Energy-Efficient Resource Allocation for Mobile-Edge Computation Offloading
发布时间
阅读量:
阅读量
Energy-Efficient Resource Allocation for Mobile-Edge Computation Offloading
一、引言
移动边缘计算(Mobile Edge Computing,MEC)是当前移动通信中兴起的一项技术,其设计理念在于将MEC服务器就近部署在无线接入网,因此可以就近为用户提供丰富多彩的服务,使得用户可以享受到高质量的上网体验。边缘云的计算资源以及通信资源都是有限的,为了为用户提供更好的服务,需要对计算资源进行合理的分配。
二、建立模型
本篇论文研究的问题为:
1)计算资源的分配:确定系统中每一个用户执行边缘计算还是本地计算,多少数据量执行边缘计算(即计算卸载),多少数据量执行本地计算
2)通信资源的优化:边缘计算的用户怎样分配信道资源(即以多大速率传输数据
目标:将移动设备的加权总能耗最小化
假设的条件为:
1)边缘服务器对设备的信道增益、计算数据量、单位能耗等全部获知
2)只考虑计算数据的上行,忽略计算结果的下行
3)准静态场景,即在短时隙内各种参数不变
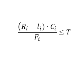
4)所有用户的任务完成时限为T
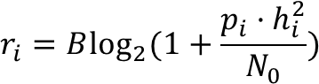
2.1 通信模型


2.2 本地计算模型
本地计算需要满足的约束条件:


本地计算的能耗为:


三、问题描述与求解

四、算法


全部评论 (0)
还没有任何评论哟~
