力
A、正确
B、错误
参考资料【 】
14、【判断题】对于某个流体,RK方程和van der Waals方程中的参数a和b是一样的。
A、正确
B、错误
参考资料【 】
15、【判断题】临界温度和临界压力的定义分别是气体加压液化时所允许的最高温度和最高压力。
A、正确
B、错误
参考资料【 】
16、【判断题】通过修正理想气体行为可以研究真实流体的热力学性质。
A、正确
B、错误
参考资料【 】
17、【判断题】纯物质 P-V图临界等温线在临界点处的斜率和曲率都等于1.
A、正确
B、错误
参考资料【 】
第二周 单元作业
流体pvt关系分享报告
第二周 单元测验
1、【单选题】维里方程用于二元混合物时,第二维里系数B的混合规则为( )
A、
B、
C、
D、
参考资料【 】
2、【单选题】RK方程用于二元混合物时,RK常数a 混合规则为( )
A、
B、
C、
D、
参考资料【 】
3、【单选题】RK方程用于二元混合物时,RK常数b的混合规则为( )
A、
B、
C、
D、
参考资料【 】
4、【单选题】计算混合物的临界参数时,Kay规则适用于( )
A、维里方程
B、RK方程
C、RKS方程
D、Pitzer三参数压缩因子图
参考资料【 】
5、【单选题】偏心因子表征了分子的( )
A、极性
B、形状
C、挥发程度
D、体积
参考资料【 】
6、【单选题】Pitzer提出的由偏心因子ω计算第二维里系数的普遍化关系式是( )。
A、
B、
C、
D、
参考资料【 】
7、【单选题】混合气体的第二维里系数是( )的函数。
A、温度T和压力P
B、仅为温度T的
C、温度T和组成的
D、压力p和组成的
参考资料【 】
8、【单选题】普遍化第二维里系数和Pitzer三参数压缩因子图的适用范围是不同的,其中普遍化第二维里系数的适用条件为Vr ( )
A、大于或等于2
B、小于2
C、大于2
D、与偏心因子有关
参考资料【 】
9、【单选题】Lydersen三参数压缩因子图,以( )为第三参数。
A、偏心因子
B、压缩因子
C、临界压缩因子
D、对比温度
参考资料【 】
10、【单选题】所谓普遍化状态方程,则用对比参数代替方程中的变量T、p和V,消去状态方程中的反映( ),适用于任何气体的状态方程。
A、压缩因子
B、对比温度
C、偏心因子
D、气体特性的常数
参考资料【 】
11、【单选题】我国学者提出的,在合成氨等工程设计中得到广泛使用的状态方程是( )
A、马丁-侯方程
B、BWR方程
C、BWRS方程
D、PR方程
参考资料【 】
12、【判断题】著名的马丁-侯方程适用于氨、水等强极性流体,但不适合量子气体。
A、正确
B、错误
参考资料【 】
13、【判断题】在使用立方型状态方程计算混合流体的pvt关系时,需要先使用kay规则计算混合物的临界参数,并进一步计算方程的参数a和b。
A、正确
B、错误
参考资料【 】
14、【判断题】两参数压缩因子图仅适用于简单球形流体,为了提高其计算精度,引入第三参数。
A、正确
B、错误
参考资料【 】
15、【判断题】通过将立方型状态方程普遍化可以求出不同方程对应的临界压缩因子。
A、正确
B、错误
参考资料【 】
16、【判断题】计算混合流体pvt关系时,通常采用经验的混合规则,因此不同的状态方程有不同的混合规则,但同一个状态方程仅有一种混合规则。
A、正确
B、错误
参考资料【 】
17、【判断题】压缩液体的体积常从饱和液体体积(或密度)出发,通过进一步计算其比值或差值而获得。
A、正确
B、错误
参考资料【 】
18、【判断题】所有物质的偏心因子均大于0
A、正确
B、错误
参考资料【 】
19、【判断题】为了提高简单对比态原理的计算精度,提出了三参数对比态原理,所提出的第三参数有两种,它们是偏心因子和压缩因子。
A、正确
B、错误
参考资料【 】
20、【判断题】常用的液体pvt关系包括两大类,分别是饱和液体和过冷液体。
A、正确
B、错误
参考资料【 】
21、【判断题】所谓混合规则,是将状态方程中的常数项项表示为混合物组成和纯物质参数项的函数关系。
A、正确
B、错误
参考资料【 】
第三周 单元作业
第三周测验题
1、【单选题】剩余剩余
的概念是表示同温同压下( )的差别.
