【图像分割】基于灰狼算法优化Otsu图像实现多阈值分割matlab源码
摘要:Otsu 方法是最为广泛应用的图像分割技术之一;也可通称为最大类间方差下的最优阈值划分策略;其选取最优阈值的标准通常是使图像内外区域方差达到最大或最小;基于单个最佳阈值的方法可发展为多级或多层次的复杂化处理方案;通过设置多个不同参数来划分出若干个独立的目标区域;引入智能优化算法可显著提升搜索效率
假定一个图像具有L个灰度级值[1,2,…,L]。其中ni表示灰度级为i的像素点数目,则该图像总的像素点数目应为N=n1+n2+…+nL。为了便于讨论和后续分析的目的,在保证统计特性不变的前提下采用归一化的灰度级直方图作为该图像的概率分布模型:即对于每一个灰度级i(i=1,2,…,L),其对应的概率pi定义为p_i = n_i / N。

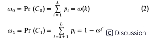
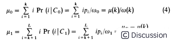
假设我们选择一个阈值k来将这些像素归类为C₀和C₁两类(分别对应背景与目标);其中C₀包含灰度级从1到k的所有像素点,而C₁则包含从k+1到L范围内的像素点。进而得出各类的概率及其平均灰度值由以下公式计算:

以及

其中,

分别为灰度级从1到k的累积出现概率和平均灰度级(一阶累积矩),而

是整幅图像的平均灰度级。我们可以很容易验证,对于任意选定的k,都有:

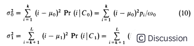
这两类的类内方差由下面的公式给出:

这需要二阶累积矩(second-order cumulative moment,统计学概念)。
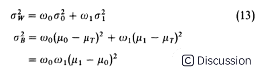
为评估灰度级k这一门限值的好坏程度 我们应采用判别式分析中的标准来测定(类间分离性)

其中:

又根据式(9),可以得出:

这些式子分别代表了类内方差、类间方差以及灰度级的总方差。接着而言之,则是我们将问题转化为一个优化问题:寻找一个门限k以便(12)式中的目标函数达到最大值。
基于这样一个假设。
一个合适的门槛能够将灰度级划分为两个类别。
反过来思考的话,则意味着如果一个门槛能够在灰度级上实现最佳的分类效果,则该门槛即为最佳门槛。
那么这个门限就是最好的门限
该判别式标准旨在分别求取λ、κ和η这三个变量的最大值。值得注意的是,在这种情况下,对于κ而言它等于另一个相关变量加一(如κ=λ+1);而对λ而言,则有另一变量η与之相关联(如η=λ/(λ+1)),这是因为其中存在一种基本的关系式:



3.算法结果: 以lena图像为例:
单阈值结果:
3阈值结果:
4阈值结果: 往期回顾>>>>>> ```
###### 🎈 部分理论引用网络文献,若有侵权联系博主删除
###### 🎁 关注我领取海量matlab电子书和数学建模资料
#### 👇 私信完整代码和数据获取及论文数模仿真定制
######
##### 1 各类智能优化算法改进及应用
###### 生产调度、经济调度、装配线调度、充电优化、车间调度、发车优化、水库调度、三维装箱、物流选址、货位优化、公交排班优化、充电桩布局优化、车间布局优化、集装箱船配载优化、水泵组合优化、解医疗资源分配优化、设施布局优化、可视域基站和无人机选址优化、背包问题、 风电场布局、时隙分配优化、 最佳分布式发电单元分配、多阶段管道维修、 工厂-中心-需求点三级选址问题、 应急生活物质配送中心选址、 基站选址、 道路灯柱布置、 枢纽节点部署、 输电线路台风监测装置、 集装箱船配载优化、 机组优化、 投资优化组合、云服务器组合优化、 天线线性阵列分布优化、CVRP问题、VRPPD问题、多中心VRP问题、多层网络的VRP问题、多中心多车型的VRP问题、 动态VRP问题、双层车辆路径规划(2E-VRP)、充电车辆路径规划(EVRP)、油电混合车辆路径规划、混合流水车间问题、 订单拆分调度问题、 公交车的调度排班优化问题、航班摆渡车辆调度问题、选址路径规划问题
######
##### 2 机器学习和深度学习方面
**2.1 bp时序、回归预测和分类**
**2.2 ENS声神经网络时序、回归预测和分类**
**2.3 SVM/CNN-SVM/LSSVM/RVM支持向量机系列时序、回归预测和分类**
**2.4 CNN/TCN卷积神经网络系列时序、回归预测和分类**
###### 2.5 ELM/KELM/RELM/DELM极限学习机系列时序、回归预测和分类
###### 2.6 GRU/Bi-GRU/CNN-GRU/CNN-BiGRU门控神经网络时序、回归预测和分类
**2.7 ELMAN递归神经网络时序、回归\预测和分类**
###### 2.8 LSTM/BiLSTM/CNN-LSTM/CNN-BiLSTM/长短记忆神经网络系列时序、回归预测和分类
**2.9 RBF径向基神经网络时序、回归预测和分类**
###### 2.10 DBN深度置信网络时序、回归预测和分类
###### 2.11 FNN模糊神经网络时序、回归预测
###### 2.12 RF随机森林时序、回归预测和分类
###### 2.13 BLS宽度学习时序、回归预测和分类
###### 2.14 PNN脉冲神经网络分类
###### 2.15 模糊小波神经网络预测和分类
###### 2.16 时序、回归预测和分类
###### 2.17 时序、回归预测预测和分类
###### 2.18 XGBOOST集成学习时序、回归预测预测和分类
###### 方向涵盖风电预测、光伏预测、电池寿命预测、辐射源识别、交通流预测、负荷预测、股价预测、PM2.5浓度预测、电池健康状态预测、用电量预测、水体光学参数反演、NLOS信号识别、地铁停车精准预测、变压器故障诊断
##### 2.图像处理方面
###### 图像识别、图像分割、图像检测、图像隐藏、图像配准、图像拼接、图像融合、图像增强、图像压缩感知
##### 3 路径规划方面
###### 旅行商问题(TSP)、车辆路径问题(VRP、MVRP、CVRP、VRPTW等)、无人机三维路径规划、无人机协同、无人机编队、机器人路径规划、栅格地图路径规划、多式联运运输问题、 充电车辆路径规划(EVRP)、 双层车辆路径规划(2E-VRP)、 油电混合车辆路径规划、 船舶航迹规划、 全路径规划规划、 仓储巡逻
##### 4 无人机应用方面
###### 无人机路径规划、无人机控制、无人机编队、无人机协同、无人机任务分配、无人机安全通信轨迹在线优化、车辆协同无人机路径规划
##### 5 通信方面
###### 传感器部署优化、通信协议优化、路由优化、目标定位优化、Dv-Hop定位优化、Leach协议优化、WSN覆盖优化、组播优化、RSSI定位优化、水声通信
##### 6 信号处理方面
###### 信号识别、信号加密、信号去噪、信号增强、雷达信号处理、信号水印嵌入提取、肌电信号、脑电信号、信号配时优化、心电信号、DOA估计、编码译码、变分模态分解、管道泄漏、滤波器、数字信号处理+传输+分析+去噪、数字信号调制、误码率、信号估计、DTMF、信号检测
##### 7 电力系统方面
###### 微电网优化、无功优化、配电网重构、储能配置、有序充电
##### 8 元胞自动机方面
###### 交通流 人群疏散 病毒扩散 晶体生长 金属腐蚀
##### 9 雷达方面
