Multi-Task Feature Learning for Knowledge Graph Enhanced Recommendation简析
发布时间
阅读量:
阅读量
Multi-Task Feature Learning for Knowledge Graph Enhanced Recommendation
Introduction
在该论文中,将推荐系统和知识图谱建模视为两个分离但是相关的任务,设计了一个多任务学习的框架,利用知识图谱建模任务来辅助推荐系统任务。这两个任务之所以相关,是因为推荐系统中的一个物品会和一个或多个知识图谱中的实体相对应,因此,它们在各自的向量空间中的表征应该有相关性。为了表达这种相关性,我们在提出的模型中设计了一个“交叉-压缩”单元,这个单元显式地对物品表征和实体表征的高阶交互进行建模,并自动控制两个任务之间的知识的交叉迁移。
Approach
Framework

从上图可以看出,左边是一个推荐模块,通过输入user和item后经过MLP后输出点击率的预估值,右边是知识图谱特征表示模块,使用三元组的头节点和关系作为输入,计算predicted tail与true tail的score作为输出。
Cross&compress Unit

Cross Operation

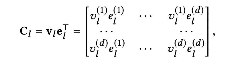
Compress Operation

通过对C_l的反转得到C_l^T,利用C_l与C_l^T与trainable weights相乘,实现对水平方向与垂直方向的压缩。
值得一提的是,文章指出cross&compress单元只能存在于较浅的层,因为高层的学习到的特征相对比较具体与准确,所以任务不相似性也逐渐体现,特征的可迁移的程度也很快减弱了。同时深层的网络中,item特征与user特征逐渐混合导致不同模块之间的相关性也逐渐减弱。
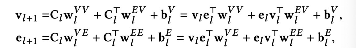
Recommendation Module
用户特征向量由多层感知机得到:

item特征向量由cross&compress单元得到:

最后输出预测结果:

Knowledge Graph Embedding Module

实体特征向量由cross&compress单元得到,关系向量由MLP处理得到,predicted tail利用MLP对实体特征向量和关系向量连接后的向量进行处理,得到最后的向量。最后的score通过similarity metrics计算true tail和predicted tail。
Learning Algorithm

Experiments

全部评论 (0)
还没有任何评论哟~