A、 真实溶液与理想溶液
B、真实气体与理想气体
C、 真实流体与理想气体
D、真实溶液与真实气体
参考资料【 】
2、【单选题】对单位质量、定组成的均相流体体系,在非流动条件下,错误的热力学基本关系式是( ).
A、dH = TdS + Vdp
B、dU = SdT–pdV
C、dG = -SdT + Vdp
D、dA = -SdT–pdV
参考资料【 】
3、【单选题】利用麦克斯韦关系式,其目的是将难测的( )与易测的( )联系起来。
A、H,U,S,G; x, y
B、S;P、V、T
C、H,U,S,G; P、V、T
D、S; x, y
参考资料【 】
4、【单选题】对于dG=-SdT+Vdp等热力学基本方程,说法错误的是( )。
A、能用于气体,也能用于液体或固相
B、只能用于可逆过程,不能用于不可逆过程
C、既可用于可逆过程,又可用于不可逆过程
D、既用于均相系统,也可用于非均相系统
参考资料【 】
5、【单选题】<img src="http://edu-image.nosdn.127.net/7B284FDE0E06D5155FE6F851EEDF3555.jpg?imageView
A、大于零
B、小于零
C、 等于零
D、无法确定
参考资料【 】
6、【单选题】根据剩余性质的概念,当P→0时,实际气体的
为( )
A、大于零
B、等于零
C、小于零
D、无法确定
参考资料【 】
7、【单选题】
A、0
B、Cp-Cv
C、Cp/Cv
D、无法确定
参考资料【 】
8、【单选题】热力学基本关系式dH=TdS+Vdp适用条件是( )
A、敞开系统
B、封闭系统
C、理想气体
D、理想混合物
参考资料【 】
9、【单选题】等压条件下,熵随温度的变化可以用( )来表示。
A、体积
B、定容热容
C、定压热容
D、摩尔体积
参考资料【 】
10、【判断题】理想气体的热力学性质都只是温度的函数。( )
A、正确
B、错误
参考资料【 】
11、【判断题】 dU=TdS-PdV只能用在恒质量体系的可逆过程,不可逆过程不适用。( )
A、正确
B、错误
参考资料【 】
12、【判断题】某气体在由5MPa、100℃的状态到0.1 MPa、100℃的状态变化中的性质变化ΔS就是剩余熵( )
A、正确
B、错误
参考资料【 】
13、【判断题】理想气体等温压缩过程的焓为零( )
A、正确
B、错误
参考资料【 】
14、【判断题】dU=TdS-PdV等热力学基本方程只能用于气体,而不能用于液体或固相( )
A、正确
B、错误
参考资料【 】
15、【判断题】
A、正确
B、错误
参考资料【 】
16、【判断题】
A、正确
B、错误
参考资料【 】
17、【判断题】对于混合物系统,剩余性质的参考态是同温、同压的理想混合物。
A、正确
B、错误
参考资料【 】
18、【判断题】等温条件下,理想气体的熵变与压力是有关的。
A、正确
B、错误
参考资料【 】
19、【判断题】当压力趋于0时,剩余焓的值一定为0。
A、正确
B、错误
参考资料【 】
20、【判断题】通过C-C方程(克拉贝隆-克劳修斯方程),可以由蒸气压方程计算蒸发焓。
A、正确
B、错误
参考资料【 】
第四周 单元作业
纯流体热力学性质分享报告
第四周 单元测验
1、【单选题】在T-S图上,绝热可逆过程工质的状态总是沿着( )进行的。
A、等焓线
B、等熵线
C、等干度线
D、等压线
参考资料【 】
2、【单选题】Vg和Vl 分别为饱和蒸汽和饱和液体的体积,x为湿蒸汽干度,则湿蒸汽的体积V为( )
A、V= x(Vg- Vl) + Vg
B、V= (Vg- Vl) + x Vl
C、V= x(Vg- Vl) +Vl
D、V=(1-x)Vg+ x Vl
参考资料【 】
3、【单选题】常压下某液体沸腾时,保持不变的热力学性质是( )
A、摩尔体积
B、摩尔熵
C、摩尔Gibbs自由焓
D、摩尔内能
参考资料【 】
4、【单选题】在同一温度下,单组分体系T—S图上各等压线随熵值的增大,焓值将( )
A、增大
B、减小
C、不变
D、不一定
参考资料【 】
5、【单选题】如要查询水的饱和蒸气热力学性质表,则需要( )个独立状态参数的已知条件
A、0
B、1
C、2
D、3
参考资料【 】
6、【单选题】纯物质的蒸气压随温度的升高而( )
A、一定降低
B、一定升高
C、根据物质而定
D、无法确定
参考资料【 】
7、【单选题】
A、0
B、R
C、根据物质的状态方程确定
D、没有任何规律
参考资料【 】
8、【单选题】纯物质T-S图的拱形曲线下部称( )区.
