hog特征提取方法
方向梯度直方图(Histogram of Oriented Gradient, HOG)
特征是一种在计算机视觉和图像处理中用来进行物体检测的特征描述子。HOG特征通过计算和统计图像局部区域的梯度方向直方图来构成特征。
在一副图像中,局部目标的表象和形状能够被梯度或边缘的方向密度分布很好地描述。其本质为:梯度的统计信息,而梯度主要存在于边缘的地方
Hog特征结合SVM分类器已经被广泛应用于图像识别中,尤其在行人检测中获得了极大的成功。
实现方法:
2、首先将图像分成小的连通区域,这些连通区域被叫做细胞单元。然后采集细胞单元中各像素点的梯度的或边缘的方向直方图。最后把这些直方图组合起来,就可以构成特征描述符。
3、性能提高:
将这些局部直方图在图像的更大的范围内(叫做区间)进行对比度归一化,可以提高该算法的性能,所采用的方法是:先计算各直方图在这个区间中的密度,然后根据这个密度对区间中的各个细胞单元做归一化。通过这个归一化后,能对光照变化和阴影获得更好的效果。
因此HOG特征是特别适合于做图像中的人体检测的 。
1、色彩和伽马归一化。
A)、什么是图像的归一化
图像归一化是指对图像进行了一系列标准的处理变换,使之变换为一固定标准形式的过程,该标准图像称作归一化图像。
这样可以减少光照因素的影响
2、计算图像梯度
计算图像横坐标和纵坐标方向的梯度,计算每个像素位置的梯度方向值;
从原始图像当中抽象出来的数据图像数字符号等等的这些标记称为图像特征。
唯一性,完整性,几何变换不变性,名感性,抽象性
运用图像分割的方法,进行处理成为
1) 面积
2) 位置为图像执行的位置,图像的之心的计算法方法是
位置为质心所在的位置

选择具有最小转动惯量的轴r, 以使所有点p_i到该轴的距离之和达到最小值。

采用链码来表达物体的边界
对于目标物身体界上的各个点及其数值序列进行编码处理,并能够存储一些关于目标物身体界的详细信息。
同样地,在这种情况下,请解释什么是链码表。

原链码:
归一化链码:
原链码具有平移不变性特征,在不同起点下会产生不同的链码表示;因此需要引入归一化链码,并确定一个统一的起始点以保证唯一性;这样可以使存储的数据量最小化。
差分码:
由于归一化链码不具备旋转不变性特征,在某些情况下无法满足需求;于是定义了差分链码来解决这一问题。

傅里叶描述子(傅里叶变换的主要功能在于,在不改变信息量的前提下实现数据表达形式的转换;例如,在卷积运算中,则将数据从时域转换至二维空间中)。
采用傅里叶描述的一个优点是有效地将二维问题转化为一维问题。


使用傅里叶描述子的方法是:省略后面的n-m个点。


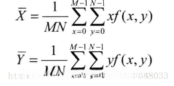
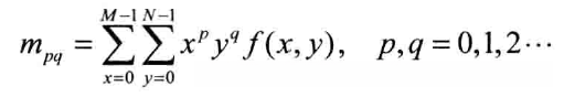
除了外还有偏心度。什么叫做矩?那么什么是矩?在统计学中常用于表征随机变量的分布情况,在力学领域也被用来描述特征物质的空间分布情况。二值图通常被视为一种二维空间中的密度分布模型。而二维矩不变理论中的p+q阶矩定义为:

P+q阶矩的定义

其中x_bar和y_bar是图像灰度中心点。
直方图特征
数字图像可被视为一个二维随机过程的一个样本。
例如:图像灰度直方图能够描述图像的灰度分布情况。(具体而言,在图像中各像素点所对应的灰度值及其出现频率可以通过概率分布的形式进行描述。)

B代表了图像中各个像素所呈现的灰度级别,在图像中某特定灰度b所占的比例即为P(b)。而N(b)则具体指代那些具有灰度值等于b的像素点的数量。
P(b)代表区域内的概率密度函数。
直方图能够全面呈现灰度图像的整体特性,在实际应用中我们往往通过从直方图中提取的一阶统计测度来区分不同类别间的特征差异。
这些统计测度包括均值、方差、能量、熵以及偏度等指标。
偏度:
它反映了数据集围绕中心点u时的空间分布特性。

