汽车/车载/自动驾驶/辅助驾驶相关认知记录
汽车四大柱:
由于驾驶员距离A柱较近,所以驾驶员在观察前方路况时,左侧A柱导致的视野盲区范围会比右侧A柱导致的事业盲区范围大,如下图所示:


can bus topology

汽车的盲区都有哪些?
汽车盲区分为A柱盲区和后视镜盲区,对于这种盲区的话,两路BSD已经不够用了,必须得四路BSD了.感兴趣的可以搜索大货车的"死亡弯月".

前置前驱汽车的主要部分安装位置

汽油化学式:
等效化学式是C8H18, 汽油主要成分为C5~C12脂肪烃和环烷烃类,以及一定量芳香烃,没有固定的化学式。
所以,要使汽油充分燃烧,汽缸进气阀和进油阀的比例应该是一份油,12.5份的空气,这里的份表示质量,不是体积。

化油器和电喷,电喷的受益者其实是其实,摩托车没有收益,主要原因是摩托车的汽缸冲程太快了,电喷没有充足的时间和空气进行燃油混合。
ADAS认知

中国制造2025规划的几大方向,新能源汽车是主攻领域之一


ADAS深化认知:

汽车功能分解:


支持自动驾驶的主要论据是什么?Why?
减少事故,减少事故,减少事故,机器的感知,算法的思考.
只有当道路上的大部分汽车都是完全自动驾驶的时候,无人驾驶汽车的一些好处才会显示出来,这样做的好处之一是实施自动交通优先系统,该系统将简化通勤,并帮助紧急车辆更快的将生病的乘客送往医院,这样一个分级的交通有限系统将要求所有的汽车都是全自动的,因为人类驾驶员并不总是有自律性或者大局观来适当的额遵守路线规划提示。
自动驾驶分级 - 来自于美国汽车工程师学会(Society of Automotive Engineers)

麦佛逊式悬挂

关于轴距:
轴距就是汽车前轴中心到后轴中心的距离。对于三轴以上的汽车,其轴距由从前到后的相邻两车轮之间的轴距分别表示,总轴距为各轴距之和,汽车的轴距短,汽车长度就短,质量就小,最小转弯半径和纵向通过半径也小,汽车的机动性就好。但如果轴距过短,则车厢长度就会不足,后悬 (车辆最后轮轴线与汽车最后端的距离) 也会过长,就会造成行驶时纵向摆动大及制动﹑加速或上坡时质量转移大,其操纵性和稳定性就会变坏。如果轴距过长,就会使得车身长度增加,从而后部倒车盲区也会偏大,如果不增加倒车雷达,倒车对新手而言是个严峻的考验,根据各国车型的特点,一般同一类型的车型,欧洲品牌车型的轴距比较小,而美国品牌车型的轴距比较大,日韩系车是中间水平.


汽车分箱是怎么分的?
现代汽车如果按照车身结构去划分,那么可以分为单厢车、两厢车以及三厢车,厢指的是独立空间,三厢车的三个厢分别为发动机舱、车厢、后备箱;两厢车有独立的发动机舱,但车厢和后备箱连在了一起;至于单厢车就是车厢和后备箱一体,并且没有发动机舱,比如面包车,发动机安装在车厢座位下,所以车厢的噪音会比较大。


本田雅阁:

L2级自动辅助驾驶的特征是什么?
特征是,是否支持自适应巡航~L2级自动驾驶指有人监管状态下的自动驾驶,实际上属于高级驾驶辅助功能
新卡罗拉全系标配10项主动安全配置,另外还全系标配最新的丰田TSS系统(Toyota Safety Sense丰田智行安全系统),提供全速域自适应巡航、车道循迹辅助等5项驾驶辅助技术。 得益于丰富的驾驶辅助配置,新卡罗拉全系支持L2级自动驾驶(L2级自动驾驶指有人监管状态下的自动驾驶,实际上属于高级驾驶辅助功能) 。
关于自动驾驶数据量的认知:
自动驾驶的复杂性是超出我们认知的,自动驾驶的决策过程会产生大量的数据。作为对比,当一架空客A380以自动飞行模式从漠河飞往海南岛,仅仅需要3MB的数据,而一辆L4级自动驾驶车辆仅处理日常任务就需要45TB的数据,造成这种差距的原因,我觉得有下面几条原因。
1.飞机的自动驾驶,航线简单,不会遇到汽车自动驾驶那么多的路况,而且有塔台的协助,部分数据量由地面承担了。
2.汽车自动驾驶是平面交通,而飞机的自动驾驶航线是立体的,这无疑大大减轻了飞行控制系统的负担。
自动驾驶车辆系统框图
摄像头,超声波,声音,雷达和激光雷达传感器各有利弊,但是,如果将他们智能地组合在一起,则结果将是详细而可靠地360度试图。传感器融合.