A、超临界区
B、气相区
C、液相区
D、汽液共存区
参考资料【 】
9、【单选题】
A、约40604 焦耳
B、约40604千焦
C、4883.8焦
D、4883.8卡
参考资料【 】
10、【单选题】
A、T
B、1/T
C、v
D、1/v
参考资料【 】
11、【单选题】焓压图的横坐标和纵坐标分别为( )
A、焓和温度
B、熵和温度
C、焓和压力
D、熵和压力
参考资料【 】
12、【判断题】纯物质的平衡汽化过程,摩尔体积、焓、热力学能、吉氏函数的变化值均大于零( )
A、正确
B、错误
参考资料【 】
13、【判断题】在T-S图上比容大的等容线在比容小的等容线的左侧( )
A、正确
B、错误
参考资料【 】
14、【判断题】水的三相点随着温度或压力的不同而改变( )
A、正确
B、错误
参考资料【 】
15、【判断题】在同一温度下,纯物质的饱和液体与饱和蒸汽的吉氏函数相等( )
A、正确
B、错误
参考资料【 】
16、【判断题】T-S图和普遍化的压缩因子图一样,是普适的,一张图可以用于任意物质。
A、正确
B、错误
参考资料【 】
17、【判断题】真实气体热容和理想气体热容一样,可以表达为温度的多项式。
A、正确
B、错误
参考资料【 】
18、【判断题】T-S图中的焓值是绝对值,因此绘制该图时必须先定一个基准点。
A、正确
B、错误
参考资料【 】
19、【判断题】采用普遍化压缩因子关系式或普遍化维里系数计算剩余焓,第三个参数是临界压缩因子。
A、正确
B、错误
参考资料【 】
20、【判断题】当湿蒸汽的干度 x = 0 时,工质全部为液体状态。
A、正确
B、错误
参考资料【 】
第五周 单元作业
第五周 单元测验
1、【单选题】流动功的变化与体积功和轴功有关,它们之间的关系可以写为()
A、过程的体积功和轴功的代数和
B、过程的可逆体积功和可逆轴功的代数和
C、等于过程的体积功
D、等于过程的轴功
参考资料【 】
2、【单选题】实际发生的任何过程其总熵变()
A、大于等于零
B、等于零
C、大于零
D、小于零
参考资料【 】
3、【单选题】对于任何循环过程其总的热温商是()
A、等于零
B、大于零
C、小于零
D、不确定
参考资料【 】
4、【单选题】热量传递过程总熵变大于零原因是()
A、损失了热量
B、损失了作功能力
C、损失了内能
D、损失了总能量
参考资料【 】
5、【单选题】体系发生变化时熵增加的原因是()
A、体系吸收了热量
B、体系放出了热量
C、体系损失了做功能力
D、体系损失了能量
参考资料【 】
6、【单选题】体系经过一个循环后不为零的量是()
A、体系的熵变
B、体系与环境交换的功
C、体系的焓变
D、体系内能的变化
参考资料【 】
7、【多选题】一个体系与另一个体系交换能量其形式包括()
A、热量Q
B、功W
C、动能
D、内能
参考资料【 】
8、【多选题】气体压缩过程减小压缩功的消耗可以采用的措施有()
A、压缩过程及时把热量移除
B、降低原料气的温度
C、采用多级压缩
D、采用绝热压缩
参考资料【 】
9、【多选题】气体压缩过程中为减小压缩功可以采用措施()
A、提高原料气的温度
B、减低原料气的温度
C、提高原料气的压力
D、减低原料气的压力
参考资料【 】
10、【多选题】气体输送可以采用的设备
A、离心泵
B、屏蔽泵
C、压缩机
D、膨胀机
参考资料【 】
11、【多选题】多级压缩压缩功消耗低的原因是()
A、每一级的压差小
B、多变指数小
C、气体的压缩过程更接近等温压缩
D、压缩机的余隙小
参考资料【 】
12、【判断题】流动功只有在流体流动过程中才存在
A、正确
B、错误
参考资料【 】
13、【判断题】流动功的变化等于过程体积功和流动功的代数和
A、正确
B、错误
参考资料【 】
14、【判断题】体系内能的变化等于体系与环境交换的功W和热Q
A、正确
B、错误
参考资料【 】
15、【判断题】热量不能从低温物体传到高温物体
A、正确
B、错误
参考资料【 】
16、【判断题】体系经过任何一个循环后其热温商的代数和等于零
A、正确
B、错误
参考资料【 】
17、【判断题】自然界发生的任何过程的熵变都是大于零
A、正确
B、错误
参考资料【 】
18、【判断题】自然界发生的任何过程的热温商都是大于零
A、正确
B、错误
参考资料【 】
