【AA】回归学习总结
topic1.变量间的关系有哪些?
变量间的关系大体上有两类:
①函数关系:y = f(x);
②非确定性关系:y = ax1 + bx2 + t (t为随机扰动项).
topic2.回归与相关有何区别?
1.回归中,y依赖于x;相关分析中,y与x的地位一样。
2.回归中,y是随机变量,x是确定性变量;相关分析中,y与x都是随机变量。
3.用途不一样,回归不仅可以探索变量之间的关系,还可以用来做控制和预测;相关分析用来研究变量间的线性相关程度。
topic3.回归分析研究的基本内容和脉络是怎样的?

topic4.回归模型中随机误差项主要包括哪些因素的影响?
1.由于人们认识的局限或时间、费用、数据质量等制约未引入回归模型但又对回归被解释变量y有影响的元素;
2.样本数据的采集过程中变量观测值的观测误差的影响;
3.理论模型设定误差的影响;
4.其他随机元素的影响。
topic5.古典线性回归模型有哪些基本假设?
topic6.回归模型建模的过程是怎样的?

topic7.极大似然原理的基本思想是什么样的?
极大似然原理的直观想法是:一个随机试验如有若干个可能的结果A,B,C,…。若在一次试验中,结果A出现,则一般认为试验条件对A出现有利,也即A出现的概率很大。
topic8.最小二乘估计有哪些性质?
1.估计量是随机变量yi的的线性函数;
2.估计量是无偏估计;
3.估计量的方差

在高斯-马尔卡夫条件下,估计量是最佳线性无偏估计。
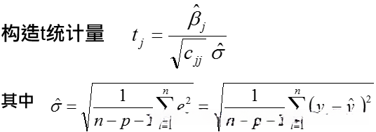
topic9.t检验的原假设是什么?构造的t统计量是什么?拒绝域是什么?
t检验的原假设:回归系数为0,即x的变化对y没有影响。
t统计量:

拒绝域:

topic10.如何理解P值?
•P值即显著性概率值(Significence Probability Value);
•是当原假设为真时得到比目前的样本更极端的样本的概率,所谓极端就是与原假设相背离;
•它是用此样本拒绝原假设所犯弃真错误的 真实概率,被称为观察到的(或实测的)显著性水平;




topic11.F检验的原假设是什么?F检验的统计量是什么?
F检验的原假设:回归方程不显著。


topic12.相关系数显著性检验的统计量是什么?
相关系数显著性检验的统计量:

topic13.变量之间的相关程度如何划分?
两变量间相关程度的强弱分为以下几个等级:
当|r|≥0.8时,视为高度相关;
当0.5≤|r|< 0.8时,视为中度相关;
当0.3≤|r|< 0.5时,视为低度相关;
当|r|< 0.3时,表明两个变量之间的相关程度极弱,在实际应用中可视为不相关。
topic14.三种检验的关系是怎样的?
在一元回归的情形下,三种检验是等价的,都是检验的x的变化对y的影响是否显著。但在多元回归的情形下,这三种检验有所区别。
topic15.什么是样本决定系数?它的统计意义是什么?决定系数与相关系数有何关系?
决定系数:

决定系数是一个回归直线与样本观测值拟合优度的相对指标,反映了因变量的变异中能用自变量解释的比例。

topic16.为什么要进行残差分析?什么是残差?残差与随机误差项是一样的吗?
一个线性回归方程通过了t检验或F检验,只是表面变量x与y之间的线性关系是显著的,或者说线性回归方程是有效的,但不能保证数据拟合得很好,也不能排除由于意外原因而导致的数据不完全可靠,比如有异常值出现、周期性因素干扰等。
残差是观测值与回归值之差:

残差与随机误差项是有区别的:

残差是随机误差项的估计值。
topic17.几种典型的残差图及其含义。

(a):所有残差在e=0附件随机变化,并在变化幅度不大的一条带子内。表明回归模型满足基本假定。
(b):存在异方差的问题。
(c):y与x之间可能是非线性关系;也有可能是y存在自相关的问题。
(d):蛛网现象,y具有自相关的情形。
topic18.残差的性质有哪些?
1.期望为0.

2.方差



3.残差满足约束条件:

topic19.改进的残差有哪些?它们的用途是什么?


topic20.回归中的预测问题有哪几类?
1.单值预测
单值预测就是用单个值作为因变量新值的预测值。
2.区间预测
①因变量新值的区间预测

②因变量新值的平均值的区间估计

topic21.回归中的控制问题。

topic22.多元线性回归方程的解释。
对于一般情况下含有p个自变量的多元线性回归,每个回归系数βi表示回归方程中其他变量保持不变的情况下,自变量xi每增加一个单位因变量y的平均增加程度。
topic23.多元线性回归中的F检验的原假设是什么?其统计含义是什么?F统计量是什么?F检验的思想是什么?
原假设:

原假设的统计含义是:自变量全体对因变量y不产生线性影响。
F检验的思想是总离差平方和分解,F统计量如下:


topic24.回归系数的显著性检验的原假设是什么?其统计含义是什么?t统计量是什么?
原价设:

回归系数的显著性检验是检验的单个自变量对y的影响是否显著。

topic25.一元线性回归中,F检验和t检验是一致的吗?在多元线性回归中,F检验和t检验是一致的吗?
在一元线性回归中,F检验和t检验是一致的,由于只有一个自变量,F检验和t检验都是检验的自变量x对因变量y的影响是否显著。但在多元线性回归中,F检验和t检验并不是一致的,由于有多个自变量,F检验检验的是所有自变量总体上是否对y有线性影响,而t检验检验的则是单个自变量对y是否有线性影响。
topic26.什么是拟合优度?什么是决定系数?什么是样本复相关系数?拟合优度有什么缺陷?
拟合优度用于检验回归方程对样本观测值的拟合程度。

决定系数越接近1,说明回归拟合效果越好。与F检验相比,决定系数可以更清楚直观地反映回归拟合的效果,但是并不能作为严格的显著性检验。决定系数还与样本容量有关,当样本容量与自变量个数接近时,决定系数易接近1,其中隐含了一些虚假成分。因此我们由决定系数来确定模型优劣时还需慎重。