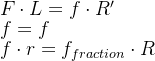
什么是汽车扭矩
汽车扭矩指的是汽车的扭矩力,也是发动机从曲轴端输出的力矩。在发动机功率固定的条件下,扭矩与发动机的转速成反比关系,转速越快发动机的扭矩就越小,转速越慢发动机的扭矩就会越大,同时也反映出了汽车在一定范围内的负载能力。发动机的扭矩和功率是一样的,这是发动机主要的参数之一,通过发动机的功率能够反映出汽车的性能,包括汽车的加速度、爬坡能力以及悬挂等,扭矩越高汽车运行的反应便越好,扭矩越大说明汽车的承载力就越大,加速性能就会越好,发动机换挡的次数就会变少,这样可以减少发动机的磨损。对于家用轿车而言,扭矩越大加速性越好;对于越野车来说,扭矩越大其爬坡度越大;对于货车来说,扭矩越大车拉的重量越大。相同排量的汽车,扭矩越大说明发动机越好。
ADAS系统刷新
增加自动召回:

消费电子和汽车合作的点

交通部规范:
在GB的基础上,每个省制定了各自的ADAS规范,除了考虑本地的实际交通情况,还有利益因素.
http://jtt.shandong.gov.cn/module/download/downfile.jsp?classid=0&filename=b8e6e2accd3446a28aae84dfa21a0757.pdf
http://jtyst.jiangsu.gov.cn/module/download/downfile.jsp?classid=0&filename=9c0bb9aae5514704bfb7fe11f8fb5d73.pdf
百度apollo基于linux内核:

液力变矩器
液力变矩器的工作原理Torque Converter【纸上谈车25】_哔哩哔哩_bilibili

液力变矩器后面连着变速箱(AT)

CAN总线的物理形态

CAN是有两条线的:


RTT中的CAN驱动:



支持CAN总线的开发板

汽车转弯的学问-阿克曼角
阿克曼基本原理告诉我们,汽车在行驶过程中(直线和转弯时候),每个车轮的运动估计必须符合他的自然运动轨迹,从而保证轮胎与地面始终处于纯滚动。汽车的转向过程就是阿克曼转向,同样他是是移动机器人的一种运动模式,

汽车生产产业链的特点:

汽车行业里有众多的整车厂(OEM)和供应商。一般来说,每一家OEM会生产不止一种车型,每一家OEM对不同子系统和零部件会选择不止一个供应商,每个供应商也会向不止一家OEM供货。减少开发成本最有效的办法就是,尽可能让产品可重复利用,用数量来分摊开发成本。OEM希望可以让同一套系统和部件用在不同的车型上;同一辆车上来自不同供应商的的各个系统和部件可以相互兼容;而供应商希望开发出来的部件和算法可以通过简单的软件调整就供给不同的OEM。
另一方面,各个供应商的开发进度往往是不同步的。人们希望可以在供应商开发的过程中就可以测试该部件能否与整车上的其它系统正确配合。因此需要一种统一的、标准化的系统描述方法。
这便是AUTOSAR的初衷,即通过提升OEM以及供应商之间软件模块的可复用性和可互换性来改进对复杂汽车电子电气架构的管理。
为此,AUTOSAR做了以下3件事情:
- 对应用软件与底层软件之间以及应用软件之间的接口进行标准化
 - 给出一个控制器软件参考架构
 - 规范分布式开发流程中的交换格式
 