19、【判断题】从一个状态变化到另一个状态无论过程怎么变化其熵变都相等
A、正确
B、错误
参考资料【 】
20、【判断题】体系熵的增加是由于功变成热形成的
A、正确
B、错误
参考资料【 】
21、【判断题】根据热力学定律体系的能量是守恒的体系的熵永远是增加的
A、正确
B、错误
参考资料【 】
22、【判断题】过程的熵变与过程是否可逆无关
A、正确
B、错误
参考资料【 】
23、【判断题】热力学性质中,熵、内能、焓一样,其值只有相对大小。
A、正确
B、错误
参考资料【 】
24、【判断题】系统发生状体变化时实际功小于理想功
A、正确
B、错误
参考资料【 】
25、【判断题】在传热过程中,能量的大小没有发生变化,因此没有功损失。
A、正确
B、错误
参考资料【 】
26、【判断题】气体压缩采用多级压缩原因是为了节省压缩功。
A、正确
B、错误
参考资料【 】
27、【判断题】能量的质量降低了等同于能量的做功能力降低了。
A、正确
B、错误
参考资料【 】
28、【判断题】体系发生相同的状态变化时可逆过程的热温商大于不可逆过程的热温商
A、正确
B、错误
参考资料【 】
29、【填空题】节流膨胀的特征(文字表述)
A、
参考资料【 】
第六周 单元作业
热力学定律及应用分享报告
第六周 单元测验
1、【单选题】流体经过绝热可逆膨胀后,流体的焓(), 压力(),流体温度()
A、降低,降低,降低
B、增加,降低,降低
C、降低,降低,增加
D、增加,降低,增加
参考资料【 】
2、【单选题】节流过程的特征是()
A、焓的变化等于零
B、熵的变化等于零
C、内能的变化等于零
D、吉布斯自由能的变化等于零
参考资料【 】
3、【单选题】气体经过绝热膨胀,熵的变化ΔS变化是()
A、等于零
B、大于零
C、小于零
D、不确定
参考资料【 】
4、【单选题】家中冰箱为了节省电可以采用如下哪一种措施()
A、适当提高冷冻室温度
B、用风扇给冰箱降温
C、天气太热时关掉冰箱电源开关
D、用水给冰箱降温
参考资料【 】
5、【单选题】没有暖气的屋子取暖最节电的设备()
A、空调
B、碳纤维取暖器
C、远红外式取暖器
D、暖风机式(PTC)取暖器
参考资料【 】
6、【单选题】理想气体节流时微分节流效应系数μJ
A、等于零
B、大于零
C、小于零
D、不确定
参考资料【 】
7、【单选题】理想气体进行绝热可逆等熵膨胀时μS
A、等于零
B、大于零
C、小于零
D、不确定
参考资料【 】
8、【判断题】理想气体无论进行哪一种形式的膨胀,温度都不变。
A、正确
B、错误
参考资料【 】
9、【判断题】液体经过节流膨胀后温度永远是降低的。
A、正确
B、错误
参考资料【 】
10、【判断题】气体进行的绝热做功膨胀是一个等熵过程。
A、正确
B、错误
参考资料【 】
11、【判断题】气体经过绝热可逆膨胀后温度永远是降低的。
A、正确
B、错误
参考资料【 】
12、【判断题】流体通过喷管的膨胀过程是压力能和动能的相互转化过程。
A、正确
B、错误
参考资料【 】
13、【判断题】制冷循环是把热量从低温传到高温的过程,这个过程进行的前提条件是ΔS总≥0。
A、正确
B、错误
参考资料【 】
14、【判断题】制冷剂应该具有的性质之一是制冷剂的临界温度大于大气的环境温度。
A、正确
B、错误
参考资料【 】
15、【判断题】逆向Carnot循环不能用于实际制冷循环原因是ΔS总=0
A、正确
B、错误
参考资料【 】
16、【判断题】家中空调和冰箱用的制冷剂不选氨气而选氟利昂,这是由于氨作制冷剂性能不如氟利昂。
A、正确
B、错误
参考资料【 】
17、【判断题】氟利昂作制冷剂要逐渐被淘汰,其原因是找到了性能更好的制冷剂。
A、正确
B、错误
参考资料【 】
第七周 作业
第七周 测验
1、【单选题】<img src="https://edu-image.nosdn.127.net/CB4ED7FD65A58B58E8AD73A2FEFAA9D9.jpg?imageView
A、A
B、B
C、C
D、D
参考资料【 】
2、【单选题】<img src="https://edu-image.nosdn.127.net/125ADC509E981FF6BDD39F5CC96F8157.jpg?imageView
A、A
B、B
C、C
D、D
参考资料【 】