如果大于零,则表示图像像素偏于中心点的右边。

在图像处理领域当中,均值u反应图像的平均亮度,方差反应图像灰度级分布的分散性。但是这两个值容易受到图像采样情况的影响。
所以应该对他图像进行归一化处理。。使得所有图像中的所有图像都具有相同的均值和方差。
能量是灰度分布对于原点的二阶矩,如果图像灰度值的等概率分布,则能量最小,熵是图像中信息量多少的反应,对于等概率分布,熵最大。
AI写代码
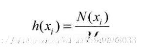
2、特征直方图
设 N(xi)为图像II中某一特征值为xi的像素个数.M为像素总数。

图象的特征直方图为

特征直方图即为某一属性在特定类别中的数据分布情况。例如,在灰度图像中,直方图即表示各灰度值出现的概率分布情况。

3、什么是梯度方向直方图

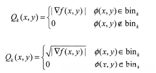
即将梯度的方向正在(-Pi/2,pi/2)中分成k个均匀的区域,


或者是梯度幅值的其他形式吗?不过它们都可以在一定程度上反映像素层面上的一些边缘信息。

b) 根据梯度计算的公式讲每个像素的梯度赋值和方向。
c) 直方图统计的放个单元划分。将图像分成单元和块。一个图像由若干个放个单元组成,
d) 计算一个块当中的hog特征向量。计算一个放个单元的k个梯度特征,对于由nn个相邻方格组成的块,将每个方格单元的梯度特征组合在一起,就可以得到这个块的特征向量。该特征向量是nn*k维度。
e) 对hog特征向量进行归一化,归一化操作是对块进行的,主要是为了使得特征向量空间对光照阴影和变化具有鲁棒性。归一化常用的函数如下:

6)特征向量的生成
在图像中以一个计算单元为步长对块进行提取,在每个块内将各个方向上的梯度直方图进行拼接,从而获得图像的整体HOG( Histogram of Oriented Gradients) 特征。
通过上述步骤计算得到的结果即为 HOG 特征向量。

本节讨论了hog特征提取的一种高效算法。该算法针对hog特征提取问题提出了一个创新性的解决方案,在保证精度的同时显著降低了计算复杂度。具体而言,在图像处理领域中,基于积分直方图(integral histogram)的方法被广泛应用于目标检测中。然而,在这一过程中存在一个主要挑战:传统的暴力枚举法虽然能够实现目标检测功能但其计算复杂度较高导致实际应用中存在明显的性能瓶颈。

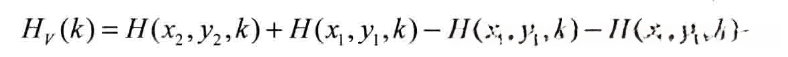
该递推公式用于计算位于坐标点(x,y)上的积分直方图H(x,y,k)值。其中q(x,y)表示在坐标点(x,y)处定义的梯度向量所遵循的具体数学表达式。通过不断递归地应用该迭代关系式,在每个坐标点(x,y)上都能够得到其所在位置相应的积分直方图值H(x,y,k)。通过不断地对所有各点相应的积分直方图进行求解后,则能够得到如图8-13所示区域\nu内的积分直方图H_v所遵循的具体数学表达式

这样计算出来的梯度方向直方图能够显著减少计算开销。
上的学习资料重点内容包括以下几部分:通过将HOG(方向梯度)与SVM(支持向量机)相结合的方法,在图像识别领域得到了广泛应用;基于HOG+SVM的人行 detection方法由法国研究人员Dalal于2005年在CVPR会议上提出;首先将图像划分为多个连通的小区域(称为细胞单元),然后从每个单元中获取各个像素点或边缘的方向直方图信息;最终将这些统计结果综合形成特征描述符。


此处采用偏微分方法计算梯度方向原理上即利用了微分定义式进行操作这一过程具体涉及将图像划分为多个细胞单元随后对每个单元进行梯度方向直方图统计

照这个直方图来看的话,就是
对梯度进行归一化处理:
区间归一化(Block normalization Schemes)
引入v表示一个还没有被归一化的向量它包含了给定区间(block)的所有直方图信息。| | vk | |表示v的k阶范数,这里的k去1、2。用e表示一个很小的常数。这时,归一化因子可以表示如下:
AI写代码

