机器学习笔记八:常见“距离”归纳
发布时间
阅读量:
阅读量
一.明可夫斯基距离(Minkowski Distance)
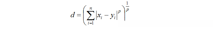
有两个n维的点
,他们之间的明可夫斯基距离的定义为:

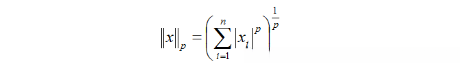
你会发现这个式子和p-范数的形式很像。比如对于一个向量x ,他的p-范数为:

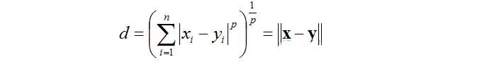
所以,要是在一些论文里面明可夫斯基距离写成下面的式子,也别感到奇怪:

注意:
说可夫斯基距离是一个距离,还不如说他是一类距离的定义,因为p值是可以变的,因为p值的不同,可以得到欧氏距离 ,曼哈顿距离 ,和切比雪夫距离 等等。
Ⅰ.曼哈顿距离
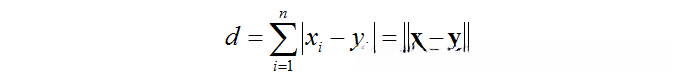
p=1的时候,就称之为曼哈顿距离

Ⅱ.欧氏距离
欧式距离用的是不是最多不知道,但是绝对是最熟悉的一种距离表示形式。从小就开始接触的形式。
p=1的时候,就称之为曼哈顿距离

Ⅲ.切比雪夫距离
p→∞的时候,就称之为曼哈顿距离

总结:
闵可夫斯基距离比较直观,但是它与数据的分布无关,具有一定的局限性,如果 x 方向的幅值远远大于 y 方向的值,这个距离公式就会过度放大 x 维度的作用。
二.余弦距离
在几何中,夹角余弦能够衡量两个方向之间的差异,那么这种差异也能够用在机器学习里面。

夹角余弦取值范围为[-1,1]。夹角余弦越大表示两个向量的夹角越小,夹角余弦越小表示两向量的夹角越大。当两个向量的方向重合时夹角余弦取最大值1,当两个向量的方向完全相反夹角余弦取最小值-1
全部评论 (0)
还没有任何评论哟~