通过这些手段,AUTOSAR希望可以做到:
- 提高软件的可扩展性和灵活性,方便应用功能的集成和转换,以及控制器网络的优化
 - 提升软件的可复用性
 - 降低产品和流程的复杂度和风险
 - 提升软件的开发和更新速度
 - 降低软件开发和维护成本
 
AUTOSAR提出了一个口号,叫做“Cooperate on standards, compete on implementation” 。意思就是汽车行业的整车厂和供应商共同合作开发一套汽车电子系统的软件开发标准,这样大家就可以专注于功能的开发,而无需顾虑目标硬件平台。
接口之间的转换:

autostar架构

- 微控制器(Microcontroller) :即控制器硬件。
 - 基础软件层(Basic Software Layer,BSW) :基础软件层,它包含了以下4个部分:
- 微控制器抽象层(Microcontroller Abstraction Layer,MCAL) :是与硬件直接相关的驱动软件,例如对存储器、通信寄存器、IO口的操作等等。
 - ECU抽象层(ECU Abstraction Layer,ECUAL) :是对控制器的基础功能和接口进行统一,比如CAN报文内容的解析、网关报文的转发、存储器读写流程的控制等等。
 - 服务层(Services Layer) :为应用层提供各种后台服务,比如网络管理、存储器管理、总线通信管理服务以及操作系统等。
 - 复杂设备驱动(Complex Device Drivers,CDD) :为用户提供了一个可以自行编写特殊设备驱动软件的可能性。
 
 - 运行环境(Runtime Environment,RTE) :是AUTOSAR的核心,它将应用软件层与基础软件层剥离开来,为应用层软件提供运行环境,如进程时间片调度、应用层模块之间以及应用层与基础软件层之间的数据交换等。
 - 应用软件层(Application Software Layer,ASW) :即实现具体应用功能的软件。它可以包含多个软件组件(Software Component,SWC) 。
 
其中基础软件层可以再细分成很多个小模块。下面是Vector公司给出的基础软件层的模块图。其中绝大部分的模块都由AUTOSAR作了详细描述,从具体的功能、工作流程到接口。一级供应商在开发的时候只需要根据实际需求,购买相应的基础软件模块,再进行配置和集成即可。这就有点像乐高积木一样。这使得供应商对控制器基础软件的开发由实现(implement)变成了配置(configurate),大大增加了开发效率,也减少了错误几率。
自行车飞轮
自行车飞轮的单向旋转原理,液力变矩器的导轮原理和它有点像,也是单向旋转。

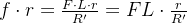
关于汽车的扭矩分析,我们可以从变速自行车的力矩分析入手:

以上是前后轮的受力分析,我们根据力矩平衡列出公式:

得到:

当路面最大静摩擦力和后轮半径不变的情况下

为定值。
所以,踏板力F为:

所以,根据公式可以看出,中轴越长,越省力,链轮和飞轮半径比越大,越费力,这和感受是相符的。
传递给后轮的扭矩为:

所以,可以看到,当飞轮为大轮,链轮为小轮的时候,传递给后轮的扭矩越大,骑行越轻松,但这个时候档位其实对应的是比较低的档位的。
对比自行车,我们可以理解了为何汽车以低档位启动,扭矩最大。
路径规划
路径规划的简单目标是让车辆到达目的地,不同制造商使用的实际传感器和方法略有不同,但用于路径规划的算法将类似于以下的描述:
车辆需要确定一个预估的远程路径,它是由不断变化的短程路径组成的,这些短程路径(左转,加速,换道等)是车辆在当前运行条件下能够实现的,任何短距离的路线,包括太接近障碍物,在没有足够的时间完成操控的情况下进入迎面而来的车辆的路线,以及类似的路线,都将被拒绝。另一个例子是一辆以90KM/H的速度行驶的汽车,它在25M内不能急转弯,但他可以在不改变速度的情况下在路面上开一个比较缓的弯道,如果前方有一段合适的距离没有障碍物的话。
关键事实是,任何危险的短程路程都被拒绝成为选项。
对剩余的可行路径进行评估,一旦确定了最佳路径,就将一组加速,制动和转向命令发送给适当的系统控制器和执行器。
关键事实是,远程路径是由不断变化的短程路径组成的。
华为ADAS研究


