强化学习第六章:随机近似与随机梯度下降
强化学习第六章:随机近似与随机梯度下降
-
随机近似算法(Stochastic Approximation, SA)
-
RM算法(Robbins-Monro, RM)
-
- RM算法干什么的
- RM算法怎么干的
- RM算法为什么能这么干
-
RM算法与蒙特卡洛方法
-
随机梯度下降算法
-
- 梯度下降算法(Gradient Descent, GD)
- 批量梯度下降算法(Batch Gradient Descent, BGD)
- 随机梯度下降算法(Stochastic Gradient Descent, SGD)
- 随机梯度下降算法收敛性分析
- 随机梯度下降算法收敛过程分析
- 中庸之道:微批量梯度下降(Mini-Batch Gradient Descent, BGD)
-
总结
-
参考资料
随机近似算法(Stochastic Approximation, SA)
SA算法是一类寻根(方程求解)或优化问题的 随机迭代 算法。随机采样,迭代近似。还有,SA相较于其他方法(比如梯度下降)的强大之处在于 不需要知道 目标函数或者其导数或梯度的 表达式 。
RM算法(Robbins-Monro, RM)
RM算法是SA算法中非常经典的一个算法。
RM算法干什么的
假使,现在求解的问题:

其他类似的问题(优化问题等)也可以转化 为方程求根问题:

MakaBaka表示很熟悉,不就是求方程的根 w 嘛,但是挠了挠头发现连方程都不知道是啥,咋求根呢?MakaBaka手指一掐,白眼一翻,喃喃道:“RM算法助我!!!”。
RM算法怎么干的
下面这么干的:

MakaBaka拿着 wk 发现拿到的 g(w) 不够好,该如何优化呢,RM告诉MakaBaka说执行一个仪式:“把 wk 往下面的黑盒里面塞,得到 g(w) 之后加噪音拿到 g˜(wk, ηk) ,用 wk 减去 g˜(wk, ηk) 的一部分,这部分是多少呢,由 ak 决定”。

这样得到的 wk+1 就比 wk 更好吗?举个直观的例子验证一下,现在有这么一个问题:

根据RM的仪式得到的中间过程:

分析一下:

MakaBaka笑着说:“每次 wk 减去 ak*g˜(wk, ηk) 之后都能朝着根前进,随着 k 增大, g(w) 逐渐收敛到0, g˜(wk, ηk) 中噪音的噪音越来越大, ak 逐渐收敛到0,太神奇了”。
RM算法为什么能这么干
细心和眼尖的人已经发现了,上面举的例子是不是个巧合呢,其他的行不行,比如单调递减的呢?好问题,这里给出什么时候能向上面那样做,RM原话:

MakaBaka表示RM原话看不懂,说说人话:
-
条件一:梯度的限制

这个条件约束了函数的梯度,得 大于零 ,让函数单调递增, 有唯一解 。但是不能太大,太大冲破了天际永远也找不到回家了路了,MakaBaka想着。 -
条件二:系数ak的限制

为什么要这样限制呢,将RM算法变换一下:

所以需要当k趋近无穷的时候ak趋近于0,让w收敛到真根:

OK,目的是: k趋近无穷的时候ak趋近于0 。如何限制?MakaBaka挠了挠头,看向了第二个限制:

巧了嘛,这不是,前者就完成了上面的目的,后者是干什么的?后者是让 ak慢慢减小到0 ,当k趋近无穷,ak趋近0,而不是说k等于某个常数num,ak就为0了,如果这样到达num步之后,后面就在做 无用功 (回想RM过程)了。后者的第二层作用是让w的初始值的选取可以是随心所欲的,不受真根的影响:

说的很清楚,假设 sigma(k=1,k=n)(ak) <无穷 ,那w的选取就被限制了,他离真实根的差是有界的,有界说明不能放飞自我地选。 -
条件三:噪音ηk的限制
引入中心为 g(w)=0* 的噪声,同时让噪声的方差有界,MakaBaka转了转自己的脑子,理解并得到了的两个猜想: 如果不约束均值,那么就引入了系统性误差,导致结果偏离真实根? 如果不约束方差,假如噪声取了无穷,那么会让算法无法收敛?
RM算法与蒙特卡洛方法
上面提到的RM算法和之前学得蒙特卡洛方法有什么关系吗,为什么要学RM算法?
MakaBaka吧蒙特卡洛方法拿在手里揉了揉,拆了拆,发现了一件事,公式可以变个型:


恐怖如斯,之前近似期望的时候需要用N个样本来计算均值,现在给出了迭代的形式,那这里就有两种方式进行近似了:

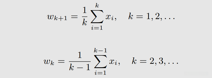
Incremental形式再推广一下:

为啥要搞成这样呢,这这东西最终能让 w 收敛到期望吗,当 ak = 1/k 的时候就是蒙特卡洛,是收敛的吗?

