[深度学习论文笔记][Neural Arts] A Neural Algorithm of Artistic Style
Gatys et al., Leon A., Alexander S. Ecker, and Matthias Bethge contributed significantly to the field by introducing a novel approach for artistic expression through a neural mechanism in their influential study published in the arXiv preprint series under the identifier arXiv:1508.06576 in 2015. Their research has been widely cited, accumulating a notable count of 99 citations since its publication.
1 Motivation
Given two images, one designated as the content source and another as the style template, our aim is to create a synthesized image that conforms to their respective representations.
2 Method
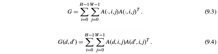
We calculate the correlations between response patterns across various filters as style-related metrics, where the expectation is calculated based on the spatial extent of the input image. These feature correlations are represented by G ∈ R^{D×D}.

Starting from a random noise image, we aim to jointly minimize its content and style representations.

3 实验
我们匹配了内容表示在VGGNet层conv4-2上,并在层conv1-1、conv2-1、conv3-1、conv4-1和conv5-1上匹配了风格表示。请参见图中的结果

Apparently, when aligning style representations across various network layers, local image structures are matched at progressively larger scales, resulting in a more seamless visual experience. This phenomenon can be attributed to the increasing size of the receptive fields and growing complexity of features as they progress through the network.
Emphasizing style to a significant extent leads to generated images whose visual characteristics closely resemble those of a reference style image. Resulting in highly textured versions that capture key texture elements, while barely revealing any traceable signs from
References