3、【单选题】<img src="https://edu-image.nosdn.127.net/69FE53EA678B860E91322368F6467D33.jpg?imageView
A、A
B、B
C、C
D、D
参考资料【 】
4、【单选题】<img src="https://edu-image.nosdn.127.net/0CE31A0B778AA99202EB427C170B3C4F.jpg?imageView
A、A
B、B
C、C
D、D
参考资料【 】
5、【单选题】
A、A
B、B
C、C
D、D
参考资料【 】
6、【单选题】
A、A
B、B
C、C
D、D
参考资料【 】
7、【单选题】
A、A
B、B
C、C
D、D
参考资料【 】
8、【单选题】
A、A
B、B
C、C
D、D
参考资料【 】
9、【单选题】<img src="https://edu-image.nosdn.127.net/30B07642699FEBF83B21B8E57F5367D9.jpg?imageView
A、A
B、B
C、C
D、D
参考资料【 】
10、【单选题】
A、A
B、B
C、C
D、D
参考资料【 】
11、【判断题】
A、正确
B、错误
参考资料【 】
12、【判断题】
A、正确
B、错误
参考资料【 】
13、【判断题】
A、正确
B、错误
参考资料【 】
14、【判断题】<img src="https://edu-image.nosdn.127.net/2ED81D230C059B3807378FADE2F54BC6.jpg?imageView
A、正确
B、错误
参考资料【 】
15、【判断题】<img src="https://edu-image.nosdn.127.net/AE6DF7447DA4EB208881C7587CBBD62A.jpg?imageView
A、正确
B、错误
参考资料【 】
16、【判断题】
A、正确
B、错误
参考资料【 】
17、【判断题】
A、正确
B、错误
参考资料【 】
18、【判断题】
A、正确
B、错误
参考资料【 】
19、【判断题】
A、正确
B、错误
参考资料【 】
20、【判断题】
A、正确
B、错误
参考资料【 】
21、【填空题】<img src="https://edu-image.nosdn.127.net/071DAB21770B077D17614B94B91456AE.jpg?imageView
A、
参考资料【 】
22、【填空题】<img src="https://edu-image.nosdn.127.net/275AF6872C7D1C0AA847FA346E327AB7.jpg?imageView
A、
参考资料【 】
23、【填空题】
A、
参考资料【 】
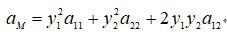
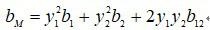
24、【填空题】混合物中不同组分的偏摩尔焓之间的关系符合 方程。
A、
参考资料【 】
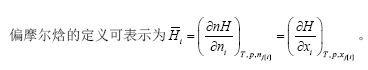
25、【填空题】利用____________方程,可以从某一组分的偏摩尔性质求另一组分的偏摩尔性质。
A、
参考资料【 】
26、【填空题】由 或不含OH基的有机物组成的混合物接近正规混合物。
A、
参考资料【 】
27、【填空题】<img src="https://edu-image.nosdn.127.net/2575AAF07E8F9403426D070039279A14.jpg?imageView
A、
参考资料【 】
28、【填空题】正偏差物系易形成 温度共沸物。
A、
参考资料【 】
29、【填空题】具有 偏差的混合物系可能产生液相分层。
A、
参考资料【 】
30、【填空题】具有 偏差的混合物系形成最高沸点共沸物。
A、
参考资料【 】
第八周 作业
混合流体的热力学性质分享报告
第八周 测验
1、【单选题】
A、A
B、B
C、C
D、D
参考资料【 】
2、【单选题】<img src="https://edu-image.nosdn.127.net/6BE36D8112F7D1B8796810174431D8CB.jpg?imageView