对于ak方求和:

ln(n)是发散的,所以ak方求和也是发散的。
对于ak求和也有结论是收敛到一个常数的:

ak = 1/k 是蒙特卡洛近似,是收敛的。
上面的Incremental推广式和RM算法长得有点像,能不能说明上面的式子是个RM算法来间接证明呢?
MakaBaka发现了关键:假如 wk - xk = g˜(wk, ηk) ,那上面不就是一个RM算法了吗。为了达到这个目的,考虑下面这样一个 g(w) :

采个样就能得到:

MakaBaka拿出了尘封的草稿纸:

所以有:

目的达成,这就是一个RM算法。
最后,来段糕手看的证明:

随机梯度下降算法
前面也提到了很多梯度相关的东西,RM算法靠近真实根利用的是减去 ak*g˜(wk, ηk) , 那这几种是怎么算的呢,哪些跟RM是一类的?
假设现在有一个优化问题:

这个优化过程为一步步执行,有下面三种方式。
梯度下降算法(Gradient Descent, GD)
利用函数的真实梯度来求解,这需要知道函数的样子(才能求出梯度):

批量梯度下降算法(Batch Gradient Descent, BGD)
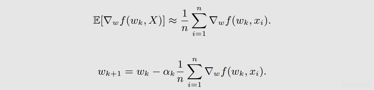
假设不知道函数长什么样子呢,也就说求不出梯度,那就用蒙特卡洛思想来近似梯度:

Batch指的就是n个样本。收集完了之后才能近似梯度的期望。
随机梯度下降算法(Stochastic Gradient Descent, SGD)
假如我随机采样一个样本作为梯度的期望呢:

随机梯度下降算法收敛性分析
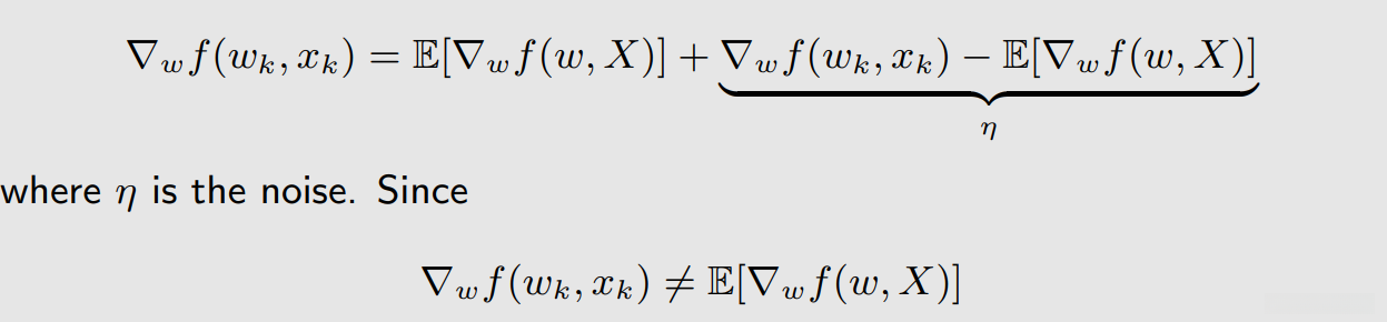
随机选一个准不准啊。随机的不准,但梯度下降肯定是准的,从梯度下降过度到随机梯度下降分析下:

其中随机梯度与真实梯度之间存在一个误差:

接下来就是见证奇迹的时刻,开始套RM框架:

目的是找 g(w) = 0 的根:

没的说,小学生也会的加加又减减,顶级,MakaBaka拍了拍手。

-
条件一:函数的二阶导数
即Hessian矩阵,由二阶偏导数以及二阶混合偏导数组成,Hessian矩阵 正定 (每个值都大于零)表示函数是凸的。凸的就保证每次迭代的时候能 最快地向最小值 (凸函数的极小值即为最小值)靠近。同时又 不能太大 ,能让算法 稳定收敛 。 -
条件二:ak的约束
MakaBaka回忆了起来。 -
条件三:样本独立同分布
之前的RM算法 显式地对误差 的方差收敛性提出要求,因为它一般处理的是更为抽象的随机逼近问题,误差直接影响到逼近的准确性和收敛性。这里通过 假设样本i.i.d. ,确保在有限样本的情况下梯度估计的无偏性和方差控制,相当于简化了。
随机梯度下降算法收敛过程分析
分析下随机梯度下降算法收敛过程中当w越来越靠近w*的时候误差是怎么变化的。
用随机梯度与批量梯度之间的关系定义一个相对误差项:

加加又减减:

分式下方减个0不影响,同时这样利用中值定理(拉格朗日拉师傅的)获得了关键因子 (wk - w),MakaBaka挠了挠头,死去的记忆开始攻击他,拉格朗日中值定理(Lagrange Mean Value Theorem, LMVT):

又出现了二阶导数,那么函数是凸的,二阶导数是大于某个值的:

上面的式子,常数 (wk - w) 从期望计算拿出去,乘积绝对值等于绝对值乘积:

最终得到了这样一个相对误差的表达式:

这样就好分析了:

中庸之道:微批量梯度下降(Mini-Batch Gradient Descent, BGD)


MakaBaka表示这就是人话了。
对比一下,注意三者之间的关系,特别是 m = n 的时候:

总结

