Modality-aware Collaborative Learning for Visible Thermal Person Re-Identification(7.28 论文笔记)
-
标题:Modality-aware Collaborative Learning for Visible Thermal Person
Re-Identification -
来源:会议 ACM
-
关键词:跨模态ReID
1、动机
现有的跨模态ReID方法通常使用模态共享的分类器学习跨模态的特征表示,以缓解模态差异和极大的跨相机类内差异。然而,这种学习策略忽略了不同模态的区分性信息(discriminative information)。因此,文章为VT-ReID提出一种基于双流网络的模态意识协同学习方法(modality-aware collaborative,MAC),从特征层面、分类器层面解决模态差异问题。
2、贡献
- 结合模态共享、模态特异身份分类器,从特征层面、分类器层面解决模态差异问题。
- 提出一种协同学习机制,利用不同分类器之间的关系。
3、算法
1) baseline 模型:
采用部分共享参数的双流网络结构(卷积层参数特异,FC层参数共享)来学习特征表示,解决特征层面上的模态差异问题。
-
Baseline网络

-
Baseline损失:采用基准的难样例挖掘的Triplet损失和identity损失构成基线的损失:

2) 模态意识的协同学习:(MAC)
除了共享特征分类器,学习两个模态特异分类器。此外为进一步挖掘模态特异信息,引入一个模态二分类器。
-
MAC网络:

-
基线分类器(θ0):identity损失。
-
模态特异分类器(θv;θt):identity损失,分别学习针对模态的分类器参数。
-
模态分类器(θm):同样采用identity损失(虽然是个二分类,这里当成多分类,使用多分类交叉熵损失)。
3) 多分类器的协同学习:
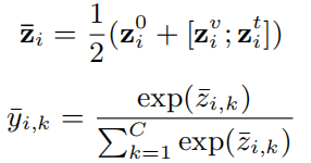
模态特异和模态共享分类器分开优化,可能损失不同分类器之间的互补性。因此在协同学习中,引入平均标签策略:(z0、zv、zt分别为θ0、θv、θt分类器的输出)

- 协同学习损失:基于上述平均化预测标签,引入一个‘一致性正则项’,保持三个分类器的平均预测与模态共享分类器预测具有一致性。

4)总损失:

4、性能
SYSU-MM01 (Single-Shot All Search):rank-1 33.26
参考文献:
[1] M. Ye, X. Lan, and Q. Leng, “Modality-aware Collaborative Learning for Visible Thermal Person Re-Identification,” presented at the Proceedings of the 27th ACM International Conference on Multimedia, 2019.