A、A
B、B
C、C
D、D
参考资料【 】
3、【单选题】<img src="https://edu-image.nosdn.127.net/C7BDE995139BC3A516C533FEABFBC347.jpg?imageView
A、A
B、B
C、C
D、D
参考资料【 】
4、【单选题】<img src="https://edu-image.nosdn.127.net/7A4B9B80666038B05CDFB06EA0B43791.jpg?imageView
A、A
B、B
C、C
D、D
参考资料【 】
5、【单选题】
A、A
B、B
C、C
D、D
参考资料【 】
6、【单选题】<img src="https://edu-image.nosdn.127.net/ADAAA15735CD5C410F9B3D52C3CB8123.jpg?imageView
A、A
B、B
C、C
D、D
参考资料【 】
7、【单选题】
A、A
B、B
C、C
D、D
参考资料【 】
8、【单选题】
A、A
B、B
C、C
D、D
参考资料【 】
9、【单选题】<img src="https://edu-image.nosdn.127.net/E59C911AAB8A8B1EEC2F4BA42A85C788.jpg?imageView
A、A
B、B
C、C
D、D
参考资料【 】
10、【单选题】
A、A
B、B
C、C
D、D
参考资料【 】
11、【判断题】
A、正确
B、错误
参考资料【 】
12、【判断题】
A、正确
B、错误
参考资料【 】
13、【判断题】<img src="https://edu-image.nosdn.127.net/14D2415AB590CAE6E207118B213D617E.jpg?imageView
A、正确
B、错误
参考资料【 】
14、【判断题】<img src="https://edu-image.nosdn.127.net/B1494743C0C5EE5655F5F96DEA3A0EB4.jpg?imageView
A、正确
B、错误
参考资料【 】
15、【判断题】
A、正确
B、错误
参考资料【 】
16、【判断题】
A、正确
B、错误
参考资料【 】
17、【判断题】
A、正确
B、错误
参考资料【 】
18、【判断题】<img src="https://edu-image.nosdn.127.net/2CF5F7A9CD8485A15059A070D4E80B6F.jpg?imageView
A、正确
B、错误
参考资料【 】
19、【判断题】<img src="https://edu-image.nosdn.127.net/A47D95FA723C2A40A755450D7B322E52.jpg?imageView
A、正确
B、错误
参考资料【 】
20、【判断题】
A、正确
B、错误
参考资料【 】
21、【填空题】
A、
参考资料【 】
22、【填空题】
A、
参考资料【 】
23、【填空题】<img src="https://edu-image.nosdn.127.net/C15B07A1FA406C75EF16828FB94035E3.jpg?imageView
A、
参考资料【 】
24、【填空题】<img src="https://edu-image.nosdn.127.net/1D96B85547AC1A9D3E50FF64BF083AD0.jpg?imageView
A、
参考资料【 】
25、【填空题】<img src="https://edu-image.nosdn.127.net/1FF4E135FEA3ED4D08DE9EF7CCE70406.jpg?imageView
A、
参考资料【 】
26、【填空题】
A、
参考资料【 】
27、【填空题】<img src="https://edu-image.nosdn.127.net/C5F34C6B567B868BC0D970B4DE8AB32C.jpg?imageView
A、
参考资料【 】
28、【填空题】
A、
参考资料【 】
29、【填空题】<img src="https://edu-image.nosdn.127.net/B570EF6A61752FF147ABF5817927A564.jpg?imageView