华为造车战略
汽车产业是少数几个具备深厚的用户基础,却没有完全实现电子化的产业,不少方面需要电子化,智能化改造。











智能驾驶场景:





AUTOSAR:


汽车分域:

卡罗拉屁股上的D4T表示什么意思?
T代表涡轮增压,这个就不用说了,D4是什么呢?其实它代表的是直列4缸发动机,发动机按照汽缸的布局(注意是汽缸的布局,而不是整个发动机在车上的放置位置,放置位置有其他叫法,横置和纵置和这里讲的气缸布局属于正交的概念)可以分为直列,V型和水平对置(只有斯巴鲁和保时捷能做出此等工艺)。
为什么4缸发动机不抖动而三缸发动机抖动?
以下图的直列四缸发动机为例,可以看到偶数缸体能够保证上行的气缸数和下行的气缸数相同,但是奇数缸数的发动机无论如何配置,都会2上1下或者1上两下,所以,奇数缸体的发动机无论如何都凑不成一对,导致整个发动机的重心浮动不稳。

V型发动机的例子:豪华的RR V12发动机,可以看到豪车是纵置四驱的。

水平对置发动机

直列四缸

避险车道

浅谈ASIL:汽车安全性等级
ASIL 表示汽车安全性等级。全称是汽车安全完整性等级(A utomotive S afety I ntegrity L evel)这是 ISO 26262 标准针对道路车辆的功能安全性定义的风险分类系统。
ASIL 根据伤害的可能性和可接受性来确定安全要求,以使汽车零部件符合 ISO 26262。该标准将功能安全定义为“不存在由电气电子系统故障行为相关的危害引起的不合理风险”。ASIL 根据对汽车部件的危害概率和承受度,确立符合ISO 26262标准的安全要求。ISO 26262 是一个面向目标的标准,完全关注“防止伤害”。尽管 ASIL 分类面临质疑的挑战,却旨在“防止损害”,并帮助我们在冗长且经常脱节的供应链中,让无数汽车零部件达到最高安全等级。
主要优势包括:
- 制定安全要求以将风险降低到可接受的水平
 - 管理并跟踪安全要求
 - 确保最终产品遵循标准化安全程序
 
ISO 26262 确定了四种 ASIL — A、B、C 和 D。ASIL A 代表最低程度的汽车危害,ASIL D 则代表最高程度的汽车危险。
安全气囊、防抱死制动系统和动力转向系统必须达到 ASIL D 级,这是应用于安全保障的最严苛等级,因为其失效带来的风险最高。而安全等级范围的最低等级,如后灯等部件,仅需达到 ASIL A 级即可。大灯和刹车灯通常是 ASIL B 级,而巡航控制通常是 ASIL C 级。

ASIL的确定 ASIL的等级是由以下三个因素共同决定:
- 严重度S(Severity)
 - 暴露度E(probability of Exposure )
 - 可控度C(Controllability)
 
严重度 严重度是指当危害事件发生时,相关人所受到的伤害程度。这里的相关人既包括车内的驾驶员、乘客,也包括了其他交通参与者,比如路上的行人。ISO 26262将严重度分成了S0、S1、S2和S3四个等级,严重程度随着数字递增而增大。暴露度 暴露度是指危害事件相应场景的暴露概率。ISO 26262将暴露度分为E0、E1、E2、E3和E4五个等级可控度 可控度是指危害事件发生时,驾驶员或其他交通参与者对危害的控制程度,或者说是避免危害的能力。ISO 26262将可控度分为C0、C1、C2和C3四个等级。需要注意的是,与严重度、暴露度不同,C的数值越大可控程度越低。ASIL 将前面提到的各个等级的严重度、暴露度和可控度进行组合,就得到了如下表所示的ASILA、B、C和D四个等级。

对于S/E/C和ASIL A/B/C/D的对应关系有个更直观、容易的记忆方法:
- ASILA:S+E+C=7
 - ASILB:S+E+C=8
 - ASILC:S+E+C=9
 - ASILD:S+E+C=10
 
虚拟化技术在汽车芯片中的应用