A、
参考资料【 】
30、【填空题】<img src="https://edu-image.nosdn.127.net/E048CE460A35E56261286FDD94755074.jpg?imageView
A、
参考资料【 】
第九周 单元作业
第九周 单元测试
1、【单选题】乙醇-水在101.3kPa 下共沸体系,其自由度为( )。
A、0
B、1
C、2
D、3
参考资料【 】
2、【单选题】α,β两相达到平衡,系统的热力学性质表述中错误的是( )
A、
B、
C、
D、
参考资料【 】
3、【单选题】汽液平衡的数学表达式不正确的是( )
A、
B、
C、
D、
参考资料【 】
4、【单选题】汽液平衡关系
的适用的条件是( )。
A、无限制条件
B、低压条件下的非理想液相
C、理想气体和理想溶液
D、理想溶液和非理想气体
参考资料【 】
5、【单选题】二元非理想溶液在极小浓度的条件下,其溶质组分和溶剂组分分别遵守( )。
A、Henry定律和Henry定律
B、Henry定律和Lewis-Randall规则
C、Lewis-Randall规则和Lewis-Randall规则
D、均不适合
参考资料【 】
6、【单选题】正偏差物系是指( )。
A、物系各组分逸度大于1
B、物系各组分活度大于1
C、物系各组分逸度系数大于1
D、物系各组分活度系数大于1
参考资料【 】
7、【单选题】汽液平衡关系
的适用的条件是( )。
A、无限制条件
B、低压条件下的非理想液相
C、理想气体和理想溶液
D、理想溶液和非理想气体
参考资料【 】
8、【判断题】混合物体系达到汽液平衡时,总是有<img src="http://edu-image.nosdn.127.net/C65DB9A2FB54BBBA74281DF9A8E3A306.png?imageView
A、正确
B、错误
参考资料【 】
9、【判断题】在一定压力下,纯物质的泡点温度和露点温度是相同的,且等于沸点。
A、正确
B、错误
参考资料【 】
10、【判断题】在二元系统的汽液平衡中, 若组分1是轻组分,组分2是重组分,若温度一定,则系统的压力随着的增大而增大。
A、正确
B、错误
参考资料【 】
11、【判断题】二元共沸物系统的自由度为2
A、正确
B、错误
参考资料【 】
12、【判断题】低压下的汽液平衡不符合拉乌尔定律
A、正确
B、错误
参考资料【 】
13、【判断题】低压下二元汽液平衡的相图的泡点线为连接两组分饱和蒸气压的直线。
A、正确
B、错误
参考资料【 】
14、【判断题】存在共沸现象的二元混合物不能采用精馏进行分离。
A、正确
B、错误
参考资料【 】
15、【填空题】(丁醇-水)的气液平衡体系的自由度为 。
A、
参考资料【 】
16、【填空题】组分1与组分2形成的二元混合物,在70℃时蒸气压力为
,
,假设汽相可按理想气体处理,其超额自由焓与组成的关系为
,则与液相组成为 (摩尔分率)相平衡的汽相组成y1= ,平衡压力 KPa。(保留两位小数,用一个空格间隔资料)
A、
参考资料【 】
17、【填空题】乙醇(1)-甲苯(2)二元系统的在 T=318 K, p=24.4 kPa下达到汽液平衡。该条件下的汽液平衡表达式为 。(表达式分子分母各置于括号中,角标书写跟在字母后,若有角标先写下标后上标,乘号用*,除号用/)
A、
参考资料【 】
18、【填空题】乙腈(1)—水(2)能形成共沸体系。已知60℃下两组分的饱和蒸汽压分别为 <img src="http://edu-image.nosdn.127.net/D33F8378DCB890B96457AB4F66500A1B.png?imageView
A、
参考资料【 】
19、【填空题】对于负偏差体系,液相的活度系数总是 1.0。(大于、小于或等于)
A、
参考资料【 】
20、【填空题】i 物质和j物质相对的相对挥发度
, 与物质的 和 的大小有关,并不是常数。(表达式分子分母各置于括号中,角标书写跟在字母后,若有角标先写下标后上标,乘号用*,除号用/;资料用一个空格间隔)
A、
参考资料【 】
21、【填空题】相平衡判据为:各相的温度相等,各相的压力相等, 相等, 相等。(用一个空格间隔资料)
A、
参考资料【 】
